1. Тақырып


Кіріспе. Саясаттану ғылым және оқу пәні ретінде

Саяси ғылым - қоғамның саяси саласын, саяси ойдың пайда болуы мен даму тарихын, саяси жүйе, саяси қатынастар мен үрдістерді, саяси сана мен саяси мәдениетті, әлемдік саяси үрдісті зерттейді. Саяси ғылым сұрақтары бойынша өткен ж. халықаралық коллоквиум оның зерттеу объектілері ретінде:

1) саяси теория;

2) саяси институттар;

3) саяси партиялар, топ¬тар, қоғамдық пікір;

4) халықаралық қатынастарды анықтады.

Сонымен бірге, саясат қоғамдық-саяси өмірдің маңызды бір саласы жөнінде білім көзі болып, ол туралы жан-жақты ғылыми мағлүмат береді, екіншіден, нағыз адамгершілік саясат қоғамдық даму заңдылықтарына сай пайда болады, оларды ашып, іске асырғанда басшылыққа алына ғылымға негізделеді, саяси жүмыс жемісті болу үшін ғылыми терең зерттеулер жүргізу қажет.

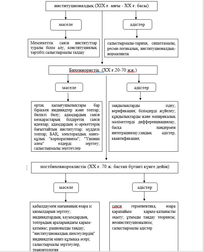
Д.Истон бойынша бихевиореализмнің  зияткерлік принциптері

Постбихевиоралдық кезеңде саясаттанудың негізгі бағыттары

Саяси теория - қандай да бір автордың болашаққа бағытталған оңтайлы жолды көрсетуі, тәжірибелік ойы, идеясы. Саяси теория - ұсыныстар мен өлшемдерді ұсынатын зерттеу түрі. Кез келген теорияның мақсаты - "шындықты" түсіндіру, түсіну және үғындыру. Саяси теория келесі қызметтерді орындайды: дескриптивті - саяси құбылыстарды немесе саяси әлемді сипаттау; түсіндіру - белгілі салдардың себептерін іздеу; болжаушылық - оқиғалардың болашақта даму мүмкіндігі туралы гипотеза құру; құралдық - мінез-құлықтың нақты ережелерін үсынады; идеологиялық - зерттеу нәтижелері негізделген саяси мақсаттар мен құндылықтар болып табылады.

Саяси әдістеме - [грек, metodos - зерттеу жолы, logos - сөз, ілім] - саяси зерттеу жүргізу әдістері туралы ілім. Бір мағынада әдістеме ретінде саяси ғылымдағы зерттеу қызметінің бағыттарын анықтаушы гносеологиялық қағидалар, сонымен бірге жаңа білім алу принциптері мен әдістері. Екінші бір мағынада саяси ғылым ауқымындағы арнайы пән. Бүл пән нысаны - саяси зерттеу жүргізу үрдісі. Әдістеме танымдық жүйе ретінде бірнеше деңгейден тұрады: философиялық сипаттағы білім, ғылыми зерттеу мәні, құрылымы, принциптері, ережелері мен әдістері туралы білім, нақты зерттеу пәніне қатысты теориялық білім. Арнайы саяси пән ретінде әдістемеде нақты-саяси зерттеу үрдісі теориялық түрғыдан түсініледі. Саяси ғылымды рефлексиясы бар жүйе ретінде қарастыруға болады. Бүл - өзінің зерттеулік іс-әрекетін ой елегінен өткізуге бағытталған ғалым қызметі. Егер саясаттанушы саяси шындықты зерттейтін болса, онда әдіскер нақты құндылық бағыт түрғысынан ғалым жүмысын түсіндіруғе, сипаттауға және түсінуге ұмтылады.

Саясатты зерттеуде жалпылогикалық әдістер

Саясатты зерттеуде теориялық әдістер

Саясатты зерттеуде эмпирикалық әдістер

Бихевиорализм (ағылшынша behavior – мінез-құлық) − Бір индивидтардың жасап отырған саяси құбылыстарының мінез-құлықтарын қарастыра отыратын саясаттанудағы мінез-құлықтық бір ұстаным жолы. Психолог мамандар мен философтардың «бихевиоризм» терминін қолдануына қарағанда, бірқатар батыс саясаттанушылары бұл терминді қолдануды жөн көреді. Биховиоризмді мынадай түрлерге бөлуге болады:

• Классикалық биховиоризм(Classical): Джон Б. Уотсон (John B. Watson ) дәріптеген биховиоризм бағыты. Олар психологиялық барыс және ішкі көңіл ауаны дегенді терістеп, әрекетті бірден-бір психологиялық күй ретінде сипаттайды.

• Методологиялық биховиоризм (Methodological):үшінші адамның объективті күзетуін негіз етіп, субъектілер арасындағы зерттеуге болатын байланысты хатірелеп, қорытынды жасау. Бұл әдіснама кейін когнитивті психология жағынан қабылданған.

• Радикалды биховиоризм (Radical): B. Ф. Скиннер (B. F. Skinner) қатарлылардың биховиоримі. Олар іс-әрекет дағдысын механикалы түсінуге, қарапайымдастыруға қарсы болды. Психология ішкі көңілдің сыртқы айнасы ғана емес, ол адамның өзін сезінуінің ерекше жолы деп қарады.

• Логикалық биховиоризм(Logical): Оксфорд университетінің философы Ж.Райла(Gilbert Ryle)өзінің «Мидағы ұғым» (The Concept of Mind(1949))деген кітабында қалыптастырған.

• Мақсат биховиоризмі(Teleological): Скиннерге қатысты қалыптасқан ағым. Олар адамды мақсат арқылы түсіндіреді, әсіресе микроэкономика, саясаттану, әлеуметтану теорияларында мақсаттылықты негізгі түйін ретінде зерттеу тетігі етіп қолданады..

• Теорияшыл биховиоризм(Theoretical): Скиннердің ағымының тағы бір қасиеті, олар ішкі жан дүниедегі көңіл күйді күзетуге болады деп есептейді, психологияны зерттеуде қазіргі заман технологиясына да үміт артады, бірақ теория мен практика ортасында байсалды жол ұстанады.

• Биологикалық биховиоризм(Biological): Адам зердесінің жүйке жүйесіне қатысына айырықша мән береді;

• Ішкі биховиоризм (Interbehaviorism):J. R. Kantor, L. Hayes、E. Ribes、S. Bijou секілділердің зерттеуі. Олар биологиялық бүтіндіктің ішкі барысына, адамның іс-әрекет түйсігіне зерттеу жасайды. Бұдан басқа, бихевиоризмнің теориялық негізін салуға ат салысқан Л. Блумфилд (АҚШ). Бихевиоризм психологиялық бағыттардың бірі негізінде туған, бірақ психологияның ой-сана жайындағы зерттеулерін мойындамайды. Бихевиоризм дескриптивті лингвистикада (Б. Блок), трансформациялық-генеративтік грамматикада (Н. Хомский)тағы басқа кездеседі.