Сбалансировать содержание в кормах белка и его аминокислотный состав можно с помощью биомассы микроорганизмов.
Этот белковый источник имеет ряд преимуществ:
- большая скорость роста микроорганизмов (микроорганизмы растут в 500 раз быстрее, чем сельскохозяйственные культуры и в 1000–5000 раз быстрее, чем самые быстрорастущие породы животных);
- высокое содержание белка в биомассе: дрожжи способны накапливать до 40– 50 % белка от своей массы, а некоторые бактерии до 60–70 % белка;
- удовлетворительная биологическая ценность белков: по содержанию большинства незаменимых аминокислот (лизина, триптофана и др.) белок многих дрожжей и бактерий соответствует эталону (яичному белку);
- независимость производства от погодных и сезонных условий: биомассу микроорганизмов можно получать круглогодично;
- возможность выращивания биомассы на различных непищевых субстратах и на отходах ряда производств;
- возможность организации производства микробного белка индустриальными методами с применением автоматизации.
Использование того или иного продуцента при производстве белковых препаратов определяется составом питательной среды и назначением белка.
Требования менее строги, если белок предназначен для кормовых целей и должны быть высокими, если белковые препараты используются в пищу.
Эффективность применения микроорганизма-продуцента для производственных целей определяется, с одной стороны, скоростью его роста, с другой – степенью использования питательных веществ среды.
Продуценты белков должны отвечать следующим требованиям:
- накапливать 40–70 % белка от своей биомассы;
- максимально усваивать питательные вещества среды;
- не являться болезнетворными и не выделять в среду токсических продуктов;
- обладать высокой устойчивостью и выживаемостью в нестерильных условиях выращивания;
- иметь высокую скорость размножения и роста;
- легко отделяться от среды.
Промышленные культуры, используемые для биосинтеза белковых веществ, должны отвечать медико-биологическим требованиям.
Преимуществом дрожжей перед другими микроорганизмами является их технологичность: устойчивость к инфекциям, легкость отделения от среды благодаря крупным размерам клеток по сравнению с бактериями, способность усваивать различные источники углерода, азота и способность расти на простых средах, высокие питательные свойства и приятный запах биомассы.
Дрожжевая биомасса представляет собой полноценный белковый продукт с высоким содержанием витаминов, который может найти применение как для кормовых, так и для пищевых целей.
Преимуществом бактерий является высокая скорость роста, бόльшее, чем у других микроорганизмов, содержание белка и незаменимаой аминокислоты метионина в биомассе.
По составу аминокислот бактериальный белок приближается к животному и поэтому имеет бόльшую ценность в качестве кормового препарата.
Однако при использовании бактерий должен быть тщательно изучен состав их липидов, так как у некоторых из них в липидах могут содержаться токсины. Недостатком бактерий являются маленькие размеры клеток и плотность, близкая к плотности воды, что затрудняет их выделение из культуральной жидкости.
Кроме того, биомасса дрожжей и бактерий имеет высокое содержание нуклеиновых кислот (до 12 % и до 16 % соответственно), что ведет к образованию нежелательных продуктов распада в животном организме.
Водоросли, как и все другие микроорганизмы, водоросли являются перспективным источником получения белка. Они легко отделяются от субстрата, медленнее растут, чем дрожжи и поэтому содержат меньше нуклеиновых кислот в биомассе. Общее содержание белка в водорослях может достигать 70 %. Причем эти белки полноценны по аминокислотному составу.
Грибы. Для получения кормового и пищевого белка можно использовать промышленное выращивание различных видов низших и высших грибов. Некоторые виды микроскопических грибов способны накапливать до 50 % белка. По содержанию незаменимых аминокислот белок грибов приближается к белку животного происхождения, биомасса богата витаминами, особенно, группы В, содержание нуклеиновых кислот низкое (2,5 %), клеточные стенки тонкие и легко перевариваются в желудочно-кишечном тракте животных.
При выращивании микроскопии-ческих грибов на жидкой питательной среде, как правило, на первой стадии культивирования происходит интенсивное образование биомассы. В условиях глубинного культи-вирования в первые 5–6 часов происходят сложные внутриклеточные преобразования в конидиях, они набухают, и появляются первые гифы. Далее идет быстрое развитие и рост мицелиальной массы гриба.
Мицелий может формироваться в виде шариков или кашеобразной массы.
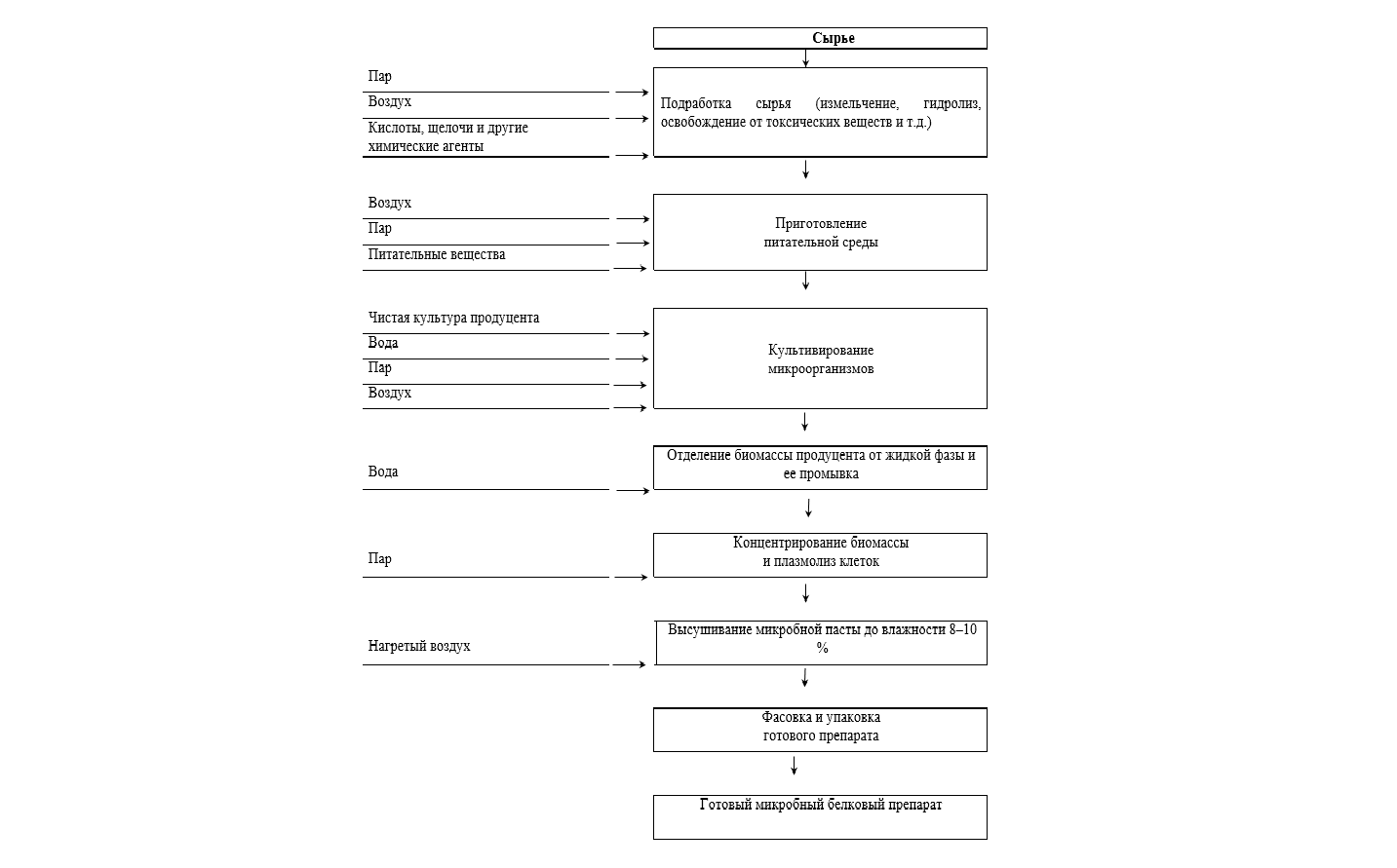
Промышленное производство микробного белка
Независимо от вида используемого сырья, технологический процесс производства микробных белковых препаратов состоит из следующих основных стадий (рисунок 6.1): подготовка сырья и приготовление питательных сред для выращивания микроорганизмов; культивирование микроорганизмов; выделение биомассы продуцента из культуральной жидкости; плазмолиз клеток; сушка
Рисунок 5.1 – Основные стадии процесса производства микробных белковых препаратов биомассы; фасовка и упаковка готового препарата
В качестве питательной среды для производства белковых препаратов в промышленных масштабах используют молочную сыворотку. На молочной сыворотке хорошо растут и накапливают значительное количество белка дрожжи Kluyveromyces и Candida. Большое значение имеет и то обстоятельство, что применение молочной сыворотки не требует специальной сложной подготовки, а культуральная жидкость после выращивания микроорганизмов может быть использована в пищевых и кормовых целях без обработки.
При всестороннем исследовании микробной массы, полученной на молочной сыворотке, была выявлена ее высокая технологическая и экономическая эффективность для мясного и молочного животноводства, птицеводства и целого ряда других направлений.
Для получения белка на гидролизатах растительного сырья наиболее часто используют дрожжи рода Candida, реже – дрожжи рода Trichosporon. Также дрожжи рода Candida способны к синтезу белка на сульфитных щелоках и жидких углеводородах. Газообразные углеводороды хорошо потребляются бактериями родов Mycobacterium и Pseudomonas.
Применение биомассы микроорганизмов в качестве белковой добавки в корма требует всестороннего изучения ее состава и свойств, в частности перевариваемости и усвояемости. Испытанию на токсичность должны подвергаться не только живые клетки, но и продукты их метаболизма, а также готовые белковые продукты. Обязательным условием должно быть отсутствие в них живых клеток штамма-продуцента, чтобы не происходил вторичный рост.
Наиболее эффективным путем использования микробного белка для ликвидации белкового дефицита в питании человека является его применение непосредственно для пищевых целей. Микробный белок используется в пищевой промышленности для изготовления различных продуктов и полуфабрикатов, начиная с 1985 г.
В производстве пищевых продуктов рассматриваются 3 основные формы использования микробного белка:
1) цельная биомасса (без специального разрушения клеточных стенок);
2) частично очищенная биомасса (разрушение клеточных стенок и удаление нежелательных компонентов);
3) выделенные из биомассы белки.
Выделенные белки (изоляты) являются наиболее приемлемыми формами использования белковых препаратов. Однако недостаток их применения связан с тем, что при их выделении используются кислоты и щелочи, высокая температура, давление, что приводит к частичному разрушению аминокислот.
При микробном синтезе белка следует подбирать культуры, у которых состав белка по незаменимым аминокислотам был бы близок к эталону, установленному Всемирной организацией здравоохранения (ВОЗ) – яичный белок, белок женского молока.
ВОЗ сделала заключение, что белок микроорганизмов может использоваться в продуктах питания, но допустимое количество нуклеиновых кислот вводимых вместе с микробным белком в диету взрослого человека не должно превышать 2 г в сутки. Испытания на добровольцах показали, что введение микробного белка в пищевой рацион не вызывает отрицательных последствий, но встречается проявление аллергических реакций, желудочные заболевания и т.д.
