Для учета болезней с аэрогенной или листостебельной инфекцией через 25–50 шагов брали 10 проб по 10 стеблей (листьев) в каждой (рисунок 23). При равномерном распространении заболевания их отбирали с любой стороны поля по треугольнику или прямоугольнику, отступив от края 25–50 м, заходя вглубь посева до 200–300 м, а при неравномерном (очажном) – в шахматном порядке или по диагонали поля [35].
;
Рисунок 23 – Учет пораженности яровой пшеницы фитопатогенами
Учет пораженности яровой пшеницы фитопатогенами проводили по ГОСТ 12044-93 Методы определения зараженности болезнями [36] (рисунок 24).

Рисунок 24 – Учет фитопатогенов яровой пшеницы
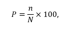
Фитопатологическую оценку состояния посевов оценивали по двум основным показателям: распространенности и интенсивности развития болезни.
Распространенность рассчитывали по формуле [37]:
где n – количество пораженных растений (органов) в пробах, шт.;
N – общее количество (больных и здоровых) учетных растений (органов) в пробах, шт.
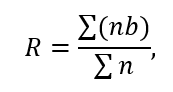
Развитие болезни (R) рассчитывали, используя формулу [37]:
где Ʃ(nb) – сумма произведений числа пораженных растений на соответствующую им степень поражения;
Ʃn – сумма пораженных растений или пораженных одинаковых органов в пробах, шт.
Для оценки степени поражения использовали условные шкалы [37, 38].
Интенсивность развития болезни выражали в процентах. Для перевода балловой оценки в процентную пользовались формулой [19]:
где Ʃ(nb) – сумма произведений числа пораженных растений на соответствующий им балл развития болезни;
Ʃn – сумма пораженных растений или одинаковых органов в пробах, шт.;
А – высший балл учетной шкалы.
Биологическую эффективность фунгицидов вычисляли по формуле [37]:
где У – показатель развития болезни в контроле;
у – показатель развития болезни на обработанном участке.
Лабораторные исследования выполнялись по общепринятым ГОСТ и следующим методам: состояние агроценозов и продуктивность культуры определяли по фенологическим фазам развития растений, натуру семян – по ГОСТ ПО42-80, урожайность пересчитывали на стандартную (14 %) влажность и 100 %-ную чистоту, структурe урожая оценивали методом индивидуального анализа растений в снопе [37]. Отбор растительных проб проводили в дни учета с анализом на соответствующих оборудованиях на базе Лаборатории биологических исследований в НАО «Торайгыров университет». Определение массы наземной части растений и корневой системы проводили путем взвешивания исследуемого материала на аналитических весах. Математическая обработка данных выполнена по Б.А. Доспехову [39]. Дисперсионный и корреляционный анализы экспериментальных данных проведены на IBMPC с использованием программы Excel.