Задача № 21


Инвестор желает приобрести на вторичном рынке ценных бумаг облигацию номинальной стоимостью 1000n тенге со сроком погашения 3 года и ежегодным доходом, в соответствии с различными купонными ставками по годам обращения:

1-й год - 10 + 0,1n %;

2-й год - 12 + 0,1n %;

3-й год - 15 + 0,1n %.

Исходя из предположения стабильности ставки банковского процента по депозиту в течение всего срока обращения данной облигации (10 + 0,1n % годовых), рассчитать курсовую стоимость данной ценной бумаги.

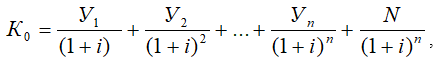
В данном случае курсовая (рыночная) стоимость ценных бумаг, с учетом доходности альтернативного вложения в банковский депозит, может быть определена по формуле:

(5.22)

где У - годовой доход по ценной бумаге для разных лет, тенге;

i - ставка банковского процента по депозиту (в долях единицы);

N - сумма, возвращаемая инвестору (например, номинальная стоимость облигации с купонами), тенге;

n - количество лет владения ценной бумагой (срок погашения).