2.3 Эксперименттік жұмыстың нәтижелері


Жоғары оқу орнында студенттерді инновациялық модульдік технологиямен оқыту тәжірибесінің  нәтижесін зерттеу мақсатында  екі кезеңнен тұратын эксперимент бағдарламаға сәйкес жүргізілді. 1.3 – параграфта берілген модульдік технология үлгісі оны,  тиімді ұйымдастыру кәсіби дайындығы  эксперимент барысында тексерілді. Экспериментке С.Торайғыров атындағы Павлодар мемлекеттік университетінің инженерлік мамандықтарындағы оқитын топтарының 1-курс студенттері қатысты.  Сонымен қатар, модульдік технология арқылы оқыту жұмысының мәселесі зерттеуге байланысты инженерлік сызбаны оқытуда басқа мамандықтардың студенттерінен де сауалнама алынып, әңгімелесу жүргізілді және  университетінің оқу орындарының басқа  мамандықтың студенттеріне сабақ беретін пән оқытушыларының пікірлері сұралды. Педагогикалық эскперименттің мақсаты – зерттеу болжамының және теориялық нәтижелердің дұрыс  немесе  теріс  екендігін, яғни ұсынылып отырған жаңалықтың (оқытудың жаңа мазмұны, түрлері, әдісі мен құралдарының т.б.) бұрынғылардан гөрі тиімділігін (немесе тиімді еместігін) дәлелдеу.

Бұл үшін белгілі бір нысанға (мысалы оқушылардың бір тобына) оны қолдану барысында алынған нәтижелердің педагогикалық әсер етудің бұрынғы дәстүрлі әдістерін салыстырғандағы артықшылық-тары мен өзгешеліктері нақты көрсетілуі қажет.

Мақсатқа қол  жеткізу үшін: мен ең алдымен тәжірибе өткізу үшін іріктелінген нысанның көлемін, яғни  студенттердің қажеттілікті қанағаттандыратын санын есептеп алуым керек. Іріктеу көлемі деп «іріктеу жиынтығына кіретін зерттеу бірліктерінің  санын» айтамыз. А. Н. Майоровтың пікірінше, іріктеу жиынтығын төрт түрлі әдіспен  есептеуге болады:

- математикалық статистика формулалары  бойынша;

- жеткілікті үлкен сандар мен үлкен сандар  номограммаларының таблицалары;

- дисперсияның өзгеруі;

- орташа  квадраттық ауытқуды болжау.

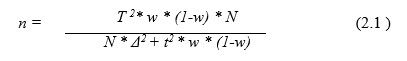
Мен бірінші әдісті пайдалану  тиімдірек деген пікірді ұстандым. Тәжірибе жүргізу үшін іріктелген студенттер саны  олардың негізгі басты құрамдық жиынтығын дұрыс  айғақтады. Негізгі құрамдық жиынтыққа қатысты іріктеу  көлемі төмендегі формула бойынша  дәл анықталды (2.1):

мұндағы n – іріктеу көлемі;

       W – зерттелініп отырған құбылыс бірліктерінің іріктелу үлесі;

N – негізгі [басты] жиынтық көлемі:

Δ – берілген іріктеудің  болжамды дәлдігін белгілі бір дәрежелерде мәндік коэффициент көлеміне қатысты  көрсеткіші болып есептелінетін шектік іріктеу қателігі, t = 2, болған жағдайда, зерттелінетін белгінің қандай да болмасын үлесінде негізгі іріктеу жиынтығының шамамен 5 пайызындай ауытқу болуы мүмкін.  

Іріктеу көлемінің [n - нің] сандық мәнін анықтау кезінде  іріктеу үлесі жөніндегі мәліметтер болмаған жағдайда, әдетте п  ең үлкен W*(1- W )- өрнегінің  0,25 –ке тең мәнін [  W = 065 және 1-W = 0,5 болғандағы]  қабылдайды.

Менің зерттеуімдегі Т =10148, бұл статистикалық деректері негізінде  төмендегі нәтижені аламыз:

Олай болса, сынақтық тәжірибемізді өткізу үшін – 182 студент жеткілікті. Ал мен өз сынақтық тәжірибеге 197 студентті қатыстырдым.

Бақылау тобымен салыстырылатын тәжірибелік  топты бөліп аламыз.  Егер бастапқыда, яғни сынақтау тәжірибесіне дейін, бұл екі топтың өзіндік көрсеткіштері бірдей болған болса, ал  педагогикалық ықпалымыздан кейін олардың арасында тиісті айырмашылықтардың пайда болуы, іс-әрекетіміздің дұрыстығын дәлелдейді. Педагогикалық нысандарға өзіндік жеке ерекшеліктер тән болатынын ескерсек, бұндай салыстыру формальді, статистикалық  сипатта екенін ұмытпаған жөн. Ұқсастықтар мен өзгешеліктердің кездейсоқтығын  (немесе керісінше заңдылығын) анықтау үшін статистикалық әдістер қолданылады. Статистикалық өлшемдерді пайдаланудың жалпы алгоритмі: эксперимент басталғанға дейін бақылаулар нәтижесінде жинақталған деректер бойынша өлшемдердің (критерийдің)

болжамдық мәні  есептелінеді. Бұл сан кестеде берілген  белгілі санмен – критерийдің  сынақтық мәнімен  салыстырылады. Егер  өлшемдердің эмпирикалық мәні  сынақтықтық мәннен  көп немесе тең болса, онда  экспериментальдық және бақылау топтарының  сипаттамалары  cтатистикалық = 0,10  ( Крамер– Уэлч, Вилкокосн – Манн– Уитни, хи- квадрат, Фишер бойынша) мәніндегі деңгеймен бірдей деп тұжырымдауға болады. Керісінше нәтиже алынған жағдайда жоғарыда аталған критерий мәнініне сәйкес  айырмашылықтардың  нақтылығы 90 % тең болады.

Мен нысандарды әртүрлі дәрежелеріне қарай ретке келтіретін  шкаламен өлшенген деректерді бағалау үшін хи- квадрат өлшемдерін пайдаландым. Оқытудың кредиттік оқу жүйесінде  модульдік технологияларды пайдаланудың  тиімділігін бағалау тәжірибелік – эксперименттік барысында  үш кезеңмен өткізілді: анықтаушы, қалыптастырушы және бақылаушы.

Эксперименттік жұмыстың негізгі мақсаты: кредиттік оқу жүйесінде «Инженерлік сызба» пәнін оқыту барысында модульдік технологияны қолдану нәтижесінде студенттердің осы пәнді меңгеру деңгейінің жоғарылайтынын дәлелдеу.

 

Эксперименттің анықтаушы кезеңі

Анықтаушы кезеңнің мақсаты инженерлік мамандықтар бойынша оқитын бірінші курс студенттерінің инженерлік сызба пәні мазмұнын дәстүрлі әдіспен меңгерулерінің  шығармашылық деңгейін анықтау  болды.

Есептеулерге КБ-101, А-102, С-101, Д-101, Д-102, СТР-102,        Құр-101, ПСМ-102, КМБ-101, БЖД-102, ҚОҚ-101, КҚҰР-101, ТСТР-102  (2015 - 2016 оқу жылы) және А-102, С-101, Д-101, Д-102, СТР-102, ПСМ-102, ҚҰР-101, КМБ-101, БЖД-102, ҚОҚ-101,                ТСТР-102 (2016 - 2017 оқу жылы) – барлығы 197 cтудент, инженерлік мамандықтары бойынша оқитын топтар студенттері алынды, олардың орындалған графикалық жұмыстарының және тестілеріне жауаптарының нәтижелелерін салыстырамыз  (тестілері және  графикалық жұмыстардың үлгілері  А  және В   қосымшаларда берілген).

Күрделіліктері әртүрлі деңгейлердегі  тестілер жауаптарын студенттер дәстүрлі әдіспен шешкен, олардың «Инженерлік сызба» пәні аймағындағы сауаттылықтарының бастапқы деңгейілерінің  біркелкі  екендігі анықталды.

Тесті 7 сұрақтан құралды. Бағалау көрсеткіштері (баллдар мен бағалар):

- «өте жақсы» – дұрыс жауаптар 95 балдан аса;

- «жақсы» – дұрыс жауаптар 79 балдан аса;

- «қанағаттанарлық» –  дұрыс жауаптар 54 балдан аса;

- «қанағаттанарлықсыз» – дұрыс жауаптар 54 балдан кем              (кесте 2.1).

Келесі тапсырмалар берілген:

1 деңгей – қайталаным-эвристикалық деңгейде шешілетін типтік есептер ( қосымша А);

2 деңгей – өнімді-шығармашылық деңгейде шешілетін инженерлік  есептер ( қосымша Б);

3 деңгей – креативтік деңгейде шешілетін есептермен тестілер               ( қосымша В).

«Хи – квадрат» өлшемдерін қолдану үшін келесі талаптар орындалады:

- барлық іріктеулер кездейсоқ жасалынады;

- іріктеулер тәуелсіз және іріктелінген жиынтық құрамның мүшелері де  өзара біріне-бірі  тәуелді емес;

- өлшем шкаласы  болып 4 категориялы аталымдар  шкаласы саналады;

χ(хи-квадрат») өлшемі  екі құрамды  нысанның таралуын салыстыру үшін қолданылатын болатындықтан, алдымен  КБ-101, А-102, С-101, Д-101, Д-102, СТР-102,   және      Құр-101, ПСМ-102, КМБ-101, БЖД-102, ҚОҚ-101, КҚҰР-101, ТСТР-102 топтарында өткізілген тестілеу мен графикалық жұмыстарды орындау  нәтижелерін салыстырамыз.

Эксперименттің бұл бөліміндегі болжамының мазмұны келесідей: бірінші құрамнан кездейсоқ таңдалған студенттің  і  (і = 01, 2, 3, 4) деген баға алу мүмкіндігін Р(і = 01, 2, 3, 4) деп белгілейміз. Осы жағдайдың екінші құрам үшін мүмкіндігін Р(і = 01, 2, 3, 4) деп белгілейміз. Сонда бірінші және екінші құрамдар нысандарының әр    і-категорияда (і = 01, 2, 3, 4) болуының нөлдік болжамын тексеруге, яғни  келесілердің Р1  = Р12, Р13 = Р23, Р14 = Р24 теңдігінде орындалуын тексеруге болады. Студенттердің тестілік тапсырмаларды орындау нәтижесінде «өте жақсы», «жақсы», «қанағаттанарлық» бағаларды алу ықтималдығының теңдігі туралы  болжамды тексеру мүмкіндігі туындайды. Сонымен, нөлдік болжам Но: Р = Р, ал альтернативтік болжам  Р ≠ Р түрінде өрнектеледі.

 

2.1 кесте – Бағалар мен   балдардың сәйкестігі

Н

       Ц

  Ә

       К

95–100

А

4.0

Өте жақсы

 

90–94

А-

3.67

85–89

В+

3.33

 

Жақсы

80 –84

В

3.0

75–79

В-

2.67

70–74

С+

2.33

 

Қанағат-лық

65–69

С

2

60–64

С-

1.67

55–59

D+

1.33

50–54

D

1

0–49

F

0

Қанағат-сыз

 

2016–2017 оқу жылының анықтаушы кезеңінің мақсатын нөлдік болжам арқылы  тексереміз

 

Нөлдік болжамды  Х2 өлшемдіктер  көмегімен тексеру үшін келесі КБ-101, А-102, С-101, Д-101, Д-102, СТР-102,   және  Құр-101, ПСМ-102, КМБ-101, БЖД-102, ҚОҚ-101, КҚҰР-101, ТСТР-102 топтарын  аламыз және 2.2 кестесін құрамыз.

        2.2 –кесте – КБ-101, А-102, С-101, Д-101, Д-102, СТР-102 Құр-101 және ПСМ-102, КМБ-101, БЖД-102, ҚОҚ-101, КҚҰР-101, ТСТР-102 топтары үшін нөлдік болжамды  Х2 өлшемдіктер  көмегімен тексеру

 

1 Кат.

«қанағат

-сыз»

 

2 кат.

«қанағат

-лық»

3кат.

«жақсы»

4 кат.

«өте жақсы »

 

№1     іріктелген

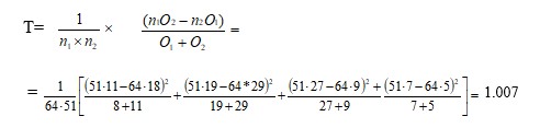
КБ-101, А-102, С-101, Д-101, Д-102, СТР-102 Құр-101 n 1= 51

(бақ.тобы)

 

 

О11 = 8

 

О12 =29

 

О13 = 9

 

О14 = 5

 

№2  іріктелген

ПСМ-102, КМБ-101, БЖД-102, ҚОҚ-101, КҚҰР-101, ТСТР-102  n2= 64   (экспер.топ) 

 

 

О21 = 11

 

О22 = 19

 

О23 = 27

 

О= 7

 

2.2- кестеде  О11, О12, О13, О14 тиісінше «қанағаттанарлықсыз», «қанағаттанарлық», «жақсы», «өте жақсы» деген баға алған студенттер саны; О21, О22, О23, О24тиісінше екінші іріктеу  құрамындағы «қанағаттанарлықсыз», «қанағаттанарлық», «жақсы», «өте жақсы» деген баға алған студенттер саны; п1 және п2 – топтардағы студенттер саны.

Т өлшемдіктер  статистикасының мәндерін формуламен есептейік.

2.1 формуласымен  бойынша есептеліңген  Т бақ. мәні = 1.007, бұл  мәнді χкесте бойынша анықталынатын және Т шек. = 6,23   мәні  бар, α = 0,12  денгейдегі мәндер үшін еркіндік дәрежісінің саны v = 3, таралуы χ2, х1-а статистикалық шектің (болжамның) мәнімен салыстырайық.

Екі жақты өлшемдіктері  жағдайындағы дәрежеге сүйеніп, егер Т бақ. < Т шек., онда нөлдік болжамнан жоққа шығаруға негіз жоқ, яғни студенттердің  бәрінің білімдерінің бастапқы денгейлері бірдей.

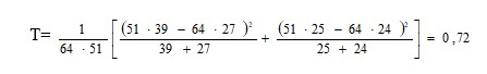
Студенттердің 4 деңгейлі есептерді шығарғанда білімдерінің бастапқы деңгейлері бірдей екендігін келесі  топтарда да дәлелдейміз және  2.3-кестесін құрамыз.

2.3-кестеде  О11, О12, О13, О14 тиісінше бірінші іріктеу  құрамындағы 1 –ші, 2- ші, 3- ші, 4- ші   денгейдегі есептерді шығарған студенттер саны,  О21, О22, О23, О24тиісінше екінші іріктеу  құрамындағы1 –ші, 2- ші, 3- ші, 4- ші   деңгейдегі есептерді шығара алған студенттер саны; п1 және п2 – топтардағы студенттер саны.

Т өлшемдіктер статистикасының мәндерін (2.1) формуламен есептейік.

2.1 формуласымен  бойынша есептеліңген  Т бақ. мәні = 0,72  бұл  мәнді χ2 кесте бойынша анықталынатын және Т шек. = 2,73 мәні бар, α = 0,11 денгейдегі мәндер үшін еркіндік дәрежісінің саны v = 1,01 таралуы χ2, х1-а статистикалық шектің (болжамның) мәнімен салыстырайық.

2.3-кесте – КБ-101, А-102, С-101, Д-101, Д-102, СТР-102 Құр-101 және ПСМ-102, КМБ-101, БЖД-102, ҚОҚ-101, КҚҰР-101, ТСТР-102 топтары үшін нөлдік болжамды  Х2  өлшемдіктер көмегімен тексеру

 

 

1 кат.

1 деңгей

 

2 кат.

2 деңгей

3 кат.

3деңгей

4 кат.

4 деңгей

 

№ 1  іріктелген

КБ-101, А-102, С-101, Д-101, Д-102, СТР-102               Құр-101,

 n 1= 51(бақ т.)                                     

 

 

 

О11 = 27

 

 

О12  = 24

 

 

О13 = 0

 

 

О14  = 0

 

№ 2  іріктелген

ПСМ-102, КМБ-101, БЖД-102, ҚОҚ-101, КҚҰР-101, ТСТР-102

n 2= 64 (экс.топ)  

 

 

 

О21 = 39

 

 

О22 = 25

 

 

О23  = 0

 

 

О= 0

 

 

Екі жақты өлшемдіктер жағдайындағы дәрежеге сүйеніп, егер Т бақ. < Т шек., онда нөлдік болжамды жоққа шығаруға негіз жоқ, яғни студенттердің  бәрінің білімдерінің бастапқы деңгейлері бірдей.

Енді 2017–2018 оқу жылында жүргізілген эксперименттік есептеулердің деректеріне тоқталайық

Нөлдік болжамды  Х 2 өлшемдіктер  көмегімен тексеру үшін келесі А-102, С-101, Д-101, Д-102, СТР-102, ПСМ-102, ҚҰР-101, КМБ-101, БЖД-102, ҚОҚ-101,  ТСТР-102  топтарын  аламыз және 2.4 кестесін құрамыз.

2.4-кесте – А-102, С-101, Д-101, Д-102, СТР-102, ПСМ-102, ҚҰР-101, КМБ-101, БЖД-102, ҚОҚ-101, ТСТР-102 топтары үшін нөлдік болжамды Х 2 өлшемдіктер  көмегімен тексеру

 

 

1 кат.

«қанағаттанар

лықсыз»

 2 кат.

 «қанағат-танарлық»

3 кат.

 «жақсы»

 4 кат.

 «өте жақсы »

 № 1     іріктелген

А-102, С-101, Д-101, Д-102, СТР-102, ПСМ-102

n 1= 46 (экс.

тобы)        

 

 

О11= 4

 

 

О12  = 27

 

 

О13 = 9

 

 

О14 = 6

 №2  іріктелген

ҚҰР-101, КМБ-101, БЖД-102, ҚОҚ-101, ТСТР-102

  n 2 = 36

 (бақ. тобы)                                                                    

 

 

О21 = 2

 

 

О22 = 18

 

 

О23 = 14

 

 

О= 2

 

2.4-кестеде  О11, О12, О13, О14 тиісінше «қанағаттанарлықсыз», «қанағаттанарлық», «жақсы», «өте жақсы» деген баға алған студенттер саны; О21, О22, О23, О24тиісінше екінші іріктеу  құрамындағы «қанағаттанарлықсыз», «қанағаттанарлық», «жақсы», «өте жақсы» деген баға алған студенттер саны; п1 және п2 – топтардағы студенттер саны.

 

Т өлшемдіктер  статистикасының мәндерін (2.1) формуламен есептейік.

2.1 формуласымен  бойынша есептелінген  Тбақ. мәні =1,021, бұл  мәнді χкесте бойынша анықталынатын және Т шек. = 6,21   мәні  бар, α = 0,17  деңгейдегі мәндер үшін еркіндік дәрежісінің саны v = 3, таралуы χ2,  х1-а статистикалық шектің (болжамның) мәнімен салыстырайық.

Екі жақты өлшемдіктері жағдайындағы дәрежеге сүйеніп, егер Т бақ. < Т шек., онда нөлдік болжамды жоққа шығаруға негіз жоқ, яғни студенттердің  бәрінің білімдерінің бастапқы деңгейлері бірдей екені дәлелденді. Студенттердің 4 деңгейлі есептерді шығарғанда білімдерінің бастапқы деңгейлері бірдей екендігін келесі  топтарда да дәлелдейміз және  2.5-кестесін құрамыз.

 

2.5-кесте – А-102, С-101, Д-101, Д-102, СТР-102, ПСМ-102, ҚҰР-101, КМБ-101, БЖД-102, ҚОҚ-101, ТСТР-102 топтары үшін нөлдік болжамды Х2 өлшемдіктер  көмегімен тексеру

 

 

1 кат.

 1 деңгей

 2 кат.

2 деңгей

3 кат.

 3деңгей

 4 кат.

 4 деңгей

№ 1     іріктелген

А-102, С-101, Д-101, Д-102, СТР-102, ПСМ-102

n 1 = 46

(эксперимен.

тобы)        

 

 

О11 = 31

 

 

О12  = 15

 

 

О13 = 0

 

 

О14 = 0

№ 2  іріктелген

ҚҰР-101, КМБ-101, БЖД-102, ҚОҚ-101, ТСТР-102  n 2 = 36

(бақылау тобы) 

 

 

О21 = 24

 

 

О22 = 22

 

 

О23  = 0

 

 

О= 0

2.1 формуласымен  бойынша есептелінген  Тбақ. мәні = 0,97, бұл  мәнді χкесте бойынша анықталынатын және Т шек. = 5,37   мәні  бар, α = 0,17  денгейдегі мәндер үшін еркіндік дәрежісінің саны v = 3, таралуы χ2, х1-а статистикалық шектің (болжамның) мәнімен салыстырайық.

Екі жақты өлшемдіктер  жағдайындағы дәрежеге сүйеніп, егер Т бақ. < Т шек., онда нөлдік болжамды жоққа шығаруға негіз жоқ, яғни студенттердің  бәрінің білімдерінің бастапқы деңгейлері бірдей.

 

Эксперименттің қалыптастырушы кезеңі (2016–2017 ж.ж.)

Қалыптастыру кезеңінде студенттердің 4 деңгейлі дәрежедегі тапсырмаларды орындауда модульдік технологияны пайдаланып, нәтижесінде оқу материалын меңгеру  деңгейлерін анықтауды, тиімділігін анықтау деп тұжырымдалды.

Зерттеу үшін қажетті деректер: КБ-101, А-102, С-101, Д-101,    Д-102, СТР-102, Құр-101 және ПСМ-102, КМБ-101, БЖД-102,  ҚОҚ-101, КҚҰР-101, ТСТР-102 академиялық топтарындағы  студенттердің тапсырмаларды орындау нәтижелері. Сынақтамаға қатыстқан топтардағы студенттер саны әртүрлі болғандықтан, тиімділік көрсеткішін 4-деңгейлі тапсырмаларды орындаған студенттер санының іріктелінген студенттердің жалпы санына қатысы ретінде есептейміз. Тиімділік есептелген көрсеткіштер 2.8-кестеде берілген.  Бұлай болса, 2016-2017 оқу жылында модульдік технологияны қолданудың тиімділігі күмән тудырмайды: егер модульдік технологияны оқу үдерісін жеделдету мақсатында пайдаланудан тиімділік көрсеткіші  12,9 %- ға жоғарылаған болса, осы әдісті  жекелендіру үшін пайдаланғанда 17 %-ға  көтерілген.

 

2.8-кесте –  2016–2017 оқу жылындағы тиімділік көрсеткіші

 

Тәсіл

Іріктелгенде студенттердің саны

Төрт деңгейдегі есептерді шығарған студенттердің саны

Тиімділік көрсеткіші нің %       

 

Дәстүрлі оқыту

 

 

47

 

2

 

4,2

 

МТ оқу үдерісін жеделдету үшін

 

 

 

35

 

 

6

 

 

17,1

 

МТ қолдану  жеке оқытуды көздегеніне

 

 

33

 

7

 

21,2

2016–2017 оқу жылында өткізілген қалыптастыру сынақтамасының нәтижесінен шыққан қорытынды: өткізілген сынақтамалық тәжірибе жұмысы модульдік технологияны пайдаланудың тиімділігін айғақтайды.

 

Эксперименттің қалыптастырушы кезеңі (2017–2018 ж.ж.)

2017–2018 оқу жылыңын қалыптастырушы кезеңін алдыңғы жылдағыдай есептейміз.

Зерттеу үшін қажетті деректер: А-102, С-101, Д-101, Д-102, СТР-102, ПСМ-102, ҚҰР-101, КМБ-101, БЖД-102, ҚОҚ-101,  ТСТР-102 академиялық топтарындағы  студенттердің тапсырмаларды орындау нәтижелері.

 

2.9-кесте– 2017 –2018 оқу жылындағы тиімділік көрсеткіші

 

Тәсіл

Іріктелгенде      студент

тердің саны

4   деңгейдегі есептерді шығарған студенттердің саны

 Тиімділік көрсеткішінін

    %

 

Дәстүрлі оқыту

 

27

 

2

 

7,4

 

 

МТ оқу үдерісін  жеделдету үшін

 

 

29

 

5

 

17,2

 

Жеке оқытуды көздегеніне МТ қолдану

 

 

26

 

5

 

19,23

 

Бұлай болса, 2017–2018 оқу жылында модульдік технологияны қолданудың тиімділігі күмән тудырмайды: егер модульдік технологияны оқу үдерісін жеделдету мақсатында пайдаланудан тиімділік көрсеткіші  9,8 %- ға жоғарылаған болса, осы әдісті  жекелендіру үшін пайдаланғанда 11,83 %-ға  көтерілген.

Экперимент өткізілген кезеңінің  нәтижелері  50 суретте көрсетілген.

Сонымен, қалыптастырушы кезеңінде  қарастырған екі оқу жылдарында өткізілген сынақтаманың нәтижесінен шыққан қорытынды: өткізілген сынақтамалық тәжірибе жұмысы кредиттік оқу жүйесінде модульдік технологияны пайдаланудың тиімділігін, атап айтқанда, оқу материалын  қарапайым қайталап айтып беру арқылы меңгеру деңгейінен шығармашылық деңгейге көтерілген студенттер санының  пайыз көрсеткішінің ұлғайғанын айғақтайды.

 

Эксперименттің бақылаушы кезеңі (2016–2018 ж.ж.)

Бақылаушы  кезеңінің мақсаты – инженерлік сызбаны оқыту барысында сабақ үлгерімінің сапасын жоғарылату, модульдік техологияны пайдаланудың ұтымдылығын дәлелдеу. Топтарда оқыту  әдістері әртүрлі болғанымен, инженерлік сызбаны оқыту бағдарла-масы эксперименттен өткен топтардың нәтижесімен бірдей.

Оқыту сапасының критерийі –  оқу материалын меңгеру сапасы, оның көрсеткіші – графикалық тапсырманың  орындалуына берілген балы және 2.11-кестеде көрсетілген көрсеткіштер арқылы бағаланады. «Инженерлік сызба» пәнін меңгеретін студенттердің әрекетіндегі ұтымды деңгейін көрсетуге негіз болады.

2.11-кесте – Инженерлік сызба пәнін оқыту негіздерінің өлшемдіктері мен көрсеткіштері

 

 Өлшемдері

Көрсеткіштері

 

Қайтала

ным және эвристика

лық икемдік

тері

 

 

 

 

 

 

 


Өнімді-шығармашылық еріктілік

тері

 

 

 

 

 

 

 


Креативтік парасатты іс-әрекеті

-студенттердің қабілеттері инженерлік сызба пәнінің ұғымдарына сай дамуы, оның тәжірибеде қолданылуы.

-инженерлік сызбадан меңгерген білім көлемін      түсіндіре алуы;

-гносеологиялық әрекеттерді меңгеру біліктілігі, мақсат қоя алу іскерлігі;

- пәннен алған білімін тәжірибеде пайдалана алу қабілетінің ұдайы ұштаса түсуіне бейімділігін ыңғайлауы (ерік-жігері, шыдамдылығы, жауапкершілігі);

 

 

-нормативті мақұлданған іс-әрекеттер технологиясын игеруі және басқа тұлғалардың озық тәжірибелерін  өзінің тәжірибесімен салыстырып, оның ғылыми негіздерінің технологиясын құруға дағдылануы.

-ұлттық сипатқа негізделген құрылысқа ынталы мінездің тууы, өздерінің құрбы-құрдастарының және ересектерге біліммен, ғылыммен ортаға жағымды ықпал жасай алуы, кәсіптік білімінің қажеттілгі, оның заманауи талабына сай дамуына ішкі интеллектуалды әлеуеттің дайындығы.

-стандарт ауқымындағы жіктеген талаптардың мақсатын модульдерге және оның блоктарына сабақтастық қағидасына сай жіктей алуы;

 

- -өзінің табиғи ыңғайына қарай аксиологиялық,                           г гносеологиялық, праксеологиялық бағамының ұдайы                                                 ө  өнімділігі;

-ұлғайған сайын лексикалық кәсіби тілі, ғылыми пайым-парасаты, креативті (басқадан озық ойлы) шеберлігі, халықаралық, ғаламдық кеңістікке танылуға ниеттенуі;

-меңгерген ғылымының (мамандыққа қатысты) сұранымға себеп болу.

 

Қайталаным деңгейінің өлшемдіктері: міндетті орындауы, ситуацияны шеше алуы, білімін қайтадан құрастырып айтып беруі, репродуктивтік іскерлік білдіруі. Эвристикалық деңгейде – білім теориясын меңгерудегі ізденімпаздықтың негізінде жаңаланған әрекет құру, әрекеттену мен амалдануды екінші бір таным әрекетіне алмастыру. Өнімді – шығармашылық деңгейі – өзіндік ақпаратты өздігінен таныс және таныс емес жағдайларда оқу материалының нысанына бағынышты екенін ескеріп, жоспарлы өзгерте білу. Белсенділіктің эвристикалық деңгейінде – тұрақты қызығушылық, жартылай зерттеу іскерлігі. Креативтік парасатты іс-әрекеті деңгейде – түйсіктегіштік, неғұрлым оқу материалынан қоры мол болса, «соғұрлым іс дұрыс болмақ». Белсенділіктің шығармашылық деңгейі, таным әрекетіне қажеттілік, шығармашылық іскерлік.

Базалық білім қорын тексеру үшін 2016, 2018 жылдардың маусым айларында, жоспардан тыс орындалған бақылау жұмысы  өткізілді (нұсқасы В қосымшада келтірілген). Ұсынылған тапсырмаларды орындау барысында студенттер позициялық және метрикалық есептерді шығара алуға қажетті білімдер, біліктер мен дағдыларын  көрсетулері тиіс еді. 1-ші есепті шығарғаны үшін қойылатын балдың шектік  саны – 50 балл, 2- ші есеп үшін – 20 балл, 3- ші есеп үшін – 30   балл.

Жұмысты толығымен орындағандығы үшін берілетін балдың шектік саны –100, оның төрт балдық жүйедегі баламалары:

1) «қанағаттанарлықсыз» – 49 балдан төмен;

2) «қанағаттанарлық»  – 50 балдан  74 балға дейін;

3) «жақсы» – балдан  75 балға 89 балға дейін;

 4) «өте жақсы» – 90 балдан жоғары.

Жұмысты орындауға 90 минут уақыт берілді.

Экспериментальдық және  бақыланушы топтарда өткізілген жоспардан тыс орындалған бақылау жұмысының нәтижелері                  2.12-кестеде көрсетілген. Келтірілген деректер білім сапасының  бақылаушы топтарға қарағанда экспериментальді топтарда жоғары екендігін дәлелдейді. Базалық білім қорының деңгейін семестр ағымында істелінген  жұмыстардың жеткіліктілігімен салыстыру үшін жоспардан тыс орындалған бақылау тапсырмаларын орындауға қажетті білімдерді талап ететіндей тақырыптар бойынша өткізілген бақылау жұмыстары мен графикалық тапсырмаларға қойылған бағалар іріктелініп алынды. 

Тапсырмалар:

«Нүкте. Түзу. Жазықтық» тақырыбы бойынша жұмытар (Г қосымшасы)

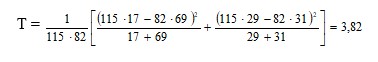
Қорыта айтқанда, бағалардың ең үлкен қосындысы 100 балл, семестірлік жұмыстарды бағалау үшін мерзімі кейінге жоспардан тыс орындалған бақылау жұмыстарының бағалануымен сәйкес көрсеткіштер алынды.  Нәтижелерді талдаулар мерзімі кейінге жоспардан тыс орындалған бақылау жұмысы бойынша  алған бағалары эксперименттік топтарда 2016–2017 оқу жылында  – 28 студентте, бақыланушы топтағы – 3 студентте солардың  семестрлік жұмысына қойылған бағалардан өзгермегенін көрсетті, 2017–2018 оқу жылында  – 31 студентте, бақыланушы топтағы – 7 студентте. Екі жиынтық құрамға жататын нысандардың осы қасиетке байланысты таралуын салыстыру үшін  χ 2 (хи- квадрат) критерийін пайдаланамыз.

Көлемі n1  = 115 және n2  =  82 болатын екі  жиынтық құрам бар, мұндағы  п1  мен п2 – (тиісінше) экспериментальдық және бақыланушы топтардағы студенттер саны.

         

2.12-кесте – Экспериментальдық және  бақыланушы топтарда өткізілген жоспардан тыс орындалған бақылау жұмысының нәтижелері

 

Кезең

Топ

тар

Балдар

2016-2017           ж.ж.

2017-2018ж.ж.

Бақылаушы

Эксперименттік

≥ 90

11,27   %

14,91   %

≥75 ≤ 89

48, 55 %

42,82  %

≥50  ≤ 74

30,32  %

41,42  %

≤ 49

 

11, 52  %

11,75  %

 

Бақылаушы

≥ 90

5,63    %

4,29    %

≥75 ≤ 89

27,21  %

31,11  %

≥50  ≤ 74

39,37  %

47,52  %

≤ 49

16,21  %

23,1  %

Зерттелініп отырған қасиеттің аталымдар шкаласында бірін-бірі жоққа шығаратын 2 (ғана) категория бар. Зерттелінуші қасиеттің іріктеу жиынтығына жататын нысандардағы өзіндік  белгілерді өлшеулер нәтижесінде 2.13-кесте құрастырылды.

Бұл кестеде  О 11 – шегерілген бақылау жұмысының бағасы семестрлік бағадан төмендемеген экспериментальдық топтағы студенттердің саны.

О 12 – бағасы төмендеген студенттердің саны.

О 21 – бақыланушы топтағы бағасы төмендемеген студенттер саны.

О 22 – бағасы төмендеген студенттер саны.

N – экспериментке қатысушы студенттердің жалпы саны.

Осыдан бұрын айтылғандай, критерийді қолдануға қажетті  талаптардың барлығы да орындалды:

- екі іріктеу де кездейсоқ;

- іріктеулер тәуелсіз және әрбір іріктелінген топтың  мүшелері де біріне-бірі тәуелді емес;

- өлшемдер шкаласы екі категорияны ғана қамтитын аталымдардың  қарапайым шкаласы.

Т өлшемдері статистикасының мәндерін (2.1) формуламен есептейік.

2.13-кесте– Жоспардан тыс орындалған бақылау жұмысының көрсеткіші

 

1 категория

Білімінің нәтижесі

өзгерген жоқ

2 категория

Білімінің нәтижесі

өзгерді

 

№1 іріктеу n 1 = 115

 

 

О11 = 69

 

О12  = 31

 

№2 ірікте n 2 = 82

 

 

О21 = 17

 

О22  = 29

 

2.1 формуласымен  бойынша есептелінген  Т бақ. мәні = 3,82, бұл  мәнді χ2   кесте бойынша анықталынатын және Т шек. = 2,71 мәні  бар, α = 0,10  деңгейдегі мәндер үшін еркіндік дәрежісінің саны v = 1, таралуы χ2, х1-а статистикалық шектің (болжамның) мәнімен салыстырайық.

Екі жақты өлшемдік жағдайындағы дәрежеге сүйеніп, егер Т бақ. > Т шек., онда нөлдік болжамнан жоққа шығаруға негіз бар  және Р1i  ≠ Р2i  альтернативалық болжам  қолданамыз.

Эксперименттердің нәтижелері студенттердің инженерлік сызба пәні бойынша дайындығының артқаны байқалынады. Студенттің өздігімен жұмыс істей білуі, өзін-өзі ұйымдастыруы, өзіндік бақылау жасауының көрсеткіші анағұрлым артты. 

Модульдік технологияны қолданудың нәтижесінде тәжірибелік-эксперименттік жұмыс барысында эксперименттік топ студенттерінің  инженерлік сызба оқу курсы бойынша білім сапасының көрсеткіштері көтерілді, инженерлік сызба пәніне деген қызығушылығы артты, болашақ құрылыс мамандықтарында инженерлік сызбадан алған білімдерінің қажеттігіне көздері жетіп, қолдану жолдарын игерді, графикалық жұмысты орындауға ынтасы артты, графикалық жұмыстарды орындау нәтижесінде өзін-өзі ұйымдастыруға, өз әрекеттерін жоспарлауға, өзіндік  бақылау жасауға үйренді.

Осылайша, кредиттік оқу жүйесі бойынша модульдік технология арқылы оқу үдерісін ұйымдастырудағы болашақ инженерлердің графикалық жұмысының педагогикалық шарттары және оны тиімділеуде мониторинг пен жаңа инновациялық технологияларды қолдану қажеттігі дәлелденді.

Эксперименттік топ студенттері кәсіби дайындығына қажетті инженерлік сызба  курсынан  алған білімдерінің сапасы артырылды, зерттеу болжамы расталды.

2-бөлім бойынша қорытынды

Зерттеу барысында оқытушылар мен студенттерден алынған  сауалнамалар оқыту мәселесінің өзектілігін растап, оны шешудің жолдарын іздеуге  түрткі болды. Модульдік технология үлгісінің әдістемелік жүйесінің компоненттерінің тиімділігіне модульдік технологияның ықпалын сәулет-құрылыс факультетінің студенттеріне  инженерлік сызба пәнін оқытуда сынап көрдік. Соның негізінде модульдік технология арқылы оқытуды ұйымдастырудың әдістемесі ұсынылды.

Әдістеме модульдік технология арқылы оқытуды мақсатына сәйкес инженерлік сызба графикалық жұмыстарын ұйымдастырғанда студенттердің жұмыстарының ұйымдастыру формаларын өзара үйлесімді болуын, тапсырмалар жүйесін  қолдануды, инновациялық технологияларды қолдануды  қарастырады. Зерттеу барысында ұсынылған модульдік технологияның үлгісіне сәйкес оны  тиімді ұйымдастырудың педагогикалық шарттары: студенттерге оқу-әдістемелік және материалдық-техникалық қамтамасыз етілуі; ұйымдастырушылық; психологиялық; студентердің оқуларын белсендіру мен тиімділігін арттыру шарттарының болашақ инженерлердің кәсіби дайындығының сапасына әсері эксперимент барысында тексерілді.

Эксперимент деректерін статистикалық өңдеуде арифметикалық орта, математикалық статистика, тиімділік көрсеткішін, білім деңгейін бағалау коэффициенті есептелді. Студенттердің жұмыстарын оқу - әдістемелік қамтамасыз етілуі үшін инженерлік сызба пәнінің оқу - әдістемелік кешені өткізілді.

Бұл инновациялы технологиялар  аудиториядан тыс студенттердің жұмыстарын ұйымдастыруға, студентке өзін-өзі бақылау жасауға, графикалық  жұмыстарын орындауға уақытын тиімділеуге мүмкіндік береді. Қалыптастырушы  және бақылаушы эксперимент барысында бақылау арқылы жүйелі түрде ұдайы жүргізілетін мониторингтің қажеттігі, оның білім сапасы мен студенттердің графикалық жұмыстарының нәтижесіне ықпалы анықталды.

Эксперимент бағдарламасына сәйкес үш кезеңнен тұратын тәжірибелік-эксперименттік жұмыстар  модульдік технология үлгісінің тиімділігін растады.  Оның тиімділігін бағалау үшін болашақ маманның кәсіби маңызды қасиеттерінің өлшемдіктері алынды.

Қалыптастырушы және бақылаушы эксперименттің нәтижесі бақылау тобына қарағанда эксперименттік топта студенттің графикалық жұмыстарын  өз бетімен жұмыс істей білуі, өзін-өзі ұйымдастыруы, өзіндік бақылау жасауының көрсеткіші анағұрлым артты. 

Өткізілген эксперимент – тәжірибе жұмысында модульдік технологияны пайдаланудың тиімділігін айғақтайды.

Өткізілген эксперимент – тәжірибе жұмысы кредиттік оқу жүйесінде модульдік технологияны пайдаланудың тиімділігін, атап айтқанда, оқу материалын  қарапайым қайталап айтып беру арқылы меңгеру деңгейінен шығармашылық деңгейге көтерілген студенттер санының пайыздық көрсеткішінің ұлғайғанын айғақтайды.

Модульдік технология арқылы оқу үдерісін ұйымдастырудағы болашақ инженерлердің графикалық жұмысының дидактикалық шарттары және оны тиімділеуде мониторинг пен жаңа инновациялық технологияларды қолдану қажеттігі дәлелденіп, эксперименттік топ студенттерінің кәсіби дайындығына қажетті инженерлік сызба  курсынан  алған білімдерінің сапасы арту арқылы айғақтар алынып, зерттеу болжамы расталды