Задача № 22


С целью принятия обоснованного решения о целесообразности вложения средств в инвестиционный проект определить величину чистого приведенного дохода (ЧДД) от реализации рассматриваемого проекта, если известно, что срок его осуществления равен 3-м годам, объем необходимых инвестиций в начальный период (С0) составляет 300 тыс. х n тенге, в первом году (С1) - 100 тыс. х n тенге. Доходы, ожидаемые по истечении 2-го и 3-го годов реализации проекта соответственно составят: R2 = 200 тыс. х n тенге и R3 = 600 тыс. х n тенге. Причем, ввиду нестабильности экономической ситуации в современных условиях, следует иметь в виду, что процентная ставка по банковскому депозиту i1, учитываемая в расчетах в долях единицы, может меняться. Ожидается, что в течение трех лет реализации инвестиционного проекта, эта ставка может быть равна:

- для 1-го года (i1) - 15 + 0,1n % годовых;

- для 2-го года (i2) - 10 + 0,1n % годовых;

- для 3-го года (i3) - 5 + 0,1n % годовых.

Для более полной оценки эффективности вложения средств в анализируемый инвестиционный проект определить срок его окупаемости и рентабельность.

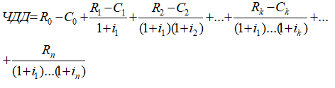
Расчет чистого приведенного дохода (ЧДД) показывает, какова в настоящий момент стоимость средств, ожидаемых в будущем в качестве дохода от реализации данного инвестиционного проекта. При этом, с учетом переменной величины дисконтирующего множителя (процентной ставки безопасного альтернативного вложения денег в банковский депозит), расчетная формула несколько усложняется:

(5.23)

Если в результате расчета величина чистого приведенного дохода (ЧДД) получается больше нуля, то проект считается доходным и доходность его тем выше, чем больше значение ЧДД. В случае, если ЧДД равен нулю, то нулю будет равен и ожидаемый инвестором доход, а если ЧДД меньше нуля, то следует ожидать, что инвестор понесет убытки, причем, тем большие, чем больше будет отрицательная величина данного показателя.

Вторым основным показателем, характеризующим инвестиционный проект, является срок его окупаемости. Этот показатель представляет собой определенное количество времени, в течение которого совокупный приведенный доход достигнет или превысит сумму совокупных приведенных затрат.

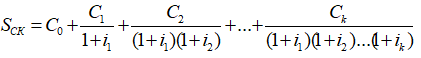
Для упрощенного подсчета срока окупаемости инвестиционного проекта требуется для каждого периода времени (года) суммировать приведенные затраты Sc и приведенные доходы Sr. Период времени (год), в который сумма приведенных доходов достигла или превысила сумму приведенных затрат, считается сроком окупаемости проекта.

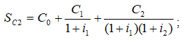
Расчет приведенных затрат Sc для разных лет работы инвестиционного проекта осуществляется по формулам:

(5.24)
(5.25)
(5.26)

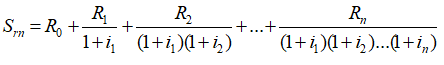
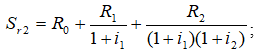
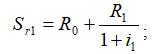
Аналогичным образом осуществляем расчет величин приведенных доходов Sr:

(5.27)
(5.28)
(5.29)

Последовательное сравнение результатов расчета Sc1 и Sr1, Sc2 и Sr2 и т. д. позволяет определить срок (год) окупаемости инвестиционного проекта.

Третьим важнейшим показателем эффективности инвестиционного проекта является его рентабельность, характеризующаяся отношением прибыли к затратам.

Необходимо отметить, что в расчете рентабельности инвестиционного проекта участвуют не отдельно взятые значения дохода и расхода в определенный момент времени, а суммы доходов Srn и расходов Sck, приведенные к одному сроку.

Итак, рентабельность инвестиционного проекта определяется по формуле:

(5.30)

Показатель рентабельности инвестиционного проекта выражается в процентах. Чем выше данный показатель, тем более эффективен проект.

Для проведения семинарских занятий предлагается определенная тематика рефератов. Подготовленные рефераты докладываются и обсуждаются на практических занятиях. Далее они могут быть рекомендованы для участия в научных конференциях или опубликования на страницах специальных периодических изданий.