Жұмыстың мақсаты: Ағаш жапырақтарының асимметриясының интегралдық сипаттамалары бойынша қаланың экологиялық жағдайын бағалау.
Зерттеу нысаны: салбыраған қала қайыңының жапырақтары (Betula pendula Roth.) Павлодар. Бұл түрлер болмаған жағдайда, зерттеулерді жапырақты ағаштардың басқа түрлерінде жүргізуге болады.
Осы зерттеу жұмысын орындау кезінде қолданылатын әдіс ресейлік ғалымдары А. В. Яблоков, В. М. Захаров және т. б. әзірлеген «даму тұрақтылығы» («морфогенетикалық гомеостаз») теориясына негізделген.
Бұл ғалымдар әртүрлі типтегі стресстік әсерлер тірі организмдердің даму гомеостазында (тұрақтылығында) өзгерістер туғызатынын, оны морфогенетикалық процестердің бұзылуымен бағалауға болатынын дәлелдеді.
Морфогенетикалық процестердің гомеостазындағы өзгерістердің негізгі көрсеткіштері болып өзгермелі асимметрияның көрсеткіштері – әдетте екі жақты симметрияға ие әртүрлі морфологиялық құрылымдардың оң және сол жақтары арасындағы бағытты емес айырмашылықтар жатады.
Мұндай айырмашылықтар әдетте ағзаның дамуындағы қателердің нәтижесі болып табылады.
Қалыпты жағдайда олардың деңгейі минималды, кез келген стресстік әсерде артады, бұл асимметрияның жоғарылауына әкеледі. Даму тұрақтылығының ерекшелігі, ол негізінен радиациялық әсердің салдарын бағалау кезінде маңызды болып табылатын организмнің жалпы генетикалық қайта құрылымдалуына байланысты.
Екі жақты организмдердің ауытқымалы асимметриясын бағалау антропогендік әсердің жалпы деңгейін анықтауда өзін жақсы дәлелдеді.
Химиялық және физикалық көрсеткіштерді бағалайтын дәстүрлі әдістер биологиялық жүйеге әсерін жан-жақты түсінуді қамтамасыз етпейді, ал биоиндикативті көрсеткіштер биологиялық мағынаға ие бола отырып, оған әсер ететін барлық факторлардың әртүрлілігіне организмнің реакциясын көрсетеді.
Өсімдіктер бұл әдіспен антропогендік әсерді биоиндикация-лаудың оңтайлы объектісі болып табылады. Жануарлар, әсіресе жоғары сатыдағы жануарлар, биоиндикацияның бұл түріне аз қолайлы.
Біріншіден, олар әлдеқайда күрделі және олардың дамуының тұрақтылығы көптеген факторларға байланысты.
Екіншіден, олар азық-түлік пирамидасының жоғары деңгейінде және топырақ пен ауаның ластануына азырақ сезімтал.
Ақырында, жануарлар мобильді және аумақтың белгілі бір аймағына азырақ байланысты.
Өсімдіктер экожүйе продуценттері ретінде өмір бойы жергілікті аумақпен байланысты және экожүйеге стресстік әсерлердің бүкіл кешенін барынша толық көрсететін топырақ пен ауа ортасының әсеріне ұшырайды.
Осы сабақ аясында оқушыларға өз аймағындағы жапырақты ағаштардың бірінің жапырақтары мысалында дамудың тұрақтылығын (ауытқып тұратын асимметрия дәрежесі) бағалау ұсынылады. Бұл жұмыс оны орындау техникасы мен қажетті білімнің көлемі жағынан қиын емес, бірақ өте мұқият.
Оны жүзеге асыру үшін сізге ең аз жабдық қажет: циркуль және сызғыш, транспортир, өлшеу нәтижелерін жазуға арналған бланкілер және есептеу жабдығы (калькулятор немесе компьютер).
Сынамаларды іріктеу орны. Павлодар қаласында сынаманы алты шартты бөлінген учаскелерде (1 учаске – солтүстік-батыс учаске, 2 учаске – солтүстік-шығыс учаске, 3 учаске – батыс учаске, 4 учаске – шығыс учаске, 5 учаске – оңтүстік-батыс учаске, 6 учаске – оңтүстік-шығыс учаске) өнеркәсіптік учаскелерді жою шамасына қарай жүргізу қажет (8.2-сурет).

8.2-сурет – Павлодар қаласының аумағында қайың жапырақтарының сынамаларын іріктеу картасы
Сынама алу уақыты. Жапырақтың қарқынды өсуі аяқталғаннан кейін жапырақтың түсу кезеңіне дейін материал жинауға болады, бұл орта жолақ шамамен мамырдың аяғынан тамыз айының соңына дейінгі кезеңге сәйкес келеді. Өсімдіктерді іріктеу Жапырақ жинауды жарық, ылғалдылық, биотоп түрі бойынша шамамен бірдей қоршаған орта жағдайында болатын өсімдіктерден жүргізу керек. Мысалы, жинау орындарының бірі шетінде, ал екіншісі - орманда орналаспауы керек. Талдау үшін жас үлгілерден және ескілерден аулақ болған орта жастағы өсімдіктер ғана қолданылады.
Жапырақтарды жинау 10 жақын өсетін ағаштардан – әр ағаштан 10 жапырақтан, барлығы бір сайттан 100 жапырақтан жасалады. Жапырақтары зақымдалған жағдайда аймақтан бірнеше жапырақтарды алу жөн. Зақымдалған жапырақтарды зерттеуде өлшеу мәндері алынып тасталатын учаскелер әсер етпеген жағдайда ғана пайдалануға болады. Алайда, қателіктерге жол бермеу үшін зақымдалған жапырақтарды алмағаныңыз жөн (8.3-сурет).

8.3-сурет – Жапырақтарды жинау орны
Жапырақтар тәждің төменгі бөлігінен, көтерілген қол деңгейінде, қол жетімді бұтақтардың максималды санынан алынады. Сонымен бірге олар әртүрлі бағыттағы, шартты түрде - солтүстіктен, оңтүстіктен, батыстан және шығыстан бұтақтарды қолдануға тырысады. Қайың жапырақтары қысқартылған қашудан ғана алынады. Жапырақтары осы түр үшін шамамен бір, орташа мөлшерді алуға тырысады. Егер осы зерттеу жұмыстары жүргізілетін жерде қайыңдар болмаса, объект ретінде жапырақты ағаштардың басқа түрлерін қолдануға болады.
Бір ағаштың жапырақтары жапырақшаларға жіппен байланған және базаға тасымалдау үшін пакеттерге салынған. Әрбір пакет (іріктеме) заттаңбамен жабдықталады, онда жиналу күні, орны (жергілікті жерде барынша егжей-тегжейлі байланыстыра отырып) және алаң нөмірі, сондай-ақ жиналу авторы (авторлары) көрсетіледі (8.4 сурет).

8.4-сурет – Қайың өркендерінің түрлері
Зертханалық өңдеу.
Жиналған материалды өңдеуді дереу жапырақтары қурап қалғанша бастаған жөн. Жиналған материалды дереу өңдеу мүмкін болмаса, оны тоңазытқыштың төменгі сөресіне қояды (максималды сақтау мерзімі - 1 апта). Ұзақ мерзімді сақтау үшін глицеринмен немесе сумен 1/3 сұйылтылған спирт - фиксатор қолданылады.
Өлшемдер. Жиналған материалды өңдеу үшін сызғыш, өлшегіш циркуль және транспортир қажет. Егер өлшемдер бірнеше топ бойынша жүргізілсе, онда сызғыштар мен транспортирлердің бірдей болуын қамтамасыз ету қажет. Қайың жапырағы мысалында өлшеу процедурасын талдап көрейік.
Әр парақтан көрсеткіштер парақтың сол және оң жағынан 5 параметр бойынша алынады: 1-парақтың жартысының ені. Өлшеу үшін Парақ жартысына бүктеліп, парақтың тәжін негізге қолданады, содан кейін бүгіліп, қалыптасқан бүктеме бойымен өлшеулер жүргізіледі; 2 – парақтың негізінен екінші ретті екінші тамырдың ұзындығы; 3 – екінші ретті бірінші және екінші веналардың негіздері арасындағы қашықтық; 4 – осы веналардың ұштары арасындағы қашықтық; 5 – негізгі Венаның және екінші ретті тамырлардың арасындағы бұрыш екінші ретті тамырдың түбінен екінші (8.5-сурет).

8.5-сурет – Қайың жапырақтарының параметрлері
Қайың жапырағының параметрлері. Алғашқы төрт параметр компаспен - метрмен алынады (егер ол жоқ болса, өлшемдерді анық миллиметрлік бөлімдері бар сызғышпен алуға болады). Веналар арасындағы бұрыш транспортирмен өлшенеді. Мөлдір пластиктен жасалған транспортирлерді пайдалану ыңғайлы.
Бұрышты өлшеген кезде транспортир (8.6-суреттегі 1-поз) транспортир терезесінің ортасы (8.6-суреттегі 2-поз) екінші ретті екінші көктамыр тармағының орнында болатындай етіп орналастырады (поз. 8.6-суреттегі 4).
Веналар түзу емес, қиғаш болғандықтан бұрышты былайша өлшейді: транспортир терезесінің ішінде орналасқан орталық венаның (3-поз, 8.6-сурет) кесіндісі (2-поз, 8.6-сурет) бір-бірімен біріктіріледі. 90°-қа сәйкес келетін транспортирдің орталық сәулесі және екінші ретті венаның кесіндісі (4-поз, 8.6-сурет) транспортирдің градустық мәндеріне дейін ұзартылады (8.6-сурет, сурет) сызғышты пайдалану.

8.6-сурет – Тамырлар арасындағы бұрышты өлшеу
Бір үлгідегі барлық жапырақтарды бір адам өлшеген жөн – субъективті қателіктердің әсерін болдырмау үшін.
Параметрлердің абсолютті өлшемдері емес, сол және оң жартысы арасындағы айырмашылық қызығушылық тудыратынын есте ұстаған жөн. Сондықтан парақтың сол және оң жақтарын өлшеу техникасына үнемі назар аудару керек (сызғыш пен протектордың орналасуы, жарықтандыру және т.б.).
Өлшеу деректері 8.1-кестеге сәйкес енгізіледі. Өлшеу процесін жылдамдату үшін екі немесе үшеуін өлшеу ыңғайлы. Бір оқушы өлшеуіш компаспен (немесе сызғышпен) жұмыс істейді және сызықтық өлшемдерді өлшейді (1 – 4 параметр). Екіншісі компаспен жұмыс істейді және тек бұрыштарды өлшейді (5 параметр). Үшінші оқушы бұл деректерді кестеге диктантпен енгізеді:
8.1 кесте – Өлшем мәндері (мысал)
|
Мерзімі: |
Орындаушы: |
|||||||||
|
Жиналу орны: |
||||||||||
|
Парақ № |
1. Парақ жартысының ені, мм |
2. 2-ші тамырдың ұзындығы, мм |
3. 1-ші және 2-ші тамырлардың табандары арасындағы қашықтық, мм |
4. 1-ші және 2-ші тамырдың ұштары арасындағы қашықтық, мм |
5. Орталық және 2-ші тамыр арасындағы бұрыш, градус |
|||||
|
|
л |
п |
л |
п |
л |
п |
л |
п |
л |
п |
|
1 |
21 |
20 |
31 |
29 |
4 |
5 |
9 |
9 |
43 |
45 |
|
2 |
20 |
20 |
32 |
30 |
5 |
5 |
8 |
7 |
40 |
44 |
Егер компьютерге деректерді енгізу мүмкін болса, Microsoft Excel бағдарламасын сақтау және математикалық өңдеу үшін пайдаланыңыз.
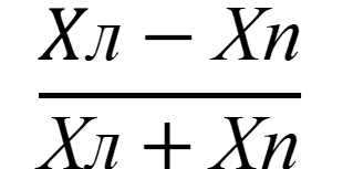
Есептеулер. Ассиметрия шамасы интегралдық көрсеткіш – белгіге қатысты орташа салыстырмалы айырмашылықтың шамасы (белгілердің санына жатқызылған сол және оң жақтағы парақ өлшемдерінің қосындысына айырмашылықтың орташа арифметикалық қатынасы) арқылы бағаланады. Есептеулерді жүргізу үшін 8.1-кестеге сәйкес пайдаланады. Біз бір x мысалының мәнін белгілейміз, содан кейін сол және оң жақтағы өлшем мәні сәйкесінше Хл және Хп деп белгіленеді. Парақтың параметрлерін 5 белгімен өлшеу арқылы (сол және оң) біз 10 x мәнін аламыз. Бірінші әрекетте (1) әр белгі үшін сол және оң – (Y) белгілердің мәндерінің арасындағы салыстырмалы айырмашылықты табамыз. Ол үшін бір парақ үшін бір белгі бойынша өлшеу мәндерінің айырмашылығын табыңыз, содан кейін сол мәндердің қосындысын табыңыз және айырмашылық сомаға бөлінеді. Мысалы, біздің мысалда № 1 парақ 8.2-кестеге сәйкес бірінші белгісі бойынша Хл = 21, Ал Хп = 20. Yi мәнін 8.1 формуласы бойынша табамыз:
мұндағы Хл, Хп – сол және оң жақтағы өлшем мәні;
Yi – әр белгі үшін сол және оң белгілердің мәндерінің арасындағы салыстырмалы айырмашылығы.
Дәл осындай есептеулер 8.2 кестеге сәйкес нәтижелерді жазуды жалғастыра отырып, әрбір парақ үшін жеке жүргізіледі.
8.2 кесте – Есептеуге арналған көмекші кесте
|
Парақ № |
1 Белгі Y= |
2 Белгі Y= |
3 Белгі Y= |
4 Белгі Y= |
5 Белгі Y= |
Орташа әр функцияға қатысты салыстырмалы айырмашылық
|
|
1 |
0,024 |
0,033 |
0,111 |
0 |
0,02 |
0,038 |
|
2 |
0 |
0,032 |
0 |
0,067 |
0,048 |
0,029 |
|
|
|
|
|
|
|
|
Табылған Yi мәні белгінің 1-бағанындағы 8.1 көмекші кестеге енгізіледі. Ұқсас есептеулер әрбір мүмкіндік үшін жасалады (1-ден 5-ке дейін). Нәтиже –- бір парақ үшін 5 Y мәні. Екінші қадамда (2) әрбір парақ (Z) үшін бір мүмкіндіктің жақтары арасындағы орташа салыстырмалы айырмашылықтың мәнін табыңыз. Ол үшін салыстырмалы айырмашылықтардың қосындысын белгілер санына бөлу керек.
Z1 мәнін 87.2 формула бойынша табамыз:
, (8.2)
мұндағы Z – әрбір парақ үшін бір мүмкіндіктің жақтары арасындағы орташа салыстырмалы айырмашылығы;
N – мүмкіндіктер саны.
Әрбір парақ үшін ұқсас есептеулер жасалады. Табылған мәндер 8.2 кестенің оң жақ бағанына енгізіледі.
Үшінші қадамда (3) бүкіл таңдау (X) үшін бір мүмкіндікке орташа салыстырмалы айырмашылық есептеледі.
Ол үшін барлық Z мәндері қосылады және 8.3 формуласына сәйкес осы мәндердің санына бөлінеді:
(8.3)
мұндағы Х – арифметикалық орташа мән;
Z1, Z2, Z3, Z4, Z5 – әрбір парақ үшін бір мүмкіндіктің жақтары арасындағы орташа салыстырмалы айырмашылығы;
N – Z мәндерінің саны, яғни жапырақтардың саны.
Алынған көрсеткіш дененің асимметрия дәрежесін сипаттайды. Бұл көрсеткіш үшін нормадан ауытқудың бес балдық шкаласы жасалды, онда 1 балл – шартты норма, ал 5 балл – 8.3 кестеге сәйкес сыни жағдай:
8.3 кесте – Асимметрия дәрежесі көрсеткішінің бес балдық шкаласы
|
Балл |
Асимметрия көрсеткішінің мәні |
|
1 балл |
до 0,055 |
|
2 балл |
0,055-0,060 |
|
3 балл |
0,060-0,065 |
|
4 балл |
0,065-0,070 |
|
5 балл |
более 0,07 |
Қорытынды жасау.