Лекция 5


5 Выбор способа получения ферросплавов

По виду применяемого восстановителя все ферросплавные процессы подразделяются на углеродотермический и металлотермический (силикотермический и алюминотермический) [1, 7, 8].

При углеродотермическом процессе (УТП) оксиды ведущего элемента ферросплава восстанавливаются из руды твердым углеродом. В общем ви­де процесс восстановления оксидов углеродом может быть описан реакци­ей:

МеО + (1 + х) С = МеСх + СО — Qc 

Реакция относится к числу сильно эндотермических, т.е. требует подвода тепла извне. Поэтому углеродотермический процесс осуществляется в мощных рудовосстановительных дуговых электропечах. Углерод является универсальным восстановителем, поскольку в отличие от других оксидов прочность оксида углерода возрастает с повышением температуры. Это обеспечивает степень извлечения ведущего элемента, близкую к 100 %, и малую кратность шлака. Образующийся газ СО постоянно удаляется из зоны реакции, что обусловливает непрерывный характер процесса, предусматривающий постоянную загрузку в печь шихтовых материалов с пе­риодическим выпуском металла и шлака по мере их накопления. Непре­рывный характер процесса обеспечивает его высокую производительность. Выделяющийся газ обладает значительной теплотворной способностью, поэтому после очистки от пыли его необходимо утилизировать.

Важной особенностью УТП является повышенное содержание угле­рода в готовом сплаве, вызванное образованием карбидов ведущего эле­мента. Лишь при получении кремнистых сплавов карбиды разрушаются более прочными силицидами, что обеспечивает относительно низкое со­держание углерода в указанных сплавах. Поэтому область применения УТП ограничена производством высокоуглеродистых и кремнистых спла­вов. Углеродистый восстановитель (коксик) относится к числу наиболее дешевых, что обусловливает низкую стоимость готового сплава. В связи с этим при выборе способа производства того или иного ферросплава необ­ходимо прежде всего проверить возможность применения наиболее произ­водительного и экономичного углеродотермического способа. Лишь при необходимости выплавки сплава с пониженным содержанием углерода следует использовать силико- или алюминотермический способы его по­лучения.

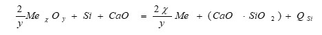
Силикотермический процесс (СТП) производства ферросплавов осно­ван на восстановлении оксидов металлов кремнием и осуществляется в ос­новном в рафинировочных электропечах. В общем виде суммарная реак­ция силикотермического восстановления может быть представлена в следующем виде:

Реакция слабо экзотермическая, для ее протекания следует дополни­тельно подводить тепло извне, поэтому применяются рафинировочные пе­чи небольшой мощностью 2,5-7,5 МВА. С целью повышения степени вос­становления оксида ведущего элемента, в шихту необходимо добавлять из­весть, связывающую кремнезем. Однако при этом кратность шлака увели­чивается (до 1,5-2,5), что вызывает необходимость в дополнительных за­тратах тепла. Готовый сплав имеет низкое содержание углерода и повы­шенную концентрацию кремния. Для получения силикотермическим спо­собом сплава с низким содержанием кремния необходима шихта с недос­татком восстановителя, что приводит к снижению извлечения ведущего элемента. В качестве кремнистого восстановителя используют передель­ные силикосплавы (силикомарганец, силикохром, ферросилиций), полу­чаемые предварительно дешевым углеродотермическим способом. В ходе силикотермического процесса, который относится к числу периодических, вся навеска шихты расплавляется, металл и шлак выпускают по окончании плавки [1, 7, 8].

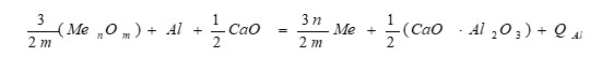
Алюминотермический процесс (АТП) основан на восстановлении ок­сидов алюминием, задаваемым в виде крупки, и может быть описан сле­дующей реакцией:

Выделяемого тепла химической реакции в большинстве случаев дос­таточно для самопроизвольного протекания процесса без подвода тепла извне. Поэтому процесс осуществляется обычно в плавильных горнах. Для предварительного расплавления рудной части шихты иногда используются дуговые электропечи. Алюминотермический процесс, как наиболее доро­гой, применяют лишь в том случае, когда необходимо получить сплавы с низким содержанием углерода и кремния из трудновосстановимых окси­дов. Таким образом, при выборе способа производства ферросплавов учи­тывают, прежде всего, их химический состав. В табл.28.1 и 28.2 приведены сортамент «больших» и «малых» ферросплавов и способы их производст­ва. К числу больших ферросплавов относятся высокоуглеродистый ферро­марганец и феррохром, силикомарганец и силикохром, ферросилиций, по­лучаемый углеродотермическим способом. Доля таких сплавов превышает 90 % от общего объема производства ферросплавов. «Малые» ферроспла­вы (сплавы на основе W, Mo, Ti, Zr, Nb, V, В, РЗМ) получают металлотер-мическими способами.

В проектируемом цехе должен быть реализован однотипный процесс (углеродотермический или металлотермический), обеспечивающий получение одной группы ферросплавов (марганцевые, хромистые и др.) при ми­нимальном количестве видов и марок. Большинство действующих отече­ственных ферросплавных цехов специализировано на производстве мар­ганцевых, хромистых, кремнистых и других ферросплавов. Производство силикомарганца, ферромарганца и ферросилиция с содержанием кремния от 20 до 90 % в одном цехе создает определенные трудности в обеспечении качественными шихтовыми материалами, обслуживании и эксплуатации различных печей (открытых, закрытых), создании надлежащих условий труда и выполнении мероприятий по защите окружающей среды. Нежела­тельно совмещать в одном цехе выплавку высоко- и низкофосфористых, а также высоко-, средне- и низкоуглеродистых сплавов [1, 7, 8].

 

5.1 Выбор типа и мощности плавильных печей

 

Выбор типа применяемого плавильного агрегата зависит от способа производства того или иного сплава. Так, производство ферросплавов углеродотермическим способом осуществляется в рудовосстановительных электропечах, силикотермическим — в рафинировочных печах, алюминогермическим — в плавильных горнах или модернизированных дуговых сталеплавильных печах [1, 7, 8].

При выборе мощности ферросплавных электропечей следует исходить из максимального ее значения. Практика показывает, что увеличение мощности электропечей позволяет улучшить все основные технико-экономические показатели производства (производительность труда, цельный расход электроэнергии, капитальные и эксплуатационные затраты). Ферросплавные электропечи имеют такие максимальные установлен­ие мощности (MB·А): 40-80 печи для выплавки ферросилиция; 63 и 81 МВ·А - ферромарганца высокоуглеродистого; 63 и 81—силикомарганца; 21 и 40 - феррохрома высокоуглеродистого и передельного.

Увеличение единичной мощности ферросплавных электропечей сопровождается одновременным укрытием и герметизацией подсводового пространства. Применение закрытых печей обеспечивает утилизацию физического и химического тепла колошниковых газов, охрану окружающей среды, улучшение санитарно-гигиенических условий труда и эксплуатации оборудования. Успешно эксплуатируются герметичные печи типа РПЗ-63 И1 для производства высокоуглеродистого ферромарганца и силикомарганца и типа РКЗ-3ЗМ1 для получения высокоуглеродистого феррохрома.

Основным преимуществом печей с герметизированным сводом является ликвидация выбросов токсичного газа в атмосферу цеха через загрузочные воронки, расположенные вокруг электродов. Это обусловливает уменьшение капиталовложений на одну печь за счет исключения газоочистки на выбросах от зонта.

В США применяют ферросплавные электропечи мощностью 30—80 МВА с круглой и треугольной ванной. В Японии - герметичные ферро­сплавные печи мощностью 40—72 МВ·А. Норвежская фирма «Элкем» предлагает герметичные круглые печи мощностью 75 МВ·А. Следует отме­тить, что коэффициент использования установленной мощности отечест­венных рудовосстановительных печей выше, чем зарубежных, так как они оборудованы системой продольно-емкостной компенсации реактивной мощности.

При реконструкции действующих цехов с ферросплавными электро­печами средней мощности (РКО-16,5 и РКЗ-16,5) следует повышать их мощность до 27—30 МВ·А. [1, 7, 8].