3 Тұрақты токтың электрлік өрісі


3.1 Тұрақты токтың электрлік өрісін сипаттайтын теңдеулер

 

Тұрақты токтың электрлік өрісі – бұл уақыт бойынша өзгермейтін қозғалыста болатын зарядтардан пайда болатын өріс. Егер ортада қозғалмайтын зарядтар мен магниттік массалар жоқ болса, онда электромагниттік өрістің толық теңдеулер жинағынан (1.27), электрлік өрісті сипаттау үшін мына теңдеулер қалады:



δ = γE теңдеуі –  дифференциалдық түрдегі Ом заңы. Одан шығатыны, Е векторының күштік сызықтары ток тығыздығы векторының δ сызықтарымен сәйкес келетіні. Бұл дегеніміз , әртүрлі өткізгіштігі бар γ (γ1γ2) және что при переходе из одной среды во вторую с равными сечениями S (δ1 = δ2) и разными проводимостями на границе раздела происходит скачкообразное изменение величины Е.

divδ=0  теңдеуі дифференциалды түрде Кирхгоф заңы болып табылады. Бұл дегеніміз, кез келген нүктесінде көзі де, сызықтары да жоқ.Тұрақты электр тоғының ағыны болатын өткізгіш ортадағы қарапайым көлемді бөліп алайық (3.1-сурет).

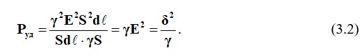
Өткізгіш ағымда ағып жатқан кезде, белсенді қуат P тұтынылады және өткізгіш орта қызады, P = I2 · R. Өткізу ортасының бірлік көлемінде P / V қуаты бөлінеді.

Электр тоғы ағымы заңына сәйкес анықталған кезде бірлік көлеміне шығарылатын жылудың мөлшері 

Q = 0,24I2Rt

 

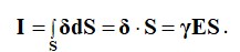
Жалпы жағдайдағы ток I беттік интегралмен анықталады 

Қарсылық R және қарапайым ұзындығы dℓ өткізгіш ортадағы ΔV көлемі формулалармен анықталады

Алынған мәндерді I, R және ΔV шамаларын алмастыратын болсақ, бірлік көлемінде тұтынылатын қуатты анықтау үшін формулалар аламыз

Бірліктің бірлігінде қуат энергия болғандықтан, өткізгіш ортадағы уақыт бірлігінде Qуд γE2 теңдік жылу энергиясы тең. 3.2 Екі беткі өткізгіш орталарының арасындағы шекара шарттары

Электр өріс векторының тангенстік компоненттері бір-біріне тең болатын екі өткізгіштік медиа арасындағы интервалда (3.4) теңдік бойынша есептейміз.Шектеулі жағдайларды анықтау үшін вектордың δ, біз қарапайым көлемді таңдаймыз жабық беті екі интерфейсінің интерфейсінде және ағыны вектордың δ жабық беті арқылы,.

2.4-секцияға ұқсас:

Екі мультимедиа арасындағы интервалдағы ағымдық тығыздық векторларының қалыпты компоненттері бір-біріне тең.Теңдеудің (3.3) - (3.5) қатынасын алу үшін келесі теңдеуді аламыз:

Осылайша, δ = γE болғандықтан, бізде әртүрлі арнайы өткізгіштігі бар екі өткізгіш тасымалдағыштың интерфейсінде γ, V және δ векторларының жалпы мәндері күрт өзгереді.

3.3  Электростатикалық өріс пен электрлік өрістің аналогиясы

 

Аталған өрістерді спаттайтын теңдеулер

Демек, d=ℓ болғанда және S тең көлденең қималарында 8 формуладан, G ортасының өткізгіштігі сыйымдылыққа пропорционал және γ ортасының нақты өткізгіштігінің ортаның абсолютті диэлектрлік өткізгіштігіне қатынасына тең εεo

Жоғарыда келтірілген теңдеулердің ұқсастығы электростатикалық ұқсастығы әдісі деп аталатын өрістерді есептеу әдісіне негізделген. Электростатикалық өрістерді есептеудің белгілі әдістерін бірдей өріс конфигурациясымен электр токтарының электр өрістерін есептеуге және, керісінше, электр өрістерін есептеуге арналған әдістерді қолдану арқылы электростатикалық өрістерді есептеу үшін қолдануға болады.

 

3.4 Оқшаулау кедергісі, ағып кету тогы

 

Нақты оқшаулағыш құрылымдарда Rиз  оқшаулау кедергісі соңғы мәнге ие, сондықтан U кернеуі оқшаулауға қолданылса, онда ол арқылы электр тогы арқылы ағып, ағып кету тогы Iут деп аталады

Конденсаторларды изоляциялау үшін Rиз и Iут  анықтау үлгілері

 1 Мысал. Жазық конденсатор үшін  (3.3-сурет) Rиз  және Iут  анықтау керек

 2 Мысал. Цилиндрлік конденсатор үшін (3.4-сурет) Rиз  и Iут табу керек. Цилиндрлік конденсатор болып коаксиальді кабель табылады.

3.5 Токтың таралуына кедергі(жерге тұйықтау кедергісі)

 

Электр жабдықтары немесе электр қондырғыларының қауіпсіз жұмыс істеуін қамтамасыз ету, сондай-ақ жұмыс істеудің қажетті режимін қамтамасыз ету немесе оларды қауіпті электрлік әсерден қорғау үшін электр қуатын қосуға болатын металл бөлшектер (өткізгіш корпус) жерге тұйықталған. Олар жердің электродына өткізгіштермен қосылады.

Жерге тұйықтаушы құрылғы – бұл өткізгіш немесе топырақтағы өткізгіштер тобы және жерлендірілген объектіге өткізгішпен қосылған.

Жердің өткізгіштігі мен жердің электродтарының мақсатына байланысты олар құбырлар, парақтар, сфералар және т.б. түрінде жүзеге асырылады.

Жердің электродтары арқылы ағатын ток, содан кейін оның ортасына (жер, жер) таралады.

Ортаның (жердің) ток ағысына кедергісі жердің кедергісі деп аталады. Электрлік өріс параметрлерін, жерге тұйықталу кедергісін Rз және ағып кету тогын Iут есептейтін бірнеше мысалдарды қарастырайық.Жердің нашар өткізгіштігі жағдайында, үлкен электр токтарының таралуы кезінде адамның өміріне қауіп төндіретін жер бетінің жеке нүктелері арасында жоғары потернциалдар пайда болады.

2 Құбырлық жерге тұйықтаушы(сурет 3.6, а).

Жерге тұйықталу құрылғысының кедергісі мен өткізгішігі

Егер жерге тұйықталу құрылғысы бірнеше n құбырдан құралса , онда жалпы кедергі құбырлыр санына пропорционалды емес азаяды

Мұндағы η – жеке жерге тұйықталу құрылғысын пайдалану коэффициенті,  жеке жерге тұйықталу құрылғыларының арақашықтығы көп болса, η да жоғары болады. Практикада η=(0,35÷0,9).

 

3.6 Электростатикалық тізбектерді есептеу үшін электростатикалық аналогия тәсілін пайдалану

                     

Тұрақты ток тізбектерін есептеу әдістері конденсаторлардағы тізбектердегі тұрақты күйдегі (I = 0) зарядтардың, кернеу мен сыйымдылықты есептеу үшін толығымен қолданылады.

Конденсаторлары бар тізбектерді есептеу үшін инверстік сыйымдылық К=1/С түсінігін енгіземіз. С мен G ұқсас болғандықтан , онда конденсаторлары бар тізбектердегі К тұрақты ток тізбектеріндегі R-ға, ал заряд q  I-ға сәйкес болады.

мұндағы К1, К2, К3 –Жұлдыз сәулелеріндегі инверстік сыйымдылықтар.

 

1 Мысал. Екіқабатты изоляциясы бар  жазық конденсаторға (сурет 3.8) U кернеуі қосылған. Конденсатордың геометриялық параметрлері - d1, d2, S; диэлектрлік өтімділігі - ε1, ε2.

Табу керек : заряд q; Изоляцияның әрбір қабатындағы кернеулігін және кернеуін U1, U2, Е1, Е2; изоляция қабаттарының сыйымдылығы С1, С2.

Бірінші конденсатордағы кернеу:

3.7 Сынақ білімдерін бақылау тапсырмалары

       

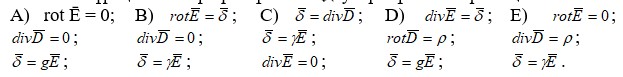
№ 3.1 Қандай өріс келтірілген теңдеулер жүйесімен сипатталады?

A) Электростатикалық өріс.

B) Тұрақты токтағы магнит өрісі

C) Периодты токтың электр өрісі

D) Тұрақты токтың электр өрісі

E) Периодты процесстердегі электромагниттік өріс

№ 3.2 Ом заңы дифференциалдық түрдегі формула бойынша анықталады:

№ 3.3 Кирхгоф заңы дифференциалды түрде мынадай формула бойынша анықталады:

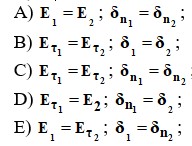
№ 3.4 Екі өткізгіш аралық арасындағы интерфейсдегі шекаралық шарттар келесі шарттармен анықталады:

№ 3.5 Өткізгіштігі g = 10-2 См/м біртекті ортадағы өрістің кернеулігі Е=100В/м. Токтың тығыздығын анықтаңыз d.

A) d = 104 А/м2 ;

B) d = 10 А/м2 ;

C) d = 1 А/м2 ;

D) d = 10-2 А/м2 ;

E) d = 10-4 А/м2 .

№ 3.6 Тұрақты электр өрісі үшін теңдеулер жүйесін көрсетіңіз.

№ 3.7  Қандай жағдайларда бұл қатынас ?

A) диэлектрлік орта;

B) өткізгіш орта үшін;

C) Электростатикалық өріс үшін;

D) тұрақты ток өрісі;

E) барлық жағдайда.

№  3.8  Қадамдық кернеу мен жанасу кернеуі үшін жарамды мәндер

А) 40 В; 100 В;                         

В) 50 В; 100 В;      

C) 30 В; 100 В;

D) 20 В; 150 В;

E) 40 В; 150 В.

№ 3.9  Жерлендіргіш дегеніміз не?

A) Тізбектей жалғанған жер бетіне көмілген металлдан жасалған жүйе

B) Параллель жалғанған жер бетіне көмілген металлдан жасалған жүйе

C) жер бетіне көмілген біртұтас металл емес органдардың жүйесі;

D) жер бетіне көмілген қолданыстағы құбырлар

E) дұрыс жауабы жоқ.

 

№ 3.10  Қандай жағдайларда бұл қатынас ?

A) диэлектрлік орта үшін;

B) өткізгіш орта үшін;

C) Электростатикалық өріс үшін;

D) Тұрақты токтың электр өрісі үшін;

Е) айнымалы токтың электромагниттік өрісі үшін.

 

№ 3.11 Біртекті стационарлық электр өрісінің ағымдағы тығыздығы δ = 100 А/м2 өткізгіш ортада белгілі өткізгіштігі бар γ = 10-3 См/м. Өріс кернеулігі Е тең

А) 100 кВ/м;

В) 10 кВ/м;

С) 1 кВ/м;

D) 100 В/м;

Е) 0,1 В/м.

 

№ 3.12 Біртекті стационарлық электр өрісінің кернеулігі Е = 100 В/м, токтың тығыздығы δ = 5 А/м2. Ортаның өткізгіштігін табыңыз γ.

А) 500 См/м;

В) 0.5 См/м;

С) 0.05 См/м;

D) 50 См/м;

Е) 0,005 См/м.

 

3.8 Дұрыс жауаптары

 

Сұрақ №

Жауаптың коды

Сұрақ №

Жауаптың коды

Сұрақ №

Жауаптың коды

Сұрақ №

Жауаптың коды

3.1

D

3.4

С

3.7

Е

3.10

D

3.2

А

3.5

С

3.8

Е

3.11

А

3.3

В

3.6

Е

3.9

В

3.12

С