ТЕМА 8


Государственное регулирование занятости и социальной защиты населения


8.1 Экономическая сущность безработицы

8.2 Методы государственного регулирования занятости и рынка труда

8.3 Основные направления социальной политики государства

8.4 Особенности государственного регулирования социальной сферы


8.1 Экономическая сущность безработицы


Безработица определяется как контингент лиц старше определенного возраста, не имеющих работы, пригодных в настоящее время к работе и ищущих ее в данный период. Безработица возникает по разным причинам, в зависимости от которых ее можно разделить на несколько групп:

  • вызванную избытком народонаселения (мальтузианство);
  • обусловленную ростом органического строения капитала (марксизм);
  • связанную с нежеланием работать за низкую заработную плату (неоклассики);
  • обусловленную недостаточностью совокупного спроса (кейнсианцы).

В современных условиях для объяснения безработицы чаще всего используется кейнсианская модель безработицы. В неоклассической модели безработица определяется через функцию спроса на рабочую силу и функцию ее предложения, где в качестве цены труда выступает реальная заработная плата. Модель показывает, что все желающие работать могут найти работу при сложившейся на рынке ставке заработной платы. А это значит, что механизм рыночной экономики способен использовать все трудовые ресурсы и обеспечить полную занятость, но лишь при рыночном уровне заработной платы. В неоклассической модели безработица носит сугубо добровольный характер, поскольку означает сознательный отказ работников от продажи труда за низкую заработную плату.

В кейнсианской модели безработица выглядит как форма макроэкономической нестабильности и непосредственно вытекает из нехватки совокупного спроса на товары и услуги, вследствие чего фирмы сокращают спрос на рабочую силу (и другие факторы производства). В кейнсианской модели уровень занятости зависит не столько от работников, сколько от предпринимателей, предъявляющих спрос на труд, который определяется не ценой труда, а величиной эффективного спроса на товары и услуги. Исходя из этого, кейнсианцы делают вывод о вынужденном (недобровольном) характере безработицы в рыночном хозяйстве.

Различают следующие виды безработицы:

- фрикционная (связана с поисками и ожиданиями работы)

- структурная (связана с технологическими сдвигами в производстве)

- циклическая (связана с колебаниями в экономической конъюнктуре)

Сочетание фрикционной и структурной безработицы образуют естественный уровень безработицы. Естественная безработица характеризует наилучший для экономики резерв рабочей силы, способный достаточно быстро совершать межотраслевые и межрегиональные перемещения в зависимости от потребностей производства.

Уровень безработицы (u) представляет собой процентное отношение численности безработных (U) к численности рабочей силы

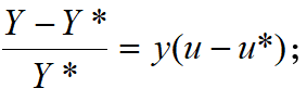
Разность между фактической и естественной безработицей образуют циклическую (конъюнктурную) безработицу. Рост циклической безработицы ведет к экономическим потерям в обществе, которые измеряются методом, предложенным А. Оукеном. На основе эмпирических исследований он обнаружил устойчивую связь между величиной циклической безработицы и разрывом ВВП.

где, Y- фактический объем производства; Y*- потенциальный ВВП; u- фактический уровень безработицы; u*- естественный уровень безработицы; y- число Оукена.

Смысл этой формулы выражает закон Оукена - если циклическая безработица увеличивается на 1%, то фактический ВНП отстает от потенциального на y%. Параметр Оукена различен для разных стран.

Инфляция. Кривая Филлипса.

Инфляция - долговременный процесс снижения покупательной способности денег. Различают открытую и скрытую (подавленную) инфляцию. Открытая инфляция проявляется в продолжительном росте уровня цен, скрытую- в условиях жесткого государственного контроля за ними.

В зависимости от темпов роста, открытая инфляция может протекать с разной скоростью. В связи с этим различают:

- ползучую (рост цен составляет 3-4% в год)

- галопирующую (рост цен составляет до 200% в год)

- гиперинфляция (рост цен составляет более 200% в год или более 50% в месяц (критерий Ф.Кейгана)

Открытая инфляция может принимать формы инфляции спроса и инфляции издержек. Инфляция спроса порождается избытком совокупного спроса над совокупным предложением, а инфляция издержек - ростом цен на факторы производства.

Инфляция издержек обусловлена следующими факторами:

  • увеличением заработной платы, опережающим рост производительности труда
  • шоками предложения- внешними событиями, не зависящими от изменения совокупного спроса (резкое повышение цен на сырье, энергию, топливо, аренду и т.д.)
  • «ценовой накидкой», используемой олигополистическими предприятиями и профсоюзами, когда профсоюзы требуют сегодня завтрашней заработной платы, а фирмы добавляют свой процент к продукции.

У. Филипс установил, что существует обратная эмпирическая связь темпов изменения номинальной заработной платы и уровня безработицы. Увеличение занятости и снижение безработицы сопровождается ростом инфляции. Снижение уровня инфляции может быть достигнуто путем ограничения занятости и увеличения безработицы. Это означает, что в краткосрочном периоде между уровнями инфляции и безработицы обнаруживается обратная зависимость, определяемая как кривая Филлипса.

Кривая Филлипса показывает, что при повышении спроса на рабочую силу и снижения безработицы, уровень цен в экономике повышается. Таким образом, она дает упрощенную однофакторную модель инфляции, определяя ее как функцию безработицы. Кривая показывает, что безработица ограничивает возможности роста заработной платы, а, следовательно, издержек, которые влияют на уровень цен.


8.2 Методы государственного регулирования занятости и рынка труда


Многолетний зарубежный опыт стран с развитой рыночной экономикой показывает, что механизм саморегулирования не способен решить проблемы рынка труда и развития человека. Для выработки стратегии развития человеческих ресурсов необходимо государственное вмешательство.

Механизм государственного регулирования занятости и рынка труда, общий для стран рыночной экономики, включает три группы методов:

  • экономические методы: льготное кредитование и налогообложение, бюджетная политика с целью стимулирования предпринимателей сохранять и создавать рабочие места, осуществлять профессиональное обучение кадров и т.п.;
  • организационные методы: создание службы занятости и трудоустройства, информационной системы, государственной системы профориентации, подготовки и переподготовки кадров;
  • административно-законодательные методы: регламентация порядка заключения трудовых договоров, продолжительности рабочего времени, сверхурочных работ, введение обязательных отчислений предпринимателей в национальные фонды по обеспечению занятости, определение квот на трудоустройство, регулирование периода трудовой жизни, определение минимальной почасовой ставки оплаты труда и др.

Законодательные меры должны предусматривать такие ограничения социального расслоения общества, особенно в переходный период. При этом важно обеспечить оптимальное сочетание в государственном регулировании косвенного и прямого влияния.

Меры косвенного влияния направлены на изменение условий хозяйствования, предполагают использование макроэкономических рычагов, охватывают широкие слои населения, воздействуют, как правило, на условия регулирования спроса на труд.

Меры прямого, непосредственного влияния осуществляются посредством государственных программ, направленных на отдельные, специфические точки рынка труда, т.е. имеют селективную направленность, воздействуют в основном на динамику предложения труда.

Меры государственной политики могут быть дифференцированы также следующим образом:

- пассивная политика занятости, сводящаяся в основном к содействию в заполнении вакантных мест и выплате пособий по безработице в пределах, ограниченных финансовыми возможностями органов занятости;

- активная политика занятости, осуществляемая с помощью инвестиционной, финансовой, кредитной, налоговой политики, направленная на предотвращение массовой безработицы.

Одним из наиболее важных путей воздействия на состояние занятости является всестороннее развитие масштабов переподготовки высвобождаемой рабочей силы, соответствующей структуре высвобождаемых рабочих мест. Стратегия эффективной занятости должна строиться не только и не столько на превентивных мерах по сдерживанию социально-опасного уровня безработицы, сколько на проведении активной политики на рынке труда. В числе этих мер – повышение профессионально-квалификационного уровня рабочей силы, стимулирование трудовой и предпринимательской активности, развитие малого и среднего бизнеса и т.д. Немаловажную роль играет также эффективная оплата труда, стимулирующая трудовую мотивацию. В связи с этим регулирование занятости требует немалых затрат.

Конкретными методами перспективных прогнозных обоснований занятости и рынка труда являются программно-целевой метод, нормативный метод, балансовый метод.

Программно-целевой метод

Его функции в условиях отсутствия директивного государственного плана меняются. Программный подход становится все более всеобъемлющим. Программы занятости как механизм реализации государственной политики разрабатываются и реализуются на разных уровнях.

Следует отметить, что особую актуальность при разработке данного метода приобретает выработка региональных программ занятости, программ занятости разных демографических групп населения.

Нормативный метод

Он применяется для обоснования потребности в рабочей силе в сфере услуг. В рыночной экономике особенно необходимо обоснование социальных нормативов. К таким нормативам относятся допустимый уровень безработицы, минимальные социальные нормативы, обеспечивающие социальную защищенность, минимальные стандарты уровня жизни и социального развития.

Балансовый метод

Сводный баланс трудовых ресурсов характеризует наиболее общие пропорции в соотношении трудовых ресурсов и их распределении.

Важным балансом, который дополняет сводный баланс трудовых ресурсов, но вместе с тем и позволяет отразить другие аспекты сбалансированности, является баланс рабочих мест. Его назначение – согласовать на уровне территориальной организации хозяйства инвестиционные программы предприятий всех форм собственности с трудовыми ресурсами региона. Он показывает степень сбалансированности рабочих мест и работающих, численность персонала, требующегося для укомплектования рабочих мест с нормативным коэффициентом сменности, размер высвобождения рабочей силы. На его основе и используя показатель стоимости рабочего места, можно прогнозировать объем капитальных вложений и его воспроизводственную структуру. Баланс рабочих мест должен стать основным инструментом прогноза численности и структуры занятости на региональном уровне.

Опыт государственного регулирования рынка труда показывает, что нет общих, постоянно действующих механизмов регулирования. Они различаются в зависимости от уровня социально-экономического и политического развития той или иной страны, культурных традиций, особенностей формирования рынка труда, роли государства и т.д.

США. Данная модель характеризуется наибольшей степенью децентрализации. Каждый штат имеет свое законодательство в этой области и свой фонд страхования по безработице. Американские компании достаточно легко проводят сокращение персонала. не особенно заботясь о поиске альтернативных решений. Противовесом такой практике служит высокая профессиональная и региональная мобильность рабочей силы.

Швеция. Отличительная черта - активная политика государства на рынке труда. Она носит превентивный характер, предупреждающий появление безработицы и предусматривающий систему мер по созданию новых рабочих мест. Главное внимание уделяется профессиональной ориентации временно незанятого населения, его переквалификации. Одновременно жестко регламентируется порядок найма на работу, основания и процедура увольнения, условия труда и т.д. В инфраструктуру рынка труда входят Министерство труда, Управление рынка труда, 24 губернских комитета труда и более 300 бюро по трудоустройству.

Япония. Система трудовых отношений базируется здесь на принципе так называемой "пожизненного найма", который гарантирует работниками занятость до выхода на пенсию. При возникновении экономических трудностей фирмы крайне редко прибегают к увольнениям. Политика "пожизненного найма" приходит в определенное противоречие с интересами ряда групп высокообразованных работников, стремящихся к более динамичной профессиональной карьере. Хотя данная модель занятости и сохранится в обозримом будущем, сфера ее применения будет постепенно сужаться.


8.3 Основные направления социальной политики государства


В социальной сфере господствующее положение занимает государственный сектор, масштабы которого определяют и масштабы социальной политики. Расширенная социальная политика означает общедоступность социальных программ, универсальность социальных выплат, всеобъемлющий характер перераспределительной деятельности государства. Ограничительная социальная политика означает сведение ее к минимуму, к функции дополнять традиционные институты социальной сферы.

Качество жизни – сложная и предельно широкая категория. Она является предметом исследования экономистов, социологов, политологов, философов и др. Это вполне естественно, ибо изучение такого многокомпонентного явления требует совместных усилий и разностороннего подхода к осмыслению того, что происходит в сфере жизнедеятельности человека: занятость, безработица, потребление, охрана здоровья и окружающей среды, бедность, пенсионное обеспечение и т.д. Ведущее место в общем круге проблем качества жизни занимают экономические компоненты. Гэлбрейт Дж., выдвинувший теорию качества жизни считал, что жизнедеятельность человека не может быть оценена только потреблением и тем более получаемыми номинальными доходами. Таким образом, качество жизни – определенное сочетание экономических социальных, природно-экологических и других условий жизнедеятельности человека, оказывающих существенное воздействие на благосостояние населения и социальное самочувствие индивидов.

В мировой науке сложились две модели качества жизни:

1.объективистская определяет качество жизни как результат комбинации различных объективных статистических показателей – имущественное положение, доходы, индексы потребления, уровень безработицы и т.д.

2.психологическая (субъективистская) исходит из того, что истинное значение качества жизни отражено в субъективных ощущениях индивидов.

Взаимосвязь между объективными параметрами и субъективными оценками не столь явная и прямая. К примеру, часто хорошее объективное качество совмещается с негативной её оценкой, и наоборот.

В экономических исследованиях качества жизни основное внимание уделяется объективным параметрам (доходы, потребление, безработица) и функционированию экономических институтов, ответственных за производство и распределение ресурсов потребления. В 1971 году Дж. Форрестер предложил измерять качество жизни по пяти параметрам:

- численность населения;

- количество накопленного капитала;

- доля капитала в сельском хозяйстве;

- количество имеющихся природных ресурсов;

- загрязнение среды обитания.

В настоящее время существует значительное количество систем показателей оценки качества жизни:

  1. индекс Д. Джонстона, представляющий собой «цепочный индекс», состоящий из последовательного измерения изменений основных объективных индикаторов развития общества, выраженных в процентах.
  2. индекс человеческого развития (ИЧР) измеряет с равными весами уровень трех основных компонентов развития человеческого потенциала:
  3. продолжительной и здоровой жизни оценивается степенью приближения продолжительности жизни к 85 годам (доживание до 85 лет оценивается индексом 1, средняя продолжительность жизни в 25 лет оценивается индексом 0);
  4. приобретение знаний оценивается показателем грамотности населения, взятого с весом 2/3, и показателем совокупного коэффициента обучающихся в учебных заведениях начальной, средней, высшей ступени образования в возрасте до 24 лет включительно, взятого с весом 1/3. Максимально возможные значения этих показателей в 100% дают индекс 1, а минимально возможные - 0%;
  5. реальный ВВП на душу населения определяется отношением величины ВВП на душу населения к некоторой пороговой величине, принятой за базу сравнения.

В соответствии с методологией ПРООН (Программа развития ООН) страны, имеющие ИЧР равный 0,8 относятся к государствам с высоким уровнем развития человеческого потенциала; от 0,5 до 0,8 – со средним; ниже 0,5 – с низким уровнем. ИЧР больше характеризует не качество, а потенциал человеческого развития. Достоинством индекса являются простота исчисления и универсальность. Недостаток заключается в чрезвычайно высоком уровне абстрагирования и неизбежные вследствие этого ошибки измерения при изучении качества жизни. Трудно, например, ответить, что положительнее сказывается на качестве жизни населения: 1% прироста ВВП или 1% прироста грамотности населения? Поэтому ИЧР может быть использован для сравнения качества жизни в глобальном масштабе.

Основные направления социальной политики государства:

Во-первых, повышение уровня жизни населения. Под уровнем жизни понимается обеспеченность населения необходимыми материальными благами и услугами, достигнутый уровень их потребления и степень удовлетворения разумных (рациональных) потребностей. Денежная оценка благ и услуг, потребляемых в среднем домашними хозяйствами, представляет собой стоимость жизни. Важнейшими составляющими уровня жизни являются доходы населения и соцобеспечение. ООН разработана система показателей уровня жизни: рождаемость, смертность, санитарно-гигиенические условия жизни, потребление продовольственных товаров, жилищные условия, занятость, образование, культура, отдых, транспортные средства, свобода человека (правовая защита).

Во-вторых, формирование эффективной системы социальной защиты. Беднейшие слои населения, к которым относятся, как правило, те, кто уже или еще не в состоянии самостоятельно обеспечить минимальный уровень жизнедеятельности – больные, инвалиды, старики, многодетные семьи, и нуждаются в первую очередь в социальной защите со стороны государства. В стране создаются фонды жилья, функционируют бесплатные государственные школы, студенты из малообеспеченных семей, к примеру, получают стипендии, скидки по оплате обучения, предоставление нуждающимся льготного медицинского обслуживания и т.д. Разрабатываются программы социальной защиты инвалидов, адаптации военнослужащих и др.

В-третьих, социальная политика государства обязательно включает такое направление, как трудовые отношения и занятость населения. Государство должно гарантировать равноправие субъектов на рынке труда, свободный выбор профессии, сферы и места приложения труда. Для этого существует общедоступная система получения среднего, специального и высшего образования, законодательно регламентируются социально допустимые условия труда, уровень минимальной оплаты труда, продолжительность рабочей недели, отпуска, определяются права работников при найме и увольнении.

В-четвертых, совершенствование пенсионной системы.
Пенсионное обеспечение в Республике Казахстан занимает ведущее место в системе социальной защиты населения. Пенсионная система в Казахстане претерпела значительные изменения в 1994 г., когда Пенсионный фонд согласно закону "Об уточненном республиканском бюджете на 1994 год" был выведен из его состава и передан в непосредственное ведение Министерства труда и социальной защиты населения. Это усилило заинтересованность местных органов власти в сборе средств для пенсионного обеспечения однако экономическая ситуация в республике в последние годы отразилась и на аккумулировании и использовании средств фонда. Одним из элементов организации социальной защиты граждан является негосударственное пенсионное обеспечение. Однако без фундаментальной теоретической проработки проблем негосударственного пенсионного обеспечения невозможно создать качественные нормативно-правовую базу и механизм пенсионного обеспечения.


8.4 Особенности государственного регулирования социальной сферы


В странах с рыночной экономикой используется смешанная система социальной защиты, позволяющая сочетать преимущества солидарной и персонифицированной систем, которая традиционно включает следующие компоненты:

  1. государственные пособия - социальные трансферты, выплачиваемые всем гражданам в случае наступления неблагоприятных обстоятельств, подлежащих социальной защите;
  2. обязательное социальное страхование, финансируемое за счет взносов работников и работодателей, которые в случае наступления социальных рисков получают право на социальную помощь в пределах размеров отчислений;
  3. добровольное социальное страхование;
  4. накопительное пенсионное обеспечение - система, предназначенная для самостоятельного пенсионного обеспечения граждан;
  5. социальная помощь - система, предназначенная для предоставления дополнительной защиты определенным категориям населения за счет бюджетных средств.

Система социальной защиты предполагает обеспечение минимальных жизненных стандартов для всех членов того или иного общества. Теоретическое обоснование такого подхода впервые изложено Джоном Роулзом. Согласно ученому, поскольку каждый гражданин не способен с уверенностью предсказать свое будущее, страхование от бедности или потери источника дохода может оказаться весьма эффективным. В масштабе общества такое страхование может принять формы заботы о его наименее обеспеченных членах: отдавая часть своих текущих доходов на эти цели, каждый гражданин как бы страхует себя от неблагоприятного стечения обстоятельств в будущем.

В соответствии с критерием Роулза благосостояние общества в целом определяется уровнем благосостояния самых бедных его слоев. Однако политика, нацеленная на возрастающее равенство, может рассматриваться как слишком дорогое общественное благо (или как потеря эффективности), которое могут позволить себе только состоятельные общества. Здесь, как нигде, важно соблюдение принципа разумной достаточности.

В теории и на практике социальная защита чаще всего рассматривается в узком смысле как социальная политика государства, стремящегося обеспечить приемлемое (сносное) существование так называемым маргинальным слоям населения, находящимся в особо сложном положении и не способным без внешней поддержки улучшить свою жизнедеятельность (старики, сироты, безработные и проч.).

В широком понимании механизм социальной защиты маргинальных (социально уязвимых) слоев населения является лишь частью и не охватывает целого, т.е. всей системы социальной защиты. Его (механизм социальной защиты маргинальных групп) можно охарактеризовать как социальное вспомоществование или социальную помощь (последний термин более удобно произносим, но менее точен). Социальная же защита, кроме того, включает в себя защиту доходов и заработной платы, совершенствование распределительных отношений и др.

В системе социальной защиты населения выделяются следующие уровни:

- социальная защита со стороны государства и муниципальных органов управления;

- социальная защита со стороны работодателей, администрации фирм, предприятий;

- социальная защита со стороны профсоюзов, различного рода неправительственных организаций и трудовых коллективов;

- семейная защита и самозащита.

По объекту формами социальной защиты могут быть:

- социальная защита детства;

- социальная защита малообеспеченных семей и граждан;

- социальная защита женщин и многодетных матерей;

- социальная защита безработных;

- социальная защита лиц пенсионного возраста;

- социальная защита больных и инвалидов;

- поддержка социальных отраслей: здравоохранения и образования.

Ни одна, даже самая совершенная система страхования, не может предусмотреть все случаи социального риска, вследствие которых человек (или семья) может попасть в сложное положение. Поэтому социальная помощь как составная часть социальной защиты ориентируется на индивидуальную нуждаемость людей и предоставляется в случае невозможности для получателя выйти из бедственного положения за счет собственных доходов. Поскольку источником финансирования социальной помощи является бюджет, масштабы ее определяются финансовым положением того или иного государства.

К наиболее общим принципам социальной защиты относятся:

- социальная ответственность общества и государства за обеспечение приемлемых условий жизнедеятельности всех слоев населения;

- осуществление в необходимых случаях медицинской, социальной и профессиональной реабилитации ;

- всеобщий и обязательный характер защиты работающего населения от социальных и профессиональных рисков;

- расширение сферы применения системы социальной защиты ко все большей части населения.

Правовая база национальных систем социальной защиты индустриальных стран опирается на общепризнанные международные нормы и стандарты в области прав человека (Всеобщая декларация прав человека. Международный пакт об экономических, социальных и культурных правах. Конвенция о ликвидации всех форм дискриминации в отношении женщин, Конвенция о правах ребенка, Стандартные правила обеспечения равных возможностей для инвалидов и др.).

Все многообразие систем социальной защиты в разных странах можно свести к двум принципиально разнящимся схемам: американской и западноевропейской. В первом случае социальные расходы в основном связываются с социальным вспомоществованием, т.е. с помощью бедным (20% населения). Социальные государства стран западной демократии не ограничиваются выделением пособий только узкой группе населения, находящегося в бедственном положении, а представляют гражданам более широкий набор социальных трансфертов, ибо идеи общества всеобщего благосостояния требуют достижения известного равенства между людьми, единства государственной принадлежности и др.

Например, во Франции 45% взрослого населения получает дополнительный доход из системы социального обеспечения: 60% семей с двумя и более детьми выдаются пособия к началу учебного года и половине семей среднего класса - субсидии на оплату жилья. В 90-х годах отчетливо проявился кризис высоких социальных расходов. Они стали оказывать депрессивное развитие на темпы экономического роста и социальную жизнь ряда западноевропейских стран. В общественном сознании все более закрепляется идея социально несправедливой «эксплуатации» среднего класса.

В ряде случаев доходы типичной средней трудовой семьи, оставшиеся после уплаты налогов, сравнялись с доходами неработающей семьи, живущей на получаемые социальные трансферты, что, естественно, вызывает возмущение средних слоев общества - основных налогоплательщиков. Поэтому в большинстве западноевропейских стран в настоящее время перешли к селективному (адресному) принципу оказания социальной поддержки, размер которой меняется в зависимости от доходов или общего уровня обеспеченности.

При формировании социальной политики необходимо учитывать так называемый феномен социального иждивенчества, под которым понимаются неосознанные ориентации человека рассчитывать не на собственные силы, а на поддержку общества. Он перестает действовать как свободный и сознательный субъект, т.е. деиндивидуализируется и превращается в пассивный объект. Это основное негативное социальное следствие предоставления чрезмерных гарантий.

Особенности государственного регулирования социальной сферы в Республике Казахстан

При переходе Республики Казахстан к рыночной экономике происходящие в ней процессы суверенизации, создания в регионах и на местах аппарата управления с широкими полномочиями, функционирования предприятий различных видов собственности требуют новых подходов к проведению социальной политики.

Законодательные акты, другие нормативные документы, принимаемые органами власти в республике, регулируют процессы, происходящие в социальной сфере.

Важнейшими рычагами государственного регулирования социальных процессов являются законы Республики Казахстан, Указы Президента республики, постановления Правительства Казахстана, ведомственные инструкции, положения, рекомендации.

Важнейшими приоритетами социальной политики в среднесрочной перспективе являются:

1) содействие расширению фронта занятости, сохранению перспективных рабочих мест и сокращению безработицы, а также активизация потребительского и инвестиционного спроса, оживление производства;

2) становление эффективного рынка труда, преодоление неоправданно заниженной цены труда, повышение ее уровня по мере роста национальной экономики;

3) повышение уровня жизни, сокращение имущественного расслоения населения, формирование системы и уровней социальных гарантий (оплата труда, пенсии, пособия, стипендии, медобслуживание);

4) восстановление, развитие и повышение эффективности функционирования отраслей социальной сферы.


Вопросы для самоконтроля знаний

  1. Понятие рынка труда, его сущностная особенность.
  2. Назовите основные элементы рынка труда, дайте их характеристику.
  3. Государство как субъект рынка труда и как орган, регулирующий отношения на рынке труда.
  4. Естественная норма безработицы и фактический уровень безработицы, их соотношение.
  5. Анализ состояния рынка труда, его составляющие, абсолютные и относительные показатели безработицы.
  6. Баланс спроса и предложения рабочей силы, уровень оплаты труда.
  7. Прямые и косвенные методы регулирования рынка труда.