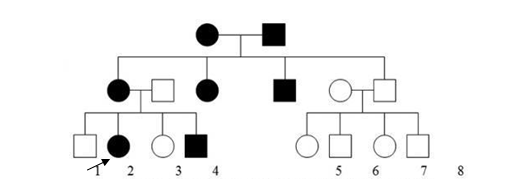
1 есеп. Генетикалық кеңеске ататектерін құрастыру туралы өтінішпен ерлі-зайыптылар жүгінді. Күйеуінің патологиялық ауытқуы бар – катаракта немесе көз жанарының бұлдырауы. Күйеуінде аурудың бұл түрімен әкесі және әкесі жағынан әжесі зардап шеккен. Ағалары, тәтелері, оның екі қызының көз жанарларының проблемалары жоқ, әйелі жағынан атасы мен әжесі де сап-сау. Ерлі-зайыптылардың осы аурудан зардап шегетін ұлы бар. Осы некедегі келесі баланың катарактаға шалдығу ықтималдығын анықтаңыз. Шежіре құрыңыз және тұқым қуалаушылықты талдаңыз.
2 есеп. Пробандтың мәліметтеріне сүйене отырып, «ақ шаш» белгісінің тұқым қуалаушылығын көрсететін отбасының шыққан тегі жасалды.
3 есеп. Ерлі – зайыптылардың альбинос баласы дүниеге келді. Ерлі-зайыптылар немере ағасы мен қарындасы. Әйелінің әкесі мен күйеуінің анасы – сибсы, дендері сау. Әйелінің екі ағасы мен әпкесі сау. Ерлі-зайыптылардың ортақ ағалары да сау. Олардың ортақ аталары-альбинос, әжесі сау. Күйеуінің әкесі мен әйелінің анасы жағынан да шыққан тектерінің барлық мүшелер сау. Отбасында келесі баланың альбинос болуы ықтималдығы қандай. Шыққан тектерін құрыңыз және генеалогиялық талдау жасаңыз.
4 есеп. Эпилепсиямен ауыратын еркектің шыққан тегін жасаңыз. Пробандтың ата – анасы, оның ағасы мен әпкесі сау. Анасы жағынан екі тәтесі сау: екеуі де тұрмыста, бір-бірден сау балалары бар. Анасы жағынан атасы мен әжесі сау. Әкесі жағынан – атасы, әжесі, ағасы және тәтесі сау. Ағасының балалары (ұлы мен қызы) – сау. Тәтесінің эпилепсиямен ауыратын ұлы бар. Пробанд оның ұрпақтарындағы аурудың болжамы туралы мәселе бойынша медициналық-генетикалық кеңеске жүгінді. Ауруға бейімділік қай жағынан берілетіндігін анықтау?
5 есеп. Рахиттің бір түрі Д витаминінің (гипофосфатеникалық рахит) әдеттегі дозаларымен емделмейді. Пробанд – рахитпен ауыратын әйел, оның әпкесі сау, ағасы науқас, және оның қызы да науқас. Пробандтың анасы ауырады, анасының тәтесі сау, ағасы ауырады, оның қыздары ауырады, ұлы сау. Анасы жағынан әжесі ауырады, атасы сау. Пробандтың әкесі мен екі ағасы, әкесі жағынан ата мен әжесі сау. Шыққан тегін құрастырып, Х-тіркестірілген тұқым қуалаушылықтың нұсқасын және пробандта, оның әпкесі мен ағасында науқас баланың туылу ықтималдығын анықтаңыз.
6 есеп. Пробанд – гемофилиямен ауыратын бала. Оның ата-анасы, үлкен ағасы және әпкесі сау. Пробандтың анасы жағынан үлкен ағасы гемофилиямен ауырады, оның ұлы мен екі қызы сау. Пробандтың анасы жағынан кіші ағасы мен тәтесі сау, бірақ тәтесінің ұлы да гемофилиямен ауырады. Анасы жағынан атасы мен әжесі сау. Пробанда әкесі жағынан ағасы, екі тәтесі, атасы мен әжесі сау. Шыққан тегін құрастырыңыз және талдаңыз. Пробандта, оның әпкесінде гемофилиямен ауыратын баланың туылу ықтималдығы қандай?
7 есеп. Пробандтың деректері бойынша отбасының тұқым қуалайтын аурулары бар шежіресі жасалды.

Анықтаңыз:
3.Есептің шартының мәтіндік нұсқасын жасаңыз.
8 есеп. Пробандтың мәліметтеріне сүйене отырып отбасының тұқым қуалайтын ауруы бар шежіресі жасалды.

Анықтаңыз:
9 есеп. Пробандтың мәліметтеріне сүйене отырып отбасының тұқым қуалайтын ауруы бар шежіресі жасалды.

Анықтаңыз:
10 есеп. Пробандтың мәліметтеріне сүйене отырып отбасының тұқым қуалайтын ауруы бар шежіресі жасалды.

Анықтаңыз:
11 есеп. Пробандтың деректері бойынша отбасының тұқым қуалайтын аурулары бар шежіресі құрастырылды.

Анықтау:
2.Аурудың тұқым қуалаушылығы қандай жолмен жүреді
3.I – 2, II – 5, III – 3, IV – 2 мүшелері пробандпен қандай туыстықта тұрады.
12 есеп. Пробанд – шизофрениямен ауыратын әйел. Оның ағасы мен әпкесі сау. Пробандтың әкесі сау. Әкесі жағында шизофрениямен ауыратын ағасы және екі сау тәтесі бар, олардың біреуінде үш сау бала, екіншісінде сау ұлы бар. Әкесі жағынан атасы мен әжесі сау. Әжесінің әпкесі шизофрениямен ауырған. Пробандтың анасы, ағасы, атасы және анасы жағынан әжесі сау. Ағасының екі сау баласы бар. Шежіресін құрастырып, ауруға бейімділіктің қай жақтан берілетіндігін анықтау.
13 есеп. Пробанд – түсті дальтонизмнан зардап шеккен жас жігіт. Оның екі қарындасы сау. Анасы мен әкесі сау. Пробандтың анасының ағасы дальтоник, дені сау әпкесі бар, оның ұлы дальтоник, әжесі сау. Шежіресін құрастырыңыз, мүмкіндігінше туыстарының генотиптерін белгілеңіз және пробандтың отбасында дальтоник баланың туылу ықтималдығын анықтаңыз.
14 есеп. Пробанд туа біткен катарактамен ауырады. Ол сау әйелге үйленген және науқас қызы мен сау ұлы бар. Пробандтың әкесі ауыру, анасы сау, дені сау қарындасы және дені сау ата-анасы бар. Әкесі жағынан атасы ауыру, әжесі сау. Пробандта әкесі жағынан дені сау тәтесі мен ағасы бар. Ағасы сау әйелге үйленген. Олардың үш сау ұлдары бар. Белгінің тұқым қуалаушылық түрін және егер ол гетерозиготтық катаракта бойынша осы типтегі ер адамға тұрмысқа шықса, пробандтың қызының отбасында ауру немерелерінің пайда болу ықтималдығын анықтаңыз.
15 есеп. Пробанд – жас жігіт тырнақ пен тізенің ұршық сүйегінің ақауынан зардап шегеді. Бұл синдром пробандтың әкесінде де болды, ал анасы сау болды. Пробандтың әкесі жағынан атасында синдромы бар, ал әжесі сау. Пробандтың әкесінің төрт әпкесі және үш ағасы бар. Олардың ішінде екі ағасында және екі әпкесінде тырнақ және тізенің ұршық сүйегінің синдромы бар. Пробандтың науқас ағасы сау әйелге үйленген және екі қызы мен ұлы бар. Олардың барлығы сау.
Тұқым қуалаушылық түрін және егер оның жұбайы тырнақ пен тізенің ұршық сүйегінің ақауынан зардап шекпесе пробандтың отбасында ауруы бар балалардың дүниеге келу ықтималдығын анықтаңыз.
16 есеп. Пробанд – дені сау әйел. Оның әпкесі де сау, ал екі ағасы түсті дальтонизмнан зардап шегеді. Пробандтың анасы мен әкесі, анасының 4 қарындасы сау, олардың күйеулері де сау. Пробандтың анасы жағынан сибс немере ағалары туралы белгілі: бір отбасында бір ағасы науқас, екі қарындасы және ағасы сау. Басқа екі отбасында бір-бірден науқас ағасы және бір-бірден сау қарындасы бар. Төртінші отбасында – бір сау қарындасы бар. Анасы жағынан пробандтың әжесі сау, атасы дальтонизмнен зардап шекті. Пробандтың әкесі тарапынан дальтонизммен ауыратын науқастар байқалмады.
17 есеп. Медициналық-генетикалық кеңеске ағасы мен қарындасы бар дені сау әйел жүгінді. Ағасы ангидрозды тері жабындысының дисплазиясынан (тердің бөлінуінің, тістердің бір бөлігінің болмауы және жылу реттеудің бұзылуы) зардап шегеді және сау әйелге үйленген, одан екі сау қызы бар. Пробандтың әпкесі мен ата-анасы сау. Алайда, анасы жағынан бұл патология сау еркекке тұрмысқа шыққан пробандтың әжесінде, сондай-ақ пробандтың анасының екі ағасында болған. Пробанда анасының жалғыз әпкесі сау болды.
Тұқым қуалаушылықтың түрін және егер ол сау еркекке тұрмысқа шықса пробандта науқас балалардың туылу ықтималдығын анықтаңыз.
18 есеп. Норвегияның оқшауланған аралдарында тұратын отбасының төртінші ұрпағында, үш немере сибстың отбасында фенилкетонуриямен ауыратын алты бала дүниеге келді, олардың екеуі ерте қайтыс болды.
Пробанд – дені сау еркек, дені сау әйелге үйленгенде алты баласы дүниеге келген – үш ұл және үш қыз. Екі қыз фенилкетонуриямен ауырады, олардың бірі ерте қайтыс болды. Әйелі сау, ал оның ата-анасы туралы ақпарат жоқ. Пробандтың әпкесі, оның ата-анасы, әкесі жағынан атасы мен әжесі сау.
19 есеп. Даразиготалы егіздердің дене салмағы бойынша бағыттастығы 80 %, ал қосзиготалық егіздердікі – 30 % құрайды. Бұл белгінің қалыптасуындағы тұқым қуалаушылықтың үлесі және ортаның үлесі қандай.
20 есеп. 40 жұп даразиготалы және 80 жұп қосзиготалы егіздер зерттелді. Барлық осы жұптарда, кем дегенде, егіздердің бірінде зерттелетін белгілер болды. Сонымен қатар, даразиготалық егіздердің 32 жұбында және қосзиготалық егіздердің 16-да бұл белгі екінші егіздерде болды. Зерттелетін белгінің тұқым қуалаушылық коэффициентін анықтаңыз.