Текст пояснительной записки оформляется в соответствии с МИ ПГУ 4.01.3-09. «Правила оформления учебной документации. Общие требования к текстовым документам». Ниже приведены основные требования.
Поля:
- верхнее – 20 мм;
- нижнее – 25мм;
- левое – 30 мм;
- правое – 10 мм;
- абзац – 1,25 см;
- межстрочное расстояние – одинарный интервал;
- шрифт Times New Roman – кегль 14.
Текст выравнивается по ширине.
Текст документа при необходимости делят на разделы, подразделы, пункты, подпункты. Каждый раздел должен начинаться с новой страницы и выделяться полужирным шрифтом строчными буквами с заглавной буквы.
Разделы должны иметь порядковый номер в пределах всего документа, обозначенный арабскими цифрами без точки. Заголовки разделов печатают с абзацного отступа с прописной буквы. Точку в конце заголовка не ставят, но внутри него знаки препинания сохраняют. Большие заголовки размещают в несколько строк. Переносы слов и подчёркивание в заголовках не допускается.
Заголовки подразделов печатают с абзаца строчными буквами кроме первой прописной. Точку в конце заголовка и номера подраздела не ставят.
Заголовок пункта, при необходимости его введения, следует печатать строчными буквами, кроме первой прописной. В конце заголовка ставится точка и текст начинается с этой же строки.
Заголовки разделов и подразделов следует выделять жирным шрифтом.
Расстояние между заголовками раздела и последующим текстом, между заголовками раздела и подраздела должно быть равно двум «пустым строкам».
Расстояние между заголовками подраздела и последующим текстом должно быть равно одной «пустой строке».
Разделы, подразделы, пункты, подпункты нумеруют арабскими цифрами, например:
1 Архитектура
– 2 пустые строки
1.1
1.2
– Нумерация подразделов первого раздела документа
1.3
2 Конструкции здания
– 2 пустые строки
2.1
2.2
– Нумерация подразделов второго раздела документа
2.3
Заголовки и последующий текст должны находиться на одном листе. Не допускается размещать наименование раздела и/или подраздела в нижней части листа, если под ним нет строки или помещена только одна строка текста.
Каждый раздел начинается с нового листа. На листах документа не допускается наличие свободного пространства за исключением последнего листа раздела.
Если документ имеет подразделы, то нумерация пунктов должна быть в пределах подраздела, и номер пункта должен состоять из номеров раздела, подраздела и пункта, разделённых точками, например:
3 Акустика и светотехника
– 2 пустые строки
3.1 Расчет естественного освещения рабочего места парикмахера мужского зала
3.1.1
3.1.2 – Нумерация пунктов первого подраздела третьего раздела документа
3.1.3
3.2 Расчет времени реверберации зрительного зала
3.2.1
3.2.2 – Нумерация пунктов второго подраздела третьего раздела документа
3.3.3
В тексте могут быть приведены перечисления.
Перед каждой позицией перечисления в пункте или подпункте следует ставить дефис, а при необходимости ссылки в тексте документа на одно из перечислений, строчную букву, после которой ставится скобка. Для дальнейшей детализации перечислений необходимо использовать арабские цифры, после которых ставится скобка, а запись производится с абзацного отступа.
Пример:
a) _________________________________ ;
1) _________________________________ ;
2) _________________________________ ;
в) _________________________________ ;
Каждый пункт, подпункт и перечисление записывают с абзацного отступа.
В конце перечислений ставят точку с запятой или точку. Соответственно каждая новая позиция перечисления начинается со строчной или прописной буквы.
Номер страницы проставляется арабскими цифрами, под основным текстом внизу по центру страницы. Пропуски в нумерации страниц, литерные добавления (2а, 3а, 7а) не допускаются.
В тексте документа, за исключением формул, таблиц и рисунков, не допускается:
- применять математический знак минус (–) перед отрицательными значениями величин (следует писать слово «минус»);
- применять знак «Ø» для обозначения диаметра (следует писать слово «диаметр»). При указании размера или предельных отклонений диаметра на чертежах, помещённых в тексте документа, перед размерным числом следует писать знак «Ø»;
- применять без числовых значений математические знаки, например, > (больше), < (меньше), = (равно), ≥ (больше или равно), ≤ (меньше или равно), ≠ (не равно), а также знаки № (номер), % (процент);
Опечатки, описки и другие неточности, обнаруженные в процессе оформления документа, допускается исправлять подчисткой, закрашиванием белой краской или наклеиванием. Разрешается вписывать исправление от руки чертежным шрифтом чернилами или тушью черного цвета (не более трех исправлений на одной странице).
Повреждение листов, помарки, следы не полностью удаленного прежнего текста не допускаются.
Содержание каждого раздела должно быть согласовано с консультантами по соответствующим частям.
Требования к построению таблиц. Таблицы применяют для лучшей наглядности и удобства сравнения показателей. Название следует помещать над таблицей слева без абзацного отступа в одну строку с её обозначением через тире. Последующие строки названия таблицы следует так же начинать без абзацного отступа. Таблицы необходимо отделять от основного текста на расстоянии равном одной пустой строке.
Высота строк таблицы должна быть не менее 8 мм. Шрифт – Times New Roman, обычный, кегль не менее 10 пунктов, межстрочный интервал – одинарный.
Слово «Таблица» указывают один раз слева над первой частью таблицы, над другими пишут слова «Продолжение таблицы» или «Окончание таблицы», в зависимости от того, продолжается или заканчивается таблица, с указанием её номера.
Если в конце страницы таблица прерывается и её продолжение будет на следующей странице, в первой части таблицы нижнюю горизонтальную линию, ограничивающую таблицу, не проводят.
Допускается помещать таблицу вдоль длинной стороны листа документа.
Таблицы следует нумеровать арабскими цифрами сквозной нумерацией. Допускается нумеровать таблицы в пределах раздела. В этом случае номер таблицы состоит из номера раздела и порядкового номера таблицы, разделённых точкой.
Таблицы каждого приложения обозначают отдельной нумерацией арабскими цифрами с добавлением перед цифрой обозначения приложения.
Цифровой материал, как правило, оформляют в виде таблиц в соответствии с рисунками 1, 2.
Таблица _______ – ___________________
номер название таблицы

Рисунок 1 – Оформление таблиц
Таблица 4.1 – Кривая распределения силы света

Рисунок 2 – Пример выполнения таблицы
Если строки или графы таблицы выходят за формат страницы, её делят на части, помещая одну часть под другой или рядом, при этом в каждой части таблицы повторяют её головку и боковик. При делении таблицы на части допускается её головку или боковик заменять соответственно номером граф и строк. При этом нумеруют арабскими цифрами графы и (или) строки первой части таблицы.
Если в документе одна таблица, она должна быть обозначена «Таблица 1» или «Таблица В.1», если она приведена в приложении В.
Оформление иллюстраций, приложений.Количество иллюстраций должно быть достаточным для пояснения излагаемого текста. Иллюстрации могут быть расположены как по тексту документа, так и непосредственно после текста, в котором они упоминаются впервые, либо на следующей странице.
Иллюстрации необходимо отделять от основного текста одной пустой строкой.
Иллюстрации следует нумеровать арабскими цифрами в пределах раздела (в этом случае номер иллюстрации состоит из номера раздела и порядкового номера иллюстрации, разделенных точкой), либо сквозной нумерацией. Если рисунок один, то он обозначается «Рисунок 1».

а) крестообразная;
б) пятиугольная;
с) с разноуровневыми лестничными площадками и раздельными лифтовыми системами.
Рисунок 3 – Прямые четырехмаршевые лестницы
Допускается нумеровать иллюстрации в пределах раздела. В этом случае номер иллюстрации состоит из номера раздела и порядкового номера иллюстрации, разделённых точкой. Например – «Рисунок 4.1».
Если иллюстрация не умещается на одной странице, то допускается переносить её на другие страницы. При этом тематическое наименование допускается не повторять на последующих страницах данной иллюстрации. Указывают обозначение рисунка и курсивом слово «продолжение».
Требования к оформлению расчетов. Формулы записываются по центру. Формулы необходимо отделять от основного текста так, чтобы между ними, последующим и предыдущим текстом оставалась одна «пустая строка».
Формулы должны нумероваться сквозной нумерацией арабскими цифрами, которые записывают на уровне формулы справа в круглых скобках сквозной нумерацией или в пределах раздела, в этом случае номер формулы состоит из номера раздела и порядкового номера формулы, разделенных точкой, например (4.1).
Ссылки в тексте на порядковые номера формул дают в скобках, например, …в формуле (1).
Формулы, помещаемые в приложениях, должны нумероваться отдельной нумерацией арабскими цифрами в пределах каждого приложения с добавлением перед каждой цифрой обозначения приложения, например, в формуле (В.1).
Формулы, следующие одна за другой и не разделённые текстом, разделяют запятой.
Пример
(1)
(2)
Переносить формулы на следующую строку допускается только на знаках выполняемых операций, причём знак в начале следующей строки повторяют. При переносе формулы на знаке умножения применяют знак « », на делении – «:» и т. д.
R0 = 1/23 + (0,02/0,93 + 0,64/0,87 + 0,005/0,93 +
+ 0,1/0,041) + 1/8,7 = 3,43(м2∙°С)/Вт (3)
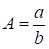
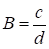
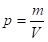
В формулах в качестве символов следует применять обозначения, установленные соответствующими государственными стандартами. Пояснения символов и числовых коэффициентов, входящих в формулу, если они не пояснены ранее в тексте, должны быть приведены непосредственно под формулой. Пояснения каждого символа следует давать с новой строки в той последовательности, в которой символы приведены в формуле.
Пример
Плотность , кг/м3, каждого образца вычисляют по формуле
(4)
где
– масса образца, кг;
– объём образца, м3.
Единица физической величины одного и того же параметра в пределах одного документа должна быть постоянной. Если в тексте приводится ряд числовых значений, выраженных в одной и той же единице физической величины, то её указывают только после последнего числового значения, например: 1,50; 1,75; 2,00 м.
Примеры
от 1 до 5 мм,
или
от 10 до 100 кг,
или
от плюс 10 °С до минус 40 °С.
Недопустимо отделять единицу физической величины от числового значения (переносить их на разные строки или страницы), кроме единиц физических величин, помещаемых в таблицах.
При невозможности выразить числовое значение в виде десятичной дроби допускается записывать в виде простой дроби в одну строчку через косую черту, например:
(50А – 4С) / (40В + 20), 5/32.