3.1 Расчет курсовой стоимости облигации


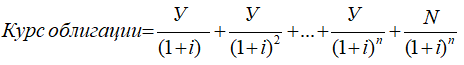
При расчете курсовой стоимости облигаций, годовой доход по ним за весь период до наступления срока погашения может быть принят одинаковым: У1 = У2 = ... = Уn = У. В этом случае курс облигации определяется по формуле:

(3.6)

где У - годовой доход по облигации, тенге;

i - ставка банковского процента по депозиту (в долях единицы);

N - номинальная стоимость облигации, возвращаемая инвестору, тенге;

n - срок погашения облигации (количество лет).