5.1 Статистикалық әдіс


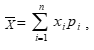
Статистика теориясынан шектелген (n) саны үшiн кездейсоқ көлемнiң мүмкiн мәні орташа мүмкiн екені белгiлi

(5.1)

мұнда xi – кездейсоқ көлемнің мәні;

pi – кездейсоқ көлемнің пайда болу ықтималдығы.

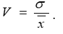
Орташа көлем – күтілетін нәтиженің жалпы сандық мінезділігін көрсетеді. Дисперсия коэффициенті келесі формула бойынша есептеленеді

(5.2)

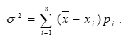
Дисперсия – шын нәтижелердiң орташадан квадрат ауытқуының орташа өлшемдiсi, нәтиженiң өзгергiштiк өлшемнiң көрсетедi:

(5.3)

Дисперсия және орташа квадраттық ауытқулары абсолюттiк ыдырау өлшемдерiмен қызмет етедi және түрлендiргiш белгiсі бар өлшем сондай бiрлiкте өлшенедi.

Вариация коэффициент көмегiмен белгiнiң мүмкiн тербелiс дәрежесiн салыстырады. Өзгергiштiктiң өлшемiн талдау үшiн орташа арифметикалыққа орташа квадраттық ауытқудың ауытқуының дәреже көрсететiн вариациялар жиi пайдаланылады

(5.4)

Вариация коэффициенттерінің келесі бағасы анықталды:

- 10 % дейін-әлсіз ауытқу, төмен тәуекел;

- 10-25 % – орташа ауытқу, орташа тәуекел;

- 25 % – дан жоғары-жоғары ауытқу, жоғары тәуекел.

5.1-кестеде тәуекел деңгейінің эмпирикалық шкаласы.

5.1-кесте – Тәуекел деңгейінің эмпирикалық шкаласы

Жағымсыз бiтудi ықтималдық (тәуекелдің көлемі)

Тәуекелдiң бiрiздiлiгiнiң атауы

1 - 0,1

Минималды

0,1 - 0,3

шағын

0,3 - 0,4

орташа

0,4 - 0,6

жоғары

0,6 - 0,8

Максималды

0,8 - 1

сыни

Шкала құрастырушыларының ойынша алғашқы үш деңгейi кәдiмгi шешiм қабылдауға ұсынылатын дұрыс және қалыпты тәуекелiне сәйкес келедi. Деңгейі жоғары шешiм қабылдау шешiм қабылдайтын адамның тәуекелге әуестенулеріне бағынышты болады.

Күтілетін нәтиженің құрылуына көптеген кездейсоқтық факторлардың әсер етуіне байланысты, ол кездейсоқ өлшем болып келеді. Кездейсоқтық өлшемнің біріне оның ықтималдығының бөлу заңнамасы жатады. Бөлудің мінезділігі мен түрі зерттелетін көріністің табиғаты мен мәнінен шығатын жалпы шарттарды бейнелейді. Тәжірибе көрсеткендей әлеуметтік-экономикалық көріністерді бөлуді түсіндіру үшін неғұрлым жиірек қалыпты үлестiрiмдi ең жиi пайдаланады.

Қалыпты үлестiрiмнiң заңында былай жазылған: жағдайларды бөлу үшін мәндер, олардың бастапқысы тәуелсіз факторлардың үлкен санына бірлесіп әсер ету нәтижесін ұсынады. Және де факторлардың бiреуі де басымырақ әсер көрсетпейдi.