Тема 5. Управление инновационными проектами и оценка уровня эффективности проектов


Результатами инновационной деятельности должны стать разработанные инновационные проекты.

Инновационный проект – представляет собой систему взаимообусловленных, взаимоувязанных мероприятий, направленных на достижение конкретных целей и задач на приоритетных направлениях развития науки и техники.

В разрезе отдела проекта мероприятия могут быть взаимоувязаны по ресурсам, срокам и исполнителям.

Существуют следующие виды инновационных проектов.

  1. В зависимости от уровня научно–технической значимости:
    • модернизационные – конструкция прототипа или базовая технология кардинально не меняются (установка нового двигателя в автомобиле);
    • новаторские – конструкция нового изделия по виду своих элементов существенным образом отличается от прежней;
    • опережающие – конструкция нового изделия основана на технических решениях, которые ранее нигде не применялись;
    • пионерные – создание ранее не существовавших материалов, конструкций, технологий, выполняя их как прежние, так и новые функции.
  2. В зависимости от масштабности решаемых задач:
    • монопроекты – выполняются только одной организацией или каким-либо подразделением;
    • мультипроекты – представлены в виде комплексных программ, в рамках которых объединены десятки монопроектов, направленных на достижение сложных инновационных целей;
    • мегапроекты – многоцелевые комплексные программы, объединяющие ряд мультипроектов и сотни монопроектов, связанных одним деревом целей.

Каждый проект независимо от сложности и объема работ, необходимых для его выполнения, проходит в своем развитии следующие этапы:

  1. «Прединвестиционная фаза проекта» – период времени с момента прединвестиционных исследовании и планирования проекта до разработки документации и подготовки проекта в реализации. Прединвестиционные исследования охватывают:
    • изучение прогнозов;
    • анализ условий для воплощения проекта;
    • предпроектное обоснование инвестиций;
    • выбор места осуществления проекта;
    • экологическое обоснование проекта.

    Разработка документации включает:

    • план проектно–изыскательных работ;
    • разработка технико–экономического обоснования ТЭО (бизнес–план);
    • утверждение ТЭО и его согласование;
    • выдача заданий на проектирование;
    • принятие окончательного решения об инвестировании.
  2. «Инвестиционная фаза проекта»:
  1. Проведение торгов и заключение контрактов:
    • договор на поставку оборудования;
    • договор на подрядческие работы
  2. Реализация проекта:
    • разработка плана;
    • графики выполнения работ;
    • мониторинг и контроль;
    • корректировка планов.
  3. Завершение проекта:
    • пусконаладочные работы;
    • запуск объекта;
    • эксплуатация, ремонт и развитие производства.

Для снижения риска инновационной деятельности в первую очередь необходимо провести оценку предполагаемого проекта. Инновационный проект, который эффективен для одного предприятия, может оказаться неэффективным для другого. Это связано с тем, что на каждом предприятии существуют факторы, которые влияют на эффективность проекта. На основе этих факторов, в соответствии с таблицей 6, составляются критерии оценки проектов.

Таблица 6 – Критерии оценки инновационного проекта

Критерии

Оценка

1

2

3

4

5

1

2

3

4

5

6

Цели, стратегия, политика и ценности предприятия

Оценки экспертов

Совместимость проекта с текущей стратегией

Согласованность проекта с представительскими потребностями о предприятии

Вероятность риска

Временной аспект риска

Маркетинг

Соответствие проекта потребителям рынка

Оценка общей емкости рынка

Оценка доли рынка

Вероятность коммерческого успеха

Возможный объем продаж

Оценка конкурентов

Согласованность проекта с существующими каналами сбыта

Общественное мнение о новом продукте

НИОКР

Соответствие проекта инновационной стратегии предприятия

Вероятность технического успеха

Стоимость и время разработки проектов

Отсутствие патентных нарушений

Оценки экспертов

Наличие научно-технических ресурсов

Возможность будущих разработок продукта на базе созданной технологии

Согласованность проекта с другими проектами в рамках предприятия

Наличие вредных воздействий продукта. Воздействие проекта на окружающую среду

Соответствие проекта действующему законодательству

Финансы

Стоимость НИОКР

Затраты на производство

Стоимость маркетинговых исследований

Наличие финансовых средств предприятия

Согласованность проекта с финансированием других проектов

Ожидаемая норма прибыли

Соответствие проекта критериям эффективности

Производство

Соответствие проекта численности и квалификации персонала

Согласованность проекта с производственными мощностями

Согласованность проекта с имеющимися материальными ресурсами

Затраты производства (себестоимость) продукции

Уровень безопасности производства

Виды эффективности инновационного проекта:

  1. Коммерческая или финансовая эффективность, учитывающая финансовые последствия реализации проекта для его непосредственных участников;
  2. Бюджетная эффективность – финансовые последствия для государственного и местного бюджетов;
  3. Народно–хозяйственная эффективность, учитывающая затраты и результаты, связанные с реализацией проекта, выходящие за пределы прямых финансовых интересов участников инвестиционного проекта и допускающие стоимостное измерение.

Использование комплексного и системного анализа позволяет выделить два взаимодополняющих подхода к оценке эффективности инновационных проектов: качественный и количественный. Качественный (целевой) подход ориентирован на оценку эффективности проекта с точки зрения его максимального соответствия поставленным темам. Как известно, система внутрифирменного целеполагания строится на выделении и ранжировании сначала общих, а затем специфических целей компании по их приоритетности. Если для достижения этих целей требуется проведение определенных инноваций, то из рассматриваемых альтернатив выбирается та, которая максимально приближает компанию (или отдельное подразделение) к достижению поставленной цели.

Таким образом, оценивается стратегическая эффективность нововведения в плане получения долгосрочных рыночных преимуществ. Данный метод основан на умении руководителя предвидеть прогнозировать будущие рыночные ситуации, определять факторы будущей конкурентоспособности компании, ставить достижимые цели и находить новые пути их достижения.

В силу ограниченности внутрифирменных ресурсов и необходимости изыскания финансовых средств для реализации инновационных проектов представляется целесообразным использование и количественных методов их эффективности.

Количественный или затратный, метод оценки инновационных проектов связан с рентабельностью и доходностью проекта. Здесь возможно использование трех типов оценок: абсолютная доходность проекта, абсолютно сравнительная доходность и сравнительная.

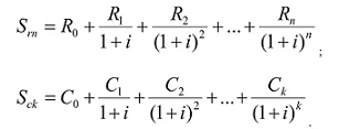
Если оценивается сумма дохода, которая может быть получена инвестором при реализации проекта, то речь идет об абсолютной оценке доходности проекта.

Если инвестор сравнивает возможную сумму абсолютного дохода с нормативом, то он использует абсолютно–сравнительную оценку доходности проекта. Предприниматель может взять для себя самостоятельные нормативы, а может взять общепринятый в практике данного бизнеса норматив.

Возможна ситуация, при которой сравнивается проект не с нормативом, а с альтернативными вариантами проектов, прошедших отбор по нормативу, – сравнительная оценка доходности проекта.

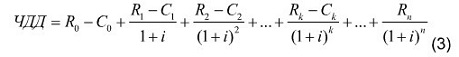
Величина чистого дисконтированного дохода показывает, какова в настоящий момент стоимость средств, ожидаемых в будущем в качестве дохода от реализации данного инвестиционного проекта. При этом учитываются и затраты, которые совершаются до начала реализации проекта. Рассчитывая этот показатель, все затраты и доходы по анализируемому проекту приводятся (путем дисконтирования) к одному моменту времени (началу реализации проекта), после чего находится разница между ними.

  1. коэффициент привидения представляет собой следующий вид
  2. где, r – банковский процент или ставка рефинансирования

           t – количество лет в течение которого осуществляется проект

    Данный показатель рассчитывается, когда базовые денежные потоки необходимо привести к плановым.

  3. коэффициент дисконтирования:

Данный показатель применяется, когда будущие денежные потоки необходимо привести к базовому периоду. Коэффициент дисконтирования позволяет оценивать не бухгалтерскую экономическую эффективность (прибыль, которая числится на балансе предприятия), а реальный экономический эффект.

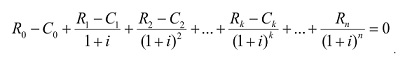
Величина чистого дисконтированного дохода ЧДД определяется по следующей формуле:

где  R – размеры доходов по годам (расчетным периодам) реализации проекта;

       C – размеры затрат на осуществление проекта по годам (расчетным периодам);

       I – ставка процента для дисконтирования, выраженная в долях единицы (например, 9% - 0,09 );

       k – год (расчетный период) окончания финансирования проекта;

       n – год (расчетный период) окончания получения доходов по проекту.

Данная формула приведена для случая использования единого дисконтирующего множителя, то есть предполагается, что процентная ставка дисконтирования в каждом расчетном периоде оставалась неизменной. При переменной процентной ставке дисконтирования по годам (расчетным периодам) реализации проекта расчетная формула несколько усложняется:

Если в результате расчета величина чистого дисконтированного дохода получается больше нуля, то проект считается доходным и доходы от его реализации будут тем выше, чем больше значение ЧДД. В случае, если ЧДД равен нулю, то нулю будет равен и ожидаемый инвестором доход. Если ЧДД меньше нуля, то следует ожидать, что инвестор понесет убытки, причем, тем большие, чем больше будет отрицательная величина данного показателя

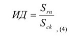
Индекс доходности (ИД) инвестиционного проекта представляет собой отношение суммы приведенных доходов к сумме приведенных затрат на реализацию анализируемого проекта:

где   – сумма приведенных доходов от инвестиционного проекта;

      – сумма приведенных затрат по инвестиционному проекту.

Следует подчеркнуть, что в расчете индекса доходности используются не отдельно взятые значения доходов и затрат по отдельным расчетным периодам, а полные суммы доходов и затрат за весь период реализации проекта, приведенные к одному сроку (времени начала реализации проекта):

Очевидно, что индекс доходности ИД конкретного проекта тесно связан с величиной его чистого дисконтированного дохода ЧДД. Он рассчитывается по тем же элементам. Если ЧДД положителен, то ИД > 1 и наоборот. Если ИД > 1, проект эффективен, а если ИД < 1 – не эффективен. В отличие от чистого дисконтированного дохода (абсолютного показателя экономической эффективности, исчисляемого в тенге) индекс доходности – относительный показатель, характеризующий уровень дохода на единицу затрат. Чем больше расчетное значение этого показателя, тем выше отдача от каждого тенге, вложенного в данный проект.

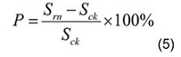
Рентабельность проекта (Р) характеризует его прибыльность и выражается в процентах. Этот показатель также тесно связан с вышеназванными показателями, используемыми для экономической оценки эффективности инвестиций. Его можно рассчитать по формуле:

Очевидно, что чем выше процент рентабельности проекта, тем он привлекательнее для инвестора.

Внутренняя норма доходности (ВНД) представляет собой норму дисконта (%), при которой сумма приведенных доходов равна сумме приведенных затрат:

Это такая норма дисконта, при которой интегральный эффект проекта (чистый дисконтированный доход) становится равным нулю:

Можно сказать, что величина внутренней нормы доходности характеризует как бы внутреннюю «жизнеспособность» проекта и показывает, какую «нагрузку» от увеличения ставки дисконтирования он может выдержать до полной потери своей доходности. Очевидно, что разные инвестиционные/инновационные проекты имеют разный такого рода «запас прочности», а наиболее предпочтительным будет тот, которому соответствует максимальная норма дисконта.

Принято считать, что величина внутренней норы доходности отражает:

  • меру экономической неравноценности разновременных затрат и доходов по анализируемому инновационному проекту;
  • конъюнктуру финансового рынка, наличие альтернативных инвестиционных и инновационных возможностей;
  • степень риска, связанного с участием в реализации рассматриваемого проекта.

Вопросы по пятой теме

  1. Модель оценки инновационных проектов. Оценка уровня технологии. Эффективность технологии.
  2. Методика расчета экономической эффективности инновационной технологии. Эффективность инноваций и инвестиций. Факторы – инвестиционной привлекательности. Отраслевая инвестиционная привлекательность. Внутрикорпоративная инвестиционная привлекательность.
  3. Критерии инвестиционной привлекательности (Цена собственного капитала, цена привлеченного капитала, цена капитала). Норма прибыли при финансировании инновационных технологии.
  4. Обоснование экономической эффективности инновационного проекта.