4.2 Определение срока окупаемости проекта


Вторым основным показателем, характеризующим инвестиционный проект, является срок его окупаемости. Этот показатель представляет собой определенное количество времени, в течение которого совокупный приведенный доход достигнет или превысит сумму совокупных приведенных затрат.

Для упрощенного подсчета срока окупаемости инвестиционного проекта требуется для каждого периода времени (года) суммировать приведенные затраты Sc и приведенные доходы Sr. Период времени (год), в который сумма приведенных доходов достигла или превысила сумму приведенных затрат, считается сроком окупаемости проекта.

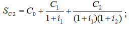
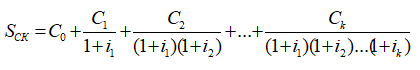
Расчет приведенных затрат Sc для разных лет работы инвестиционного проекта осуществляется по формулам:

(4.3)
(4.4)
(4.5)

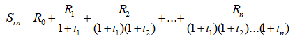
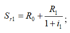
Аналогичным образом осуществляем расчет величин приведенных доходов Sr:

(4.6)
(4.7)
(4.8)

Обозначения, используемые в формулах (4.3) - (4.8) аналогичны обозначениям в формуле (4.1).

Последовательное сравнение результатов расчета Sc1 и Sr1, Sc2 и Sr2 и т. д. позволяет определить срок (год) окупаемости инвестиционного проекта.