3.3 Фондовые индексы и индикаторы


Успешная работа на современном фондовом рынке предполагает необходимость аналитического подхода и прогнозирования изменений основных его факторов. Общепризнанными инструментами, используемыми для такого анализа и прогнозирования, являются фондовые индексы и индикаторы. Они представляют собой укрупненные показатели, отражающие общий уровень деловой активности, состояния и основных тенденций развития рынка акций, облигаций, а также производных ценных бумаг. Фондовые индексы и индикаторы используются, прежде всего, для информации о положении дел на рынке ценных бумаг вообще или на рынке ценных бумаг предприятий интересующей инвестора отрасли. С их помощью можно провести экспресс-анализ эффективности принятых или планируемых инвестиционных решений. Так, например, если фондовый индекс отрасли, в акции предприятий которой Вы вложили определенную сумму, растет, то Вами принято правильное инвестиционное решение.

Вообще, если обозначается тенденция ускоренного роста значений фондовых индексов и индикаторов, это говорит о соответствующем росте общей деловой активности, росте курса акций наиболее представительных предприятий. При этом для инвестора будет выгоднее предельно снизить долю своих наиболее ликвидных активов (наличных денег, остатка средств на счету в обслуживающем банке, золотовалютных запасов и т.п.) и купить акции предприятий. Так можно приумножить имеющиеся средства. Но если Вы, как инвестор, прогнозируете снижение общей деловой активности (падение соответствующих фондовых индексов и индикаторов), Вам лучше как можно раньше избавиться от пока еще не упавших в цене акций и до лучших времен увеличить свои наиболее ликвидные активы. Таким образом, можно упрощенно определить практическую ценность умения грамотно пользоваться фондовыми ин-дексами и индикаторами, сущность, правила определения, и виды которых будут рассмотрены ниже.

Для общего определения конъюнктуры рынка ценных бумаг, т.е для выработки синтетического показателя, отражающего их курсы в целом, необходимо располагать надлежащей информацией о курсах зафиксированных во множестве единичных конкретных сделок с ценными бумагами. Такими синтетическими показателями, отражающими биржевые конъюнктуры, и являются фондовые индексы и индикаторы.

Биржевые индексы обычно рассчитываются как взвешенная среднеарифметическая величина, определяемая с учетом не только относительного изменения, но и абсолютной цены акций компаний, образующих корзину индекса.

Биржевая практика привела к созданию большого числа различных биржевых индексов. Исторически первым и наиболее известным из них является индекс Доу-Джонса, предложенный в 1886 г. американскими учеными Ч. Х. Доу и Э. Д. Джонсом.

Индекс Доу-Джонса представляет собой систему из четырех самостоятельных индексов: промышленного, транспортного, коммуникационного и комплексного. Каждый из этих индексов формируется на основе цен на акции компанийлидеров соответствующих отраслей экономики на Нью-Йоркской фондовой бирже. А ввиду тесной и «мгновенной» электронной связи между большинством крупных фондовых бирж мира индексы Доу-Джонса фактически отражают конъюнктуру всего мирового бизнеса.

Наиболее известным и широко используемым является промышленный индекс Доу-Джонса. При его вычислении суммируются курсы акций 30 наиболее крупных промышленных компаний, достаточно репрезентативно отражающих биржевую конъюнктуру. Попасть в число этих компаний весьма престижно. Список промышленных компаний, используемый при исчислении индекса Доу-Джонса, обновляется хотя и медленно, но систематически (первоначально он охватывал 12 компаний). При внесении в данный список учитываются различные критерии. Прежде всего, в него включаются крупные корпорации с устойчивым доходом. Кроме того, желательно, чтобы каждая из них располагала большим акционерным капиталом и занимала ведущее положение в том секторе экономики, к которому относится.

Фондовые индексы и индикаторы призваны отражать конъюнктуру на фондовой бирже, т.е. информировать о динамике цен на акции. Вместе с тем они не должны реагировать на события непосредственно не связанные с биржевой конъюнктурой. К ним относятся, например, дробление и укрупнение номиналов акций компаний, входящих в список, используемый при исчислении индекса; замещение в этом списке акций одной компании на акции другой, имеющие иную цену и т.д. В результате подобных событий арифметическое значение суммы цен акций может измениться, хотя биржевая конъюнктура ими непосредственно затронута не будет. Необходимо, чтобы такого рода события оставили биржевой индекс без изменений. Поэтому изменение арифметической суммы цен акций должно быть компенсировано соответствующим изменением корректирующего делителя, роль которого именно в этом и состоит.

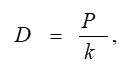
Удобнее всего представить изменение корректирующего делителя в формальном виде. Пусть в некоторый момент биржевая конъюнктура обозначается индексом Доу-Джонса D, который равен:

(3.1)

где Р – сумма цен акций всех компаний, входящих в список Доу-Джонса;

k – корректирующий делитель.

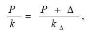
Предположим, что произошло некоторое событие, например замещение суммы акций выбывшей из списка Доу-Джонса компании на сумму акций новой компании. В результате этого арифметическое значение суммы цен акций всех компаний, входящих в список Доу-Джонса изменится на величину  и станет равным Р +  . Величина  может быть как положительной, так и отрицательной. Поскольку речь идет о той же самой биржевой конъюнктуре, новый индекс Доу-Джонса должен быть равным старому. Это значит:

(3.2)

где k – новое значение корректирующего делителя.

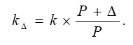
Из вышеприведенной формулы следует вывод:

(3.3)

Построение других индексов Доу-Джонса производится также как и промышленного. Комплексный индекс Доу-Джонса охватывает акции всех 65 входящих в три других списка компаний (промышленных, транспортных, коммуникационных).

Значения фондовых индексов и индикаторов, а также их динамика ежедневно публикуются в специальных периодических изданиях (например, в газете «The Wall Street Journal»). Эти публикации имеют стандартную табличную форму. Наряду с ними также регулярно публикуются диаграммы, более наглядно представляющие динамику соответствующих индексов.

Биржевые индексы призваны оценивать не столько сами конъюнктуры, сколько их изменения. Поэтому, рассматривая ситуацию на бирже, анализируя подъем или падение фондовых индексов и индикаторов на какое-то число пунктов, сравнительно редко упоминают, от какого именно уровня и до какого поднялся или опустился тот или иной индекс.

Наряду с индексами Доу-Джонса другим важным биржевым показателем служит индекс информационной фирмы «Стандарт энд Пуэрс». Эта фирма рассчитывает и публикует пять биржевых индексов, каждый из которых по-своему важен и полезен. Однако более популярен и распространен индекс «Комплексный-500», объединяющий все пять названных показателей и публикуемый во многих специальных периодических изданиях. Он рассчитывается как отношение текущих рыночных цен на акции 500 избранных фирм к их стоимости в базовый период (1941-1943 гг.), умноженное на 10. Например, значение этого индекса в 200 пунктов означает, что средняя рыночная цена акций 500 ведущих компаний США, принятых для этих расчетов, увеличилась по сравнению с базовым периодом в 20 раз.

Наряду с названными наиболее популярными биржевыми показателями только в США используются еще десятки других индексов. Кроме того, крупнейшие мировые рынки ценных бумаг (лондонский, токийский и др.) имеют собственные показатели уровня цен и биржевой активности.

Ряд информационных компаний, специализирующихся на показателях международного фондового рынка, строят отраслевые индексы на основе особого списка эмитентов по каждой отрасли. При этом для расчета соответствующих индексов формируется специальный список компаний (листинг), курсы акций которых адекватно отражают положение дел в определенных отраслях экономики. Методика расчета таких индексов достаточно проста. Они рассчитываются как отношение суммарной рыночной капитализации всех компаний, входящих в листинг, на текущий день к соответствующему значению на базовую дату.

Кроме того, совокупность фондовых индексов и индикаторов, используемых профессиональными участниками рынка ценных бумаг, пополняется индексами, определяемыми для региональных фондовых рынков.

Отечественные и зарубежные инвесторы, заинтересованные в объективной оценке динамики основных показателей казахстанского биржевого рынка, могут воспользоваться сложившейся на сегодняшний день, периодически публикуемой системой основных индикаторов и индексов Казахстанской фондовой биржи (KASE). По информации представленной Казахстанской фондовой биржей, ежедневно на KASE рассчитываются индикаторы казахстанского межбанковского рынка депозитов – ставки KIBOR, KIBID и KIMEAN. Конъюнктура казахстанского биржевого рынка ежедневно характеризуется восемью индексами: KASE_Shares, KASE_EP, KASE_EC, KASE_EY, KASE_BP, KASE_BC, KASE_BY, TONIA.