Слово «метрология » в переводе с древнегреческого означает «наука об измерениях» (метрон – мера, логос – слово, наука). Основной задачей общей метрологии является обеспечение единства и точности измерений. Спортивная метрология как научная дисциплина представляет собой часть общей метрологии. К ее основным задачам относятся:
Как и всякая живая система, спортсмен является сложным объектом измерения. Основными измеряемыми и контролируемыми параметрами спортсмена на разных этапах тренировки являются морфофизиологические, биохимические, психологические, технико-тактические характеристики и физические качества (выносливость, быстрота, сила, гибкость и ловкость). Планирование и проведение измерений всех этих параметров должно основываться на знании некоторых свойств функциональной системы, к числу которой относится организм спортсмена. Основными свойствами живой системы являются:
Изменчивость – непостоянство переменных величин, характеризующих состояние спортсмена и его деятельность. Все показатели спортсмена (физиологические, морфометрические, биомеханические, энергетические, психофизиологические и т. п.) изменяются во времени. Это делает необходимым проведение многократных измерений с последующей обработкой их результатов методами вариационной статистики. Например, для получения наиболее объективных результатов тестирования в прыжках в длину с места необходимо провести несколько попыток, из которых рассчитывается средняя арифметическая величина.
Подвижность – подчинённость функций организма хронобиологическим закономерностям, т. е. биоритмам. Это проявляется, например, в изменении суточной кривой физической работоспособности; смещении биоритма функций организма спортсмена при его перемещении (самолетом или поездом) в другой временной пояс. Данное свойство важно учитывать, в частности, при планировании повторных (динамических) исследований, соблюдая единое время суток проведения измерений.
Нелинейность – особенность живой системы нелинейно отвечать на раздражители. В частности, с увеличением мышечной нагрузки физиологические функции организма спортсмена изменяются неадекватно её нарастанию, гетерохронно и гетерогенно. Отсюда, во-первых, постоянное увеличение объёма и интенсивности тренировочных нагрузок не может давать положительный тренировочный эффект, вызывая перенапряжение функций; во-вторых, при тестовых физических нагрузках даже с постоянной мощностью необходимо проводить динамические измерения тех или иных функций, поскольку их активация не будет линейна функции времени и мощности.
Адаптивность – свойство организма человека приспосабливаться (адаптироваться) к изменяющимся условиям окружающей среды. При этом организм не приспосабливается к экстремальным факторам среды. Адаптивность лежит в основе повышения тренированности организма в результате суммации срочных тренировочных эффектов, а также в повышении устойчивости организма к относительно низким, высоким температурам среды, гипобарической (высокогорной) гипоксии и эмоциональным напряжениям.
Неполная наблюдаемость, или квалитативность, проявляется в отсутствии точной количественной меры измерения. Так, практически все физические качества (сила, быстрота, ловкость, работоспособность), техническая и тактическая подготовленность, красота исполнительского мастерства, психологические свойства личности спортсмена и другие факторы обеспечения спортивного результата не имеют своей единицы измерения, и, значит, не могут быть измерены как-либо точно. На практике для измерения этих качеств используются косвенные показатели. Ровно так же, как мы до сих пор измеряем и оцениваем деятельность мозга и сердца по биоэлектрической активности. Поэтому для оценки одного и того же качества спортсмена требуется прибегать к ряду косвенных признаков и тестов, и только на их основе более или менее можно делать соответствующие заключения.
Многомерность – большое число переменных, характеризующих состояние системы (выходные) и изменяющих её состояние (входные). В качестве выходных переменных состояния тренированности спортсмена, в общем представлении, могут выступать физическая, техническая, тактическая, психологическая и теоретическая подготовленности и их составляющие. При детальном же рассмотрении, например, выносливости обнаруживаются разные её проявления – общая, специальная, силовая, статическая, скоростная и другие. Понятно, чем большее число качественно разных переменных измеряется, тем полнее будет оценка разносторонности состояния спортсмена и возможность более эффективного управления данной системой. Однако при большом количестве численных значений и фактов возникают трудности в интерпретации данных, поэтому одной из задач спортивной метрологии является стремление уменьшить число измеряемых переменных за счёт тщательного «отбора» из их общего массива существенных переменных.
Важнейшим понятием является понятие переменная. Переменная – величина, характеризующая систему и принимающая в каждый момент времени определённое значение. Для примера упомянем о системе кислородного обеспечения организма человека, переменными которой служат потребление кислорода, артериовенозная разница по кислороду, минутный объём кровообращения и т. п. Другой пример – движения спортсмена. К переменным этой системы относятся кинематические и динамические характеристики движения.
Принято различать входные и выходные переменные. К числу входных переменных, изменяющих состояние системы, относят влияние внешних факторов (температура, влажность, барометрическое давление, мышечная нагрузка, психологические воздействия, питание и т. п.) среды.
Выходные переменные характеризуют состояние системы (параметры деятельности физиологических систем, кинематические и динамические характеристики движения, результаты тестирований и т. п.). По своей информативности и важности эти переменные делятся на:
Существенными переменными называются жизненно важные показатели системы, от которых зависит её существование.
Несущественные переменные – это показатели менее важные, второстепенные, не оказывающие решающего влияния на эффективность работы системы. Включение тех или иных переменных в число существенных зависит от конкретной цели исследования. Например, при оценке функционального состояния стайера измеряют производительность систем кровообращения и дыхания, потребление кислорода и другие показатели, характеризующие выносливость. Если же исследуется спринтер, то в центре внимания оказываются его психофизиологические показатели, определяющие скоростные навыки, способность к «взрывным» действиям, анаэробные возможности организма. В том и другом случае к несущественным переменным можно отнести показатели технико-тактических действий.
Оценив физическую, техническую, психологическую и тактическую подготовленность спортсмена, можно судить об уровне его тренированности на сегодняшний день. Однако задача тренера состоит не только в том, чтобы определить функциональное состояние своего воспитанника. Задача тренера – подготовить спортсмена высокого класса или, говоря языком теории систем, перевести данную систему (спортсмена) в определённое, наперёд заданное состояние. Эта задача известна в теории систем как задача об управлении системой.Таким образом, управлением называется целенаправленное изменение состояния системы.
Цель управления – переместить систему в желаемое состояние (например, в высокий уровень мастерства спортсмена или из состояния низкой тренированности перевести систему в состояние высокой тренированности).
Управление процессом подготовки спортсменов включает в себя пять стадий:
Перевод объекта из одного состояния в другое осуществляется с помощью воздействий. В подготовке спортсменов к ним следует отнести выполнение различных упражнений, а также использование некоторых других факторов – внешней среды ( например, условий среднегорья), специального питания и т.п. Эффективность воздействий, а следовательно, и эффективность управления тренировочным процессом обусловливается тем, насколько реальные изменения подготовленности спортсменов соответствуют запланированным тренером. Оценить эти изменения можно по многим показателям, но на практике используются наиболее существенные, или информативные.
Спортивная тренировка, так же как и физическое воспитание, представляет собой процесс управления. В каждый момент времени человек находится в определённом физическом состоянии, которое определяют как минимум здоровье, телосложение, состояние физиологических функций, технико-тактическая подготовленность, уровень двигательных (физических) качеств.
Понятно, что физическое состояние, которое достигает человек под влиянием условий жизни, обычно далеко от желаемого. Ибо каждый вид спорта требует определённого состояния физиологических функций, их возможностей и резервов, уровня физических качеств, технического и тактического мастерства, психологической подготовленности. Поэтому не случайно, что специализированная мышечная тренировка направлена на формирование и совершенствование определённых свойств и качеств организма спортсмена. Построив тренировочный процесс соответствующим образом, можно повысить уровень одного или нескольких качеств, т. е. можно управлять состоянием человека.
В спортивной тренировке цель управления – стойкое улучшение физического состояния, выражающееся в повышении спортивных результатов.
Сложность управления в спортивной тренировке заключается в том, что мы не можем непосредственно управлять изменением спортивных результатов. Например, мы не в состоянии каким-либо прямым способом повысить у спортсмена силу или выносливость. Это можно сделать только опосредствованно. Фактически тренер-педагог управляет лишь действиями (поведением) спортсмена: он задаёт ему определённую программу упражнений (тренировочную нагрузку) и добивается её правильного выполнения, в частности правильной техники движения.
Те изменения в организме, которые наступают во время выполнения физических упражнений и сразу после их завершения, называются срочным тренировочным эффектом. Из-за наступающего утомления он обычно связан со снижением работоспособности. Те изменения в организме, которые происходят в результате суммирования следов многих тренировочных занятий, называются кумулятивным тренировочным эффектом. При правильно организованном процессе тренировки этот эффект выражается в повышении работоспособности и спортивных результатов.
Таким образом, в спортивной тренировке можно представить следующую последовательность причин и следствий: действия спортсмена (поведение) → срочный эффект → кумулятивный эффект.
Воздействуя на начальное звено этой цепи (поведение), мы хотим добиться желаемого результата в конечном (кумулятивном) эффекте.
Справедливо ввести оговорку, что приведённая схема несколько упрощена, поскольку поведением спортсмена управляет не тренер, а сам спортсмен. Тренер даёт ему указания, которые он может выполнить, а может и не выполнить с требуемой точностью. Поэтому специфика управления в спортивной тренировке заключается в том, что мы пытаемся воздействовать на организм спортсмена. Реакции этой системы определяются её собственными законами. При этом из-за очень больших индивидуальных и временных различий в состоянии спортсменов мы не можем быть уверены в том, что, применяя одно и то же воздействие, получим одну и ту же ответную реакцию. Одинаковая тренировочная нагрузка может вызвать разный тренировочный эффект. В связи с чем актуален вопрос об обратных связях (контроле).
Чтобы управлять тренировочным процессом не «вслепую», нужно получить информацию о ходе и результатах выполнения тренировочных и соревновательных упражнений, состоянии спортсмена, окружающих условиях.
Сбор обратной информации о состоянии объекта управления и сравнение его действительного состояния с должным называется контролем. Принято различать, как минимум, четыре разных направления в педагогическом контроле:
Схема управления тренировкой приобретает тогда следующий вид, который представлен на рисунке 1.

Рисунок 1 – Схема управления тренировкой
Следует иметь в виду, что данная схема отражает лишь принципиальную сторону вопроса. Контроль за спортивной тренировкой – это активное добывание, хранение, анализ и оценивание такой информации, которая позволяет обоснованно судить об организации, материально-техническом обеспечении, медицинской, научной, воспитательной сторонах, ходе и результатах подготовки спортсмена.
Контроль начинается с измерения, но не исчерпывается им. Нужно ещё знать, что и как измерять, уметь выбирать информативные (существенные) показатели системы, грамотно использовать математический аппарат обработки информации и уметь интерпретировать результаты исследования.
1.1 Общие основы измерений
В спортивной науке и практике используются почти все существующие виды и методы измерений (радиоэлектронные, оптикоэлектронные, биофизиче-ские, биохимические, ультразвуковые, лазерные, морфометрические, гистологические, генетические и др.). Они используются для решения самых разнообразных задач комплексного контроля, отбора, прогнозирования, управления процессом подготовки спортсменов, а также занимающихся массовыми формами физической культуры и профессионально-прикладной физической подготовкой.
Измерения различают:
По способу получения информации измерения разделяют на:
Прямые измерения – это непосредственное выражение физической величины её мерой. Например, при определении длины сегмента тела по фотограмме линейкой происходит выражение искомой величины (количественного выражения значения длины) линейной мерой.
Косвенные измерения заключаются в определении искомого значения величины по результатам прямых измерений таких величин, которые связаны с искомой определённой зависимостью. Так, если измерить массу поднимаемой штанги, высоту на которую она поднимается и частоту подъёмов в минуту, то по известной функциональной зависимости можно рассчитать мощность.
Совместные измерения включают измерение двух и более неоднородных физических величин для определения зависимости между ними.
По характеру изменения измеряемой величины различают:
Статистические измерения связаны с определением числовых характеристик случайных процессов, например вариабельность ритма сердца и т. п.
Динамические измерения связаны с такими величинами, которые претерпевают те или иные изменения, как, например, динамика частоты сердечных сокращений при мышечной работе.
Статические измерения имеют место при относительном постоянстве измеряемой величины, например местоположение центра масс тела человека в положении стоя.
По количеству измерительной информации различают:
Однократные измерения – это одно измерение данной величины, т. е. число измерений равно числу измеряемых величин. При таком измерении часто могут возникать погрешности, особенно если данный признак обладает свойством высокой вариабельности (нестабильности), поэтому следует проводить не менее трёх однократных измерений и находить конечный результат в виде среднего арифметического значения.
Многократные измерения характеризуются превышением числа измерений количества измеряемых величин. Преимущество таких измерений заключается в значительном снижении влияний случайных факторов на погрешность измерения.
1.2 Шкалы измерений
Шкала – ( от лат. скале – лестница ) – элемент счетной системы, посредством которого происходит отнесение исследуемого объекта к определенной группе объкетов.
Промежуток между соседними отметками шкалы называется делением шкалы. Цена шкалы – это значение изиеряемой величины, соответствующее расстоянию между двумя соседними делениями шкалы. Установление цены шкалы осуществляется путем тарирования.
В спортивной практике наибольшее распространение получили четыре шкалы измерений, каждая из них специфична, имеет своё практическое приложение, способ и принцип измерения, свой набор математических процедур.
Таблица 1– Шкалы измерений
| Шкала | Основные принципы | Методы статистики | Примеры |
| Наименований | Установление равенства | число случаев, мода, корреляция | нумерация спортсменов в команде; результаты жеребьёвки |
| Интервалов | Установление равенства интервалов | среднее, стандартное отклонение, корреляция | календарные даты; суставной угол |
| Отношений | Установление равенства отношений | коэффициент вариации, среднее геометрическое | длина, сила, масса, скорость и т. п. |
Шкала наименований (номинальная – от лат. имя). Номинальное измерение – присвоение обозначения или обозначений. Это своего рода качественная, а не количественная шкала, она не содержит нуля и единиц измерений. При номинальных измерениях используется исключительно та особенность чисел, что 1 отличается от 2 или 4 и что если предмет А имеет 1, а предмет В – 4, то А и В различаются в отношении измеряемого свойства. Отсюда вовсе не следует, что в «В» содержится больше свойства, чем в «А».
Таким образом, шкала наименований служит для обнаружения и различения изучаемых объектов за счёт введения и присвоения ярлыков. Для удобства контроля за объектами ярлыки выражаются через числа. Например, нумерация игроков в баскетболе, футболе и т. п. Здесь цифровые значения не имеют строгого порядка и могут меняться местами. В шкале наименований нет отношений типа «больше-меньше», но это не значит, что её нельзя считать шкалой измерения. Имея некоторые ограничения в использовании, шкала наименований не заменима, например, при подсчёте частоты технических (или других) действий каждым спортсменом за период соревнования (тайма, матча и т. п.).
Шкала порядка называется ранговой, или не метрической. Шкала измерения может не иметь одинаковых интервалов между рангами. Она позволяет установить равенство или неравенство измеряемых объектов, а также определить характер неравенства в виде суждений: «больше-меньше», «лучше-хуже» и т. п. С помощью шкалы порядка можно измерять не только количественные, но и качественные показатели в баллах. Наибольшее распространение эти шкалы получили в педагогике, психологии, социологии.
Шкала порядка характеризует значение измеряемой величины в баллах. Порядковые измерения возможны тогда, когда измеряющий может обнаружить в предметах различие степеней признака или свойства. В этом случае используется свойство «упорядоченности» чисел, и числа приписываются предметам таким образом, что если число, присвоенное предмету А, больше числа, присвоенного В, то это значит, что в А содержится больше данного свойства, чем в В.
В спортивной практике шкала порядка применяется для установления занятого места в соревнованиях, при оценке физической подготовленности, предпочтений технических и тактических действий спортсменом, используя ранговые критерии.
Шкала интервалов (разностей) имеет условные нулевые значения, а интервалы устанавливаются по согласованию. Такими шкалами являются шкала времени и шкала длины. Шкала интервалов отличается строгой упорядоченностью чисел и определёнными интервалами между рангами. Интервальное измерение возможно, когда измеритель способен определить не только количество свойства в предметах, но также фиксировать равные различия между предметами. Для интервального измерения устанавливается единица измерения (градус, метр, сантиметр, грамм и т. д.). В этой шкале нулевая точка выбирается произвольно. Например, при измерении угла в суставе точкой отсчёта может быть нуль или любое начальное значение в градусах, так же как при измерении температуры, потенциальной энергии поднятого груза может произвольно определяться начальная точка.
Шкала отношений отличается строгой определённостью нулевой точки. Здесь нулевая точка не произвольна, а указывает на полное отсутствие измеряемого свойства. Измеритель может заметить отсутствие свойства и имеет единицу измерения, позволяющую регистрировать различающиеся значения признака. Равные различия чисел, присвоенные при измерении, отражают равные различия в количестве свойства, которым обладают оцениваемые предметы. Кроме того, раз нулевая точка не произвольна, а абсолютна, то не лишено смысла утверждение, что у А в два, три или четыре раза больше свойства, чем у В.
В спорте по этой шкале измеряют расстояние, силу, скорость и многие другие переменные. Универсальность шкалы отношений заключается в возможности измерения разности чисел, отсчитанных по шкале интервалов. Измеряя какую-либо величину, можно определить её отношение к соответствующей единице измерения (например, отношение массы штанги к массе тела, длины прыжка к длине сегмента тела и т. п.).
1.3 Единицы измерений
Чтобы сравнить результаты измерения, необходимо выразить их в одних и тех же единицах. Международная система единиц – СИ (от начальных слов System International)- эта система в настоящее время включает семь независимых друг от друга основных единиц, из которых в качестве производных выводят (путём арифметических действий) единицы остальных физических величин. Например, единица длины (метр) и единица времени (секунда) – основные единицы, а единица скорости (метр в секунду) – производная.
Все производные величины имеют свои размерности. Размерностью называется выражение, связывающее производную величину с основными величинами системы при равном единице коэффициенте пропорциональности. Например, размерность длины – L, размерность времени – T; отсюда размерность скорости равна L/T = L • T-1, а размерность ускорения – L • T-2.
Помимо единиц измерения, входящих в систему СИ, есть также внесистемные единицы (час, минута, лошадиная сила, калория и др.), которые часто применяются для удобства. Эти единицы измерения могут быть построены из основных единиц системы (построенных по десятичному принципу) или вообще не иметь связей с единицами установленных систем (например, калория, миллиметры ртутного столба и др.).
Система единиц СИ
Основные единицы
Килограмм равен массе цилиндрической гири из платино-иридиевого сплава 1 фунт = 0,454 кг
Производные единицы
Совершенствование методов измерений в спорте всегда связано с введением новых единиц измерения. Так, точность измерения выносливости значительно повысилась с тех пор, как техника газового анализа выдыхаемого воздуха стала общедоступной и аэробные возможности спортсмена начали оценивать величиной максимального потребления кислорода в пересчёте на массу тела (мл/кг • мин–1).
1.4 Точность измерений
Никакое измерение не может быть выполнено абсолютно точно, всегда содержится та или иная погрешность. Чем точнее метод измерения и измерительный прибор, тем меньше величина погрешности.
Виды погрешностей, которые необходимо учитывать при измерении в спорте:
Основная погрешность связана с методом измерения или измерительного прибора, которая имеет место в нормальных условиях их применения. Например, точность измерения прыжка в длину с помощью метра или рулетки, точность измерения времени пробегания короткой дистанции с помощью разных (механического или электронного) секундомеров будет не одинаковой, что обусловливается точностью самого средства измерения. Эта погрешность, как правило, указана в инструкции измерительного прибора.
Дополнительная погрешность вызвана отклонением условий работы измерительной системы от нормальных. Например, при существенных колебаниях (выше нормы) электрического напряжения в сети может возникать погрешность измерения. Другой пример – прибор, предназначенный для работы при комнатной температуре, будет давать неточные показания, если пользоваться им в условиях низких или высоких внешних температур. К дополнительным погрешностям относится и так называемая динамическая погрешность, обусловленная инерционностью измерительного прибора и возникающая в тех случаях, когда измеряемая величина колеблется выше технических возможностей регистрирующего устройства. Например, некоторые пульсотахометры рассчитаны на измерение средних величин частоты сердечных сокращений и не способны улавливать непродолжительные отклонения частоты от среднего уровня.
Величины основной и дополнительной погрешности могут быть представлены в абсолютных и относительных единицах.
Абсолютная погрешность равна разности между показанием измерительного прибора (А) и истинным значением измеряемой величины (А0)
Δ;A=A-A0
Она измеряется в тех же единицах, что и измеряемая величина.
Относительной погрешностью называется отношение абсолютной погрешности к истинному значению измеряемой величины
Δ;A%=ΔA/A_0*100%
Поскольку относительная погрешность измеряется в процентах, то знак абсолютной погрешности не учитывается.
Систематическая погрешность – это величина, которая не меняется от измерения к измерению. Поэтому она часто может быть заранее предсказана или, в крайнем случае, обнаружена и устранена по окончании процесса измерения. Определение систематической погрешности измерения возможно следующими способами:
Тарированием называется проверка показаний измерительных приборов путём сравнения с показаниями образцовых значений мер (эталонов) во всём диапазоне измеряемой величины.
Калибровкой называется определение погрешностей или поправка для совокупности мер. При тарировке и калибровке ко входу измерительной системы подключается источник эталонного сигнала известной величины. Например, процедура проверки чувствительности усилителя заключается в записи и регулировке амплитуды ответов каналов на подаваемое на вход напряжение, впоследствии сопоставляемое с амплитудой регистрируемых физиологических параметров. Другой пример – процедура проверки скорости движения бумаги на регистрирующем приборе с помощью счётчика времени.
Рандомизацией (от англ. random – случайный) называется превращение систематической погрешности в случайную. По методу рандомизации измерение изучаемой величины производится несколько раз (например, многократные исследования физической работоспособности разными способами дозирования нагрузки). По окончании всех измерений их результаты усредняются по правилам математической статистики.
Случайные погрешности неустранимы и возникают под действием разнообразных факторов, которые сложно заранее предсказать и учесть. Единственно, с помощью методов математической статистики можно оценить величину случайной погрешности и учесть её при интерпретации результатов измерения.
На качество измерений в спорте оказывают влияние множество переменных факторов: гелиогеофизические, биологические (внешние и внутренние), генетические, психологические, социально-экономические и мн. др.
Эксперт, или экспериментатор, вносит в процесс измерения элемент субъективизма, который по возможности должен быть уменьшен. Он зависит от квалификации экспериментатора, его психофизиологического состояния, соблюдения эргономических требований при измерениях. Как правило, к измерениям допускаются лица, прошедшие специальную подготовку, имеющие соответствующие знания, умения и практические навыки.
К числу влияющих факторов относятся также условия измерений. Сюда входят температура окружающей среды, влажность, атмосферное давление, электрические и магнитные поля, напряжение в сети питания, тряска, вибрация и др.
Приведённые классификации далеко не исчерпывают всего многообразия факторов, влияющих на результат измерения.
1.5 Некоторые методы вариационной статистики
Математическая статистика – наука о математических методах систематизации и использования статистических данных для научных и практических выводов. Во многих своих разделах математическая статистика опирается на теорию вероятностей, позволяющую оценить надёжность и точность выводов, делаемых на основании ограниченного статистического материала (например, оценить необходимый объём выборки для получения результатов требуемой точности при выборочном обследовании).
Средняя арифметическая. Характеризуя тот или иной вид спорта, говорят, например, о среднем уровне физического развития, средней аэробной или анаэробной производительности организма, о среднем развитии двигательных качеств и многих других средних величинах. Значение средних заключается в их свойстве нивелировать индивидуальные различия, в результате чего выступает более или менее устойчивая числовая характеристика признака.
Среднее значение характеризует групповое свойство. В средней находит своё отражение внутренняя связь, существующая между отдельными вариантами (отдельные значения или единицы, входящие в состав статистической совокупности) и всей их совокупностью в целом. Средняя – это центр распределения: она занимает центральное положение в общей массе варьирующих значений признака.
Из всех параметрических средних наиболее часто применяется средняя арифметическая X̅ , представляющая частное от деления суммы всех вариант (Хi) на их общее число (n)
Средняя арифметическая – величина именования, она выражается теми же единицами измерения, что и характеризуемый ею признак.
Являясь важной статистической характеристикой, средняя ничего не говорит о величине варьирования изучаемого признака. Самой простой характеристикой вариации является размах варьирования. Например, если лимиты (экстремумы) одной выборки равны min = 4 и max = 16, а другой – min = 3 и max = 19; то размах вариации в первом случае равен 16 – 4 = 12, во втором – 19 – 3 = 16. Отсюда следует, что вариабельность первого признака меньше, чем второго.
Описываемые показатели вариации, в силу присущих им недостатков, редко применяются в качестве основного мерила вариабельности. Во-первых, потому что способны сильно менять своё значение, а во-вторых, в силу их неспособности характеризовать существенные черты варьирования. Например, подтверждением этому могут служить следующие ряды ранжированных значений двух выборок х и у:
х: 10 15 20 25 30 35 40 45 50; X̅ = 30.
у: 10 28 28 30 30 30 32 32 50 ; Y̅ = 30.
Средние арифметических этих рядов одинаковы, одинаковыми являются и лимиты, а, следовательно, и размах вариации. А характер варьирования у них разный, что не отражается на величине этих показателей.
Дисперсия и среднее квадратическое (или стандартное) отклонение. Наиболее подходящей мерой варьирования служит центральный момент второго порядка. Этот показатель, обозначаемый символом σ2, называется средним квадратом отклонений, или дисперсией, и выражается формулой:
Величина n – 1 носит название числа степеней свободы, под которым подразумевается число свободно варьирующих членов (Xi) совокупности.
Р.Н. Бирюковой предложен более простой, но приближенный метод вычисления стандартного отклонения – σ (таблица А. 1).
Стандартное отклонение – величина именования и выражается в тех же единицах измерения, что и признак. Чем сильнее варьирует признак, тем больше и стандартное отклонение, и наоборот – при слабом варьировании признака стандартное отклонение будет меньше.
Средняя и стандартное отклонение дают полную количественную характеристику любой эмпирической совокупности, распределяемой по нормальному закону. Среднее значение отображает действие на признак основных причин, определяющих типичный для популяции уровень его развития, тогда как стандартное отклонение характеризует варьирование значений этого признака вокруг центра распределения, т.е. средней арифметической. Стандартное отклонение является мерой степени влияния на признак различных второстепенных причин, вызывающих его варьирование.
Стандартное отклонение не зависит от числа наблюдений и потому может использоваться для оценки варьирования однородных признаков. Однако для сравнения вариации двух и более признаков, имеющих различные единицы измерения (например, результаты в беге на 100 м, прыжках в высоту, метаниях гранаты и т.п.), эта характеристика не пригодна. Для этого используется коэффициент вариации.
Коэффициент вариации. Чтобы стандартное отклонение могло быть использовано в качестве меры сравнения вариабельности признаков (независимо от того, какими единицами измерения они выражены), его принято выражать в процентах от средней арифметической. Полученный таким образом показатель оказывается числом относительным, выражающим изменчивость признаков в процентах; его называют коэффициентом вариации и обозначают символом CV. Вычисляется он по формуле
Коэффициент вариации, будучи величиной относительной, позволяет сравнивать между собой вариабельность (колеблемость) разнородных признаков, имеющих различные единицы измерения. При нормальных распределениях CV обычно не превышает 45 – 50 %. В случаях ассиметричных распределений он может быть довольно высоким (до 100% и выше). На практике внутренняя вариабельность признака считается небольшой при CV от 0 до 10%, средней – от 11 до 20% и большой – > 20%.
Ошибка средней арифметической (m) – величина не техническая, а статистическая. Она характеризует закономерные колебания (вариации) средней арифметической величины. Ошибка средней вычисляется по формуле

В. А. Березовский предложил более простой, но приближённый метод вычисления ошибки средней – m (таблица А. 2)
Ошибка средней, показывает варьирование выборочных показателей вокруг их генеральных параметров. Она обладает теми же свойствами, что и стандартное отклонение. Чем больше объём выборки, тем точнее средний результат, тем меньше выборочная средняя будет отличаться от средней генеральной совокупности. Следовательно, при увеличении числа испытаний ошибка выборочной средней будет уменьшаться. Отсюда становится яснее значение выборочной ошибки: она указывает на точность, с какой определена сопровождаемая ею средняя величина.
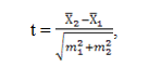
Оценка по критерию t-Стьюдента. В спорте часто на одних и тех же спортсменах проводится измерение через некоторое время (например, в начале и конце этапа подготовки) или сравнение результатов одной группы (контрольной) с другой (экспериментальной). Во всех этих и подобных случаях ставится практически одна задача – выяснить, достоверно или нет, одни результаты исследования отличаются от других. Для этих целей используется метод сравнения двух выборочных средних арифметических по критерию t-Стьюдента, который рассчитывается по формуле
(1)
где X̅1 и X̅2 – сравниваемые средние; m1 и m2 – ошибки сравниваемых средних.
Принципиально важным является то, что применение указанного метода возможно только для однородных признаков.
После того, как определён критерий и вычислено значение t расчет, его сравнивают с критическим значением t в формуле (1) предварительно определив число степеней свободы (k = n1 + n2 – 2).
Ответом на вопрос о достоверности различий между двумя однородными признаками служит уровень значимости (Р), определяемый по (таблица А. 3). При уровне значимости Р < 0,05 (что соответствует 95% вероятности события) можно говорить о наличии достоверных различий между сравниваемые средними, при Р < 0,01 и особенно при Р < 0,001 (когда 99,9 % случаев подлежат общей закономерности) можно утверждать, что средние значения отличаются друг от друга с высокой вероятностью или закономерностью. Свидетельством отсутствия достоверных (статистических) различий между средними является Р > 0,05 (т.е. менее 95% случаев подлежат общей закономерности).
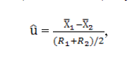
Сравнение средних значений двух малых выборок по û критерию (по Lord). Сравнение средних значений независимых рядов измерений равного объема (n1 = n2 ≤ 20) осуществляется по формуле
(2)
где X̅1 и X̅2 – сравниваемые средние; R1 , R2 – разности между экстремумами (Хmax – Xmin)
Если статистика û (по Lord) достигает или превосходит границу таблицы (таблица А. 4), то разность средних значений достоверна. Критерий û предполагает нормальное распределение выборки и равенство дисперсий в табулированной области, он имеет такую же мощность, как и критерий t-Стьюдента.
Сравнение дисперсий по критерию Фишера. Для установления равенства (или неравенства) двух выборочных дисперсий, принадлежащих к одной и той же генеральной совокупности, рассчитывается критерий Фишера
(3)
где дробь σ22/σ12 должна быть > 1, т.е. числитель должен быть всегда больше знаменателя. Значение F расчет сравнивается с критическим значением теоретического распределения Фишера (таблица А. 5). Если F расчет равна или больше табличного, значит существует достоверное отличие между дисперсиями при соответствующем уровне Р.
Критерий Фишера применяется для больших (n > 30) и малых выборок (n < 30). Он функционально связан с вероятностью, имеет непрерывную функцию распределения и зависит от чисел степеней свободы: k1 = n1 – 1 и k2 = n2 – 1 сравниваемых дисперсий. Характерным для F-критерия оказывается то, что он полностью определяется выборочными дисперсиями и не зависит от генеральных переменных.
Корреляционный анализ сводится к измерению тесноты или степени напряжённости между разнородными признаками, а также к определению формы и направления существующей между ними связи.
Для оценки тесноты взаимосвязи в корреляционном анализе используется значение (абсолютная величина) специального показателя – коэффициента корреляции (r). Абсолютное значение любого коэффициента корреляции лежит в пределах от 0 до 1. Чем больше коэффициент корреляции приближается к 1, тем теснее связь между признаками и наоборот. В упрощённом виде значение этого коэффициента интерпретируют следующим образом:
Коэффициент корреляции может иметь знаки плюс или минус, что говорит о направленности связи – положительная (прямая) или отрицательная (обратная). Коэффициент r служит мерилом только качественной связи между изучаемыми признаками. С помощью специальных расчётных процедур в каждом конкретном случае устанавливается форма связи (линейная, нелинейная). Существуют методы парной и множественной корреляции; для определения связи между количественными и качественными признаками прибегают к разным корреляционным анализам
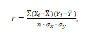
Когда измерения производят в шкале отношений или интервалов и форма взаимосвязи двух разнородных (например бег на 100 м и прыжки в длину) признаков линейная, то для определения взаимосвязи используется коэффициент корреляции Бравэ-Пирсона. Чаще всего он вычисляется по формуле
(4)
где X̅ и Y̅ – средние арифметические двух признаков; – стандартные отклонения; n – объём выборки или общее число парных наблюдений. Статистически значимая связь определяется по таблице А. 6.
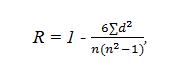
Наряду с параметрическими показателями корреляционной связи существуют и непараметрические (порядковые) показатели, применяемые в тех случаях, когда изучаемые объекты (качественные) ранжируются по учитываемым в эксперименте признакам. Наиболее известным непараметрическим показателем связи является ранговый коэффициент корреляции Спирмена, определяемый по формуле
(5)
где ∑ – знак суммирования; d – разность между рангами сопряжённых значений признаков x и y, т.е. d = xi – yi; n – объём выборки или общее число парных наблюдений. Статистически значимая связь определяется по таблице А. 7.
В некоторых случаях тесноту взаимосвязи определяют на основании коэффициента детерминации (D), который вычисляют по формуле
D = r2 •100 %
Этот коэффициент определяет часть общей вариации одного показателя, которая объясняется вариацией другого показателя. Так, например, для вычисленного значения r = - 0,7 между результатом в беге на 30 м и прыжком в длину с разбега коэффициент детерминации определится как
D = (- 0,7)2 • 100 % = 49 %
Следовательно, только 49% взаимосвязи спортивных результатов объясняется их взаимовлиянием. Остальная часть (100 % - 49 % = 51 %) вариации объясняется влиянием других неучтённых факторов.
Регрессионный анализ есть продолжение корреляционного анализа, где с помощью выведенного уравнения регрессии можно показать количественную степень связи (или взаимовлияния одного признака на другой). Например, насколько повысится результат в прыжках в длину с разбега, если скорость бега на 30 м увеличится на 2 м/с. Уравнение парной линейной регрессии имеет вид
D = (- 0,7)2 • 100 % = 49 %
y = a +b x,
где y – искомое значение; а – свободный член; b – коэффициент регрессии; x – заданное значение.
Дисперсионный анализ позволяет оценить влияние разнообразных факторов на результат исследования. Например, какие из факторов физической подготовленности в большей мере влияют на спортивный результат. Дисперсионный анализ проводится как на малых, так и набольших выборках, на однородных и неоднородных признаках. В основе дисперсионного анализа лежит сравнения выборочных дисперсий или их отношений с критическими значениями критерия F- Фишера.