4.8.1 Кабель желілерін тексеру
Кабель желілеріне (КЖ) техникалық қызмет көрсету негізінде КЖ ақаулары мен ақаулары анықталуы тиіс мерзімді тексерулер жатады.
Ашық төселген 35 кВ дейінгі кабель желістерін тексеру кезеңділігі жарты жылда кемінде бір рет, ал жерге салынғандарды – 3 айда кемінде бір рет құрауға тиіс.
Әкімшілік-техникалық персонал кабельдік желілерді кемінде жарты жылда бір рет қарап шығуға міндетті.
Қолайсыз метеорологиялық жағдайларда, әсіресе топырақтың жылжу немесе кабель трассаларына судың түсу қаупі анықталған кезде кабель желілеріне кезектен тыс тексеру жүргізу міндетті. Жоспардан тыс тексерулер, сондай-ақ автоматика және РҚ құралдарымен кабельдік желілерді ажырату кезінде жүргізіледі.
Жөндеу персоналы кабельдік трассаларды тексеру кезінде кабельдік желілердің өтуін білдіретін ескерту белгілерін немесе пикеттерді міндетті түрде тексереді. Кабельдік желілердің трассаларында топырақтың жай-күйі шөгу мен ісінудің болуына тексеріледі.
Электр желілерін пайдалану қағидалары бойынша кабель желілерінің трассалары үшін шеткі орналасқан кабельден бір метр мөлшерінде күзет аймағы орнатылған. Сондықтан кабельдік желілер трассасының күзет аймағында қандай да бір жұмыстар орындалмауы және қандай да бір қоқыс жиналмауы тиіс. Сондықтан жұмыс тек кабельдік желілер орналасқан ұйымның келісімімен және қатысуымен жүзеге асырылады [37].
Кабель төсеу кезінде механикалық зақымданудан қорғалған, мысалы, жерден ӘЖ немесе құрылымдардың тірегіне.
Жұмыс нұсқаулығына сәйкес кабельдік құрылымдарда, мысалы: туннельдерде, эстакадаларда және т.б. тексеру үшін персоналдан екі адамды тағайындайды. Біріншіден, газ анализаторының көмегімен кабельдік бөлмелерде газдардың болуын, жарықтандыру құрылғыларының және желдету жүйесінің күйін тексеріңіз. Сондай-ақ кабельдік құрылыстардың жай-күйіне, бөгде заттардың болуына (болмауына) және өрт қауіпсіздігі құралына техникалық тексеру жүргізіледі. Кабель құрылыстарының металл конструкциялары міндетті түрде жанбайтын тоттануға қарсы құралмен жабылады.
Кабель желілерінің туннельдері жобаланады және суды бұруға арналған жүйелермен жабдықталады. Олар әрқашан жұмыс күйінде болуы керек.
Кабельдік желілердің жылу режимі кабельдік құрылымдардың ішіндегі температурамен жанама түрде реттеледі және сыртқы ортаның температурасынан 10оС-тан аспауы керек.
Ашық трассаларда кабельдік желілер сыртқы ортаның әсеріне төзімді жапсырмалар орнатылады, олар кабельдік желілердің басында және соңында әрбір 50 м бекітіледі. Биркаларда оны монтаждау нөмірі мен күні, кабельдердің маркасы мен қимасы, кернеуі немесе желінің басқа параметрлері тіркеледі.
Тексеру кезінде кабельдік желілердің металл қабықтарының коррозияға қарсы жабынын, олардың арасындағы қашықтықты, кабельдік муфталарды бітеу сапасының жай-күйін, май немесе мастика ағындарының болуын тексереді.
Тексеру парағына кабель желілерінің барлық байқалған ақаулары мен ақаулары тіркеледі. Барлық зақымданулар мен сынулар жақын арада техникалық қызмет көрсету кезінде жойылады, ал авариялардың зақымдануы дереу жойылады.
4.8.2 Пайдалану кезіндегі рұқсат етілген жүктемелер
Температураның барлық кабельдік желілерді оқшаулауға қатты әсер етуіне байланысты жүктеме токтарының рұқсат етілген деңгейі белгіленеді. Олардың мәні рұқсат етілген температура Θдоп жағдайына байланысты есептеледі.
Қағаз сіңдірілген маймен кабельдер үшін Θдоп оқшаулау кернеу деңгейіне байланысты Uном (кесте 4.12).
4.12 - кесте
|
Uном, кВ |
3-ке дейін |
6 |
10 |
20 |
35 |
|
Θдоп, 0С |
80 |
65 |
60 |
55 |
50 |
Полиэтиленді оқшаулауы бар кабельдерде Θдоп = 70 оС; тігілген полиэтиленнен жасалған кабельдерде Θдоп = 90 оС; резеңке оқшаулауы бар кабельдерде Θдоп =65 оС.
Кабель оқшаулауының қартаю процесі ол Θдоп-тан жоғары қызып кеткенде артады, бұл кабельдердің қызмет ету мерзімін қысқартады.
Θж кабелінің өзегінің температурасы кабель тогымен және болат кабель құрышына орнатылған жылу датчиктерінің Θб көрсеткіштерімен анықталады.
Температура Θж ретінде анықталады
Θж = Θб +ΔΘ,
мұндағы Θб – сынау кезінде өлшенген Құрыштың (қабықтың немесе шлангтың) температурасы;
ΔΘ-кабель желісінің температурасы құрыш температурасынан асып кетуі.
ΔΘ мәні номограммалар немесе эмпирикалық формула бойынша анықталады. Номограмма суретте көрсетілген. 4.13 суретке 5 жылдан 25 жылға дейін жұмыс істейтін алюминий желілері бар кабельдер үшін.
Егер Θж = Θдоп болса, онда кабель рұқсат етілген шектерде жүктеледі.
Нақты жұмыс жағдайында I кабельдің рұқсат етілген жүктемесі рұқсат етілген IДОП;токтың анықтамалық мәнімен салыстырылады. Жүктеме тогы шартты орындау кезінде рұқсат етілген мәндерге сәйкес келеді
I≤k·IДОП
мұндағы k - түзету коэффициенті.

4.13 - сурет. Бронь (қабық немесе шланг) мен 10 кВ кабельдердің алюминий желілері арасындағы температура айырмасы
K түзету коэффициенті анықтамалық деректер бойынша қоршаған ортаның температурасына, траншеядағы кабельдердің санына, топырақтың үлестік жылу кедергісіне, кабельдердің қызмет ету мерзіміне және т.б. сүйене отырып қабылданады.
Авариялық жағдайларды жою кезінде қысқа мерзімді шамадан тыс жүктеуге жол беріледі, мысалы, қағаз оқшауламасы бар 10 кВ дейінгі кабельдер үшін ол 30% – ға дейін; полиэтиленнен жасалған кабельдер үшін – 15% – ға дейін; резеңкеден жасалған кабельдер үшін – 18% - ға дейін; тігілген полиэтиленнен жасалған кабельдер үшін-25% - ға дейін; 15 және одан көп жыл пайдаланылатын кабельдер үшін-10% - ға дейін.
Кабельдерді қайта тиеудің ұзақтығы тәулігіне 6 сағаттан және қатарынан 5 тәуліктен аспауы тиіс, ал жылына қайта тиеуге 100 сағатқа дейін жол беріледі.
Кабельдік желілердің жүктеме режимі жылына 2 рет алынатын жүктеме графигінің көмегімен бақыланады. Бұл жағдайда қысқы максимумдағы жүктемені өлшеу міндетті болып табылады.
4.8.3 Профилактикалық өлшеулер мен сынақтар
Кабельдік желілерге ТҚК кезінде өлшеу мен сынаудың басты элементі оқшаулау жағдайын бақылау болып табылады. Оқшаулау кедергіні мегомметрмен өлшеу арқылы анықталады. 4.14 сурет фазалық оқшаулау мен фазааралық кедергіні өлшеу кезінде мегомметрді қосу тәсілдері көрсетілген. 1 кВ дейінгі кабельдерде, егер оның шамасы 0,5 МОм астам болса, кедергі рұқсат етілген болып саналады.
Оқшаулаудың беріктігі оған номиналды кернеуден жоғары кернеуді қолдану арқылы тексеріледі. Кестеде 4.13 Uисп кернеуінің беріктігін сынау кезінде қолданылатын шамалар, сондай-ақ өткізілетін сынақтың t уақыты келтірілген.

4.14 -сурет. Фазалық (а) және фаза-аралық (б) оқшаулаудың кедергісін өлшеу
4.13 - кесте
|
Uном, кВ |
До 1 |
3 |
6 |
10 |
20 |
35 |
|
Қағаз сіңдірілген оқшаулау |
||||||
|
Uисп, кВ/t, мин |
2,5/5 |
15-25/5 |
36/5 |
60/5 |
100/5 |
175/5 |
|
Пластикалық оқшаулау және тігілген полиэтилен оқшаулау |
||||||
|
Uисп, кВ/t, мин |
2,5/5 |
7,5/5 |
36/5 |
60/5 |
|
|
|
Резеңке оқшаулау |
||||||
|
Uисп, кВ/t, мин |
|
6/5 |
12/5 |
20/5 |
|
|
Жоғары кернеу барлық фазаларға кезекпен беріледі, қалған екі фаза мен кабель экраны жерге қосылады. Кернеу сынақ мәніне дейін біртіндеп көтеріледі және уақыт бойы сақталады t. Жоғары кернеумен сынау кезінде ағып кету токтары және фазалар бойынша симметрия өлшенеді.
Кабель оқшаулаудың бұзылуы болмаған жағдайда және 4.14-кестеде келтірілген мәндерден аспайтын фазалар бойынша ағу токтары мен токтардың асимметриясы аспаған кезде сынақтан өтеді
4.14 - кесте
|
Uном, кВ |
6 |
10 |
20 |
35 |
|
Iут, мА |
0,2 |
0,5 |
1,5 |
1,8 |
|
Iутmax/ Iутmin |
2 |
3 |
3 |
3 |
35 кВ дейінгі кабельді маймен сіңдірілген қағаз оқшаулағышпен тік трассаларда төсеу кезінде оқшаулаудың құрғауын бақылау қажет. Өлшеу құрыштың температурасын жоғарыдан, ортасынан және төменнен өлшейтін термометрлердің көмегімен жүргізіледі. Құрғату термометрлердің көрсеткіштері бір-бірінен 2...3 оС-тан үлкен болған кезде пайда болады. Құрғатылған оқшаулағышы бар кабельді [37] ауыстыру қажет.
Үш фазалы топқа жиналған бір ядролы кабельдер ток таратуға өлшенеді. Токтар бір-бірінен 10% - дан аспауы керек.
Кабельді өлшеу, сынау, жөндеу үшін пайдаланудан шығарған сайын оның барлық өзектерінің тұтастығын, фазалануын тексеру міндетті болып табылады. Мұндай өлшеулер мегомметрдің көмегімен жүзеге асырылады.
4.8.4 Зақымдалған жерлерді анықтау
Кабельдік желілер мен трассаларды мерзімді тексеру, сондай-ақ сынақтар жүргізу кезінде және пайдалану процесінде оқшаулау тесілуі және фазалардың үзілуі сияқты зақымданулар анықталады. Зақымның орны мен сипатын анықтау бойынша іс-шаралар жүргізу қажет. Бірінші және негізгі өлшеу операциясы – фазалар мен жер арасындағы оқшаулау кедергісін, сондай-ақ кабельдің ажыратылған ұшындағы фазалардың әр жұбы арасындағы өлшеу. Егер өлшеу нәтижесі зақымдану түрін анықтай алмаса (зақымдану орнында үлкен өтпелі кедергі болуы мүмкін), онда кабель оқшаулауын жағу жүзеге асырылады. Ол үшін зақымдалған жерде оқшаулауды тесуге болатын кернеу қолданылады. Оқшаулауды разрядты токпен жағу зақымдалған жердегі өтпелі кедергіні азайтады.
Күйдіруден басқа, зақымдану орнын табудың әртүрлі тәсілдері бар. Оларға мыналар жатады: сыйымдылық, импульстік, цикл, индукция және акустикалық әдістер.
Зиянды іздеудің нақты әдістерінің (импульстік әдіс) бірінің мәні – зақымдалған сызыққа анықтамалық электр импульсін беру, ал микросекундтарда уақыт шкаласы бар өлшеу құралының экранында импульсті беру мен зақымданудан шағылысқан импульстің пайда болу уақыты арасындағы tx уақыты өлшенеді (сурет 4.15).
lx = 80tx формуласы бойынша 160+3 м/мкс болатын электромагниттік толқынның таралу жылдамдығын біле отырып, зақымға дейінгі қашықтық метрмен есептеледі.
Мысалы, суретте көрсетілген өлшеу үшін lx = 80 . 3,5 = 280 м.

4.15 - сурет. Кабельдің зақымдану аймағын импульстік әдіспен анықтау кезіндегі аспаптың экраны: а – тұйықталу кезінде; б – үзілу кезінде
Шағылысқан импульстің оң немесе теріс мәндері зақымдану түрін көрсетеді. Егер екеуі де (берілген және шағылысқан) әр түрлі белгінің импульсі болса, онда бұл жабудың болуын көрсетеді (сурет 4.16, а) егер белгілер сәйкес келсе, онда – үзіліс (сурет 4.16, б).
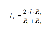
Цикл әдісінің мәні кабель өткізгіштерінің омдық кедергісін өлшеу болып табылады және ол бір фазалы және екі фазалы жерге тұйықталу орындарын іздеуде қолданылады.
Өлшеу екі ядроның бір ұшынан тұйықталған кезде жүзеге асырылады (өйткені өзек зақымдалған кезде цикл пайда болады). Қарама-қарсы ұшында өлшеу көпірін қосу арқылы цикл бөліктерінің R2 және R4 кедергісінің мәнін анықтайды, сурет 4.16.

4.16 - сурет. Цикл әдісімен зақымдану аймағын анықтау схемасы
Көпір иықтарының кедергісін біле отырып, зақымдану орнына дейінгі қашықтықты формула бойынша анықтаңыз

мұндағы l-кабельдің ұзындығы.
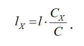
Сыйымдылық әдісі сымдар мен кабель қабығы арасындағы сыйымдылықты өлшеуге негізделген.
Бүкіл өзек пен зақымдалған өзектің сыйымдылығын салыстыра отырып, кабель сынған жерге дейінгі қашықтықты формула бойынша есептеуге болады

Индукциялық әдіс оқшаулауды сәтті жағу жағдайында қолданылады (сурет 4.17).

4.17 - сурет. Зиянды табудың индукциялық әдісінің иллюстрациясы
Зақымдалған кабель өткізгіштеріне жоғары жиілікті ток (1 кГц-ке дейін) берілгеннен кейін, магниттік өзегі бар арнайы индуктор жоғары жиілікті ток өтетін кабельдің айналасындағы жоғары жиілікті магнит өрістерін алады.
Құлақаспаптармен кабель бойымен қозғалатын өлшеу катушкасынан сигналды тыңдау зақымдану орнын анықтайды. Қысқа тұйықталу орнында құлаққаптардағы дыбыстың естілуі күрт артады және зақымдану орнынан кейін бірден жоғалады.
Акустикалық әдіс стетоскопты немесе арнайы құрылғыны пайдаланып зақымдалған жерден шыққан дыбыстардың дыбыстарын тыңдауға негізделген. Разрядтар қысқа импульстардың мерзімді берілуіне байланысты пайда болады, мысалы, сақтау конденсаторынан.
4.8.5 Кабель желілерін жөндеу
Кабельдік желілерде жөндеу жұмыстарын жүргізудің алғышарты сынақтардың нәтижесі, оқшаулаудың бұзылуы немесе айқын ақаулардың болуы болып табылады. Кабельдік желілерді жөндеудің негізгі операциялары – жаңа кабельдік муфталарды ауыстыру немесе орнату.
Кабель желілеріндегі жөндеу жұмыстарының негізгі қиындықтары мен ерекшеліктері зақымдалған жерді анықтау (Қызмет көрсету персоналының міндеттеріне кіреді) және жерге кабель төсеу кезінде жер жұмыстарының үлкен көлемін жүргізу қажеттілігінен тұрады. Кабельді қазуды абайлап, ал 0,4 м астам тереңдікте күректің көмегімен қолмен жүргізу қажет.
Ақаулы ведомостар мен өлшеу нәтижелері, сынақтар мен ескертулер, жүргізілген тексерулер кабельдік желілерді күрделі және ағымдағы жөндеу жұмыстарының көлемін жоспарлау кезінде айқындаушы ақпарат болып табылады.
АЖ және КЖ жоспарлау кезінде келесі құжаттама қолданылады:
- кабель желілерінің паспорттары;
- тексеру парақтары;
- кабельдік журнал;
- кабельдердің қиылыстары мен барлық жерасты коммуникацияларымен жақындасуы көрсетілген жасырын жұмыстар актілері;
- кабельдік муфталарды монтаждау актілері;
- оқшаулау кедергісін өлшеу хаттамалары;
- кабель желілерін жоғары кернеумен оқшаулауды сынау хаттамалары;
- жерге тұйықтау құрылғыларының кедергісін өлшеу хаттамалары;
- кабель желілері ақауларының журналдары;
- кабель желілеріндегі жұмыстарды есепке алу журналдары және басқа да құжаттар.
Құжаттар барлық кабельдік желілердің тізімін және оларды жөндеуге шығару уақытын көрсете отырып, жөндеу жұмыстарының көпжылдық кестесін жасау үшін қажет. Содан кейін АЖ және КЖ жылдық кестелерін жоспарлаңыз.
Кабель желілерін күрделі жөндеу кезінде жұмыстар орындалады:
- траншеяларды іріктеп ашу және муфталар мен кабельдердің техникалық жағдайын бағалау;
- кабельдерді ауыстырып салу, кабель арналарын тазалау арқылы кабель трассаларын толық ашу;
- кабельдерді бекіту құрылымдарының элементтеріне жөндеу жүргізіледі;
- ақаулары бар муфталарды ауыстыру немесе жөндеу;
- бөлшектерді немесе бүкіл кабельді ауыстыру;
- жерге қосу элементтерін жөндеу;
- кабель құрылыстарының қажетті конструкцияларын бояу.
Жөндеу аяқталғаннан кейін барлық қажетті сынақтар өткізіледі. Кабельді 24 сағат бойы жүктемемен сынау міндетті болып табылады.
Жөндеу жұмыстарының соңғы кезеңі барлық орындалған жұмыстардың актісі бойынша қабылдау болып табылады. Актілер мен барлық қосымшалар кабельдік желілердің төлқұжатымен бірге сақталады.