3. Организация поточного производства
Дать определение понятия «поточное производство» и кратко охарактеризовать основные его разновидности. Что такое такт и ритм поточной линии?
Определить такт линии, рассчитать число рабочих мест, количество рабочих и степень их загрузки (занятости), выбрать тип и определить основные параметры конвейера. Определить длительность цикла обработки изделия.
Линия предназначается для сборки блоков управления с выпуском их в количестве 500+10n штук в смену. Шаг конвейера – 1,3 + 0,1n м. Регламентированные перерывы составляют 20 мин. за смену. Режим работы линии - двухсменный. Продолжительность смены – 8 часов. Технологические потери составляют 1,4 + 0,1n % от сменной программы запуска. Процесс сборки характеризуется следующими данными (таблица 3.1.):
Таблица 3.1 - Нормы времени выполнения операции поточного процесса
| № операции | 1 | 2 | 3 | 4 | 5 | 6 | 7 | 8 | 9 |
| Норма времени, мин. | 0,26+0,01n | 0,83+0,01n | 0,24+0,01n | 0,26+0,01n | 0,55+0,01n | 0,78+0,01n | 0,52+0,01n | 0,48+0,01n | 0,12+0,01n |
При выполнении второй операции возможны отклонения фактических затрат времени от нормы в пределах (0,07-0,13)+0,01n мин
Исходя из требуемой программы выпуска блоков управления, определим программу запуска Nз по формуле:

где Nв - сменная программа выпуска изделий, шт.; а - технологические потери

Сменный действительный фонд времени работы линии Fд находим исходя из продолжительности смены Тсм с учетом регламентированных перерывов Тпер по формуле:

В этом случае такт линии равен:

Так как по условию задачи шаг конвейера l0 равен 1,3 + 0,1n м, скорость конвейера определяется отношением:

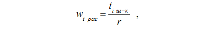
Расчетное число рабочих мест (единиц оборудования) на каждой операции производственного процесса определяют по формуле:

где ti ш-к - штучно-калькуляционная норма времени на выполнение i-той операции, мин.
Фактическое число рабочих мест wi фак. определяется путем округления до целых расчетных значений w i рас
Коэффициент загрузки оборудования на каждой операции kз.о.i. определяется по формуле:

Нормальная длина зоны для операции lнi определяется по формуле

Результаты расчета должны быть сведены в таблицу 3.2.Таблица 3.2 - Результаты расчета параметров линии

В случае, если перегрузка оборудования на рабочем месте не превышает 10 % она может быть ликвидирована при отладке линии. Учитывая сборочный характер операций проектируемого поточного процесса, выбираем непрерывно-поточную линию с рабочим конвейером. Общее количество рабочих мест на линии составит:

Явочное количество рабочих определяется количеством рабочих мест:

Списочное количество рабочих определяется по формуле

где f - количество рабочих смен;
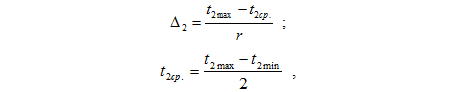
b - потери рабочего времени (примем b = 0). Учитывая, что по условиям задачи при выполнении второй операции возможны отклонения фактических затрат времени от нормы, следует определить длину резервной зоны данной операции

где 2 - число резервных делении, которое нужно добавить к нормальной длине зоны второй операции lH2;

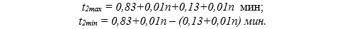
где - t2max , t2min , t2ср. - максимальная, минимальная и средняя продолжительность 2-ой операции В нашем случае:

Полученное значение 2 округляется до целых. Тогда общая длина рабочей зоны 2-ой операции:

Длительность цикла сборки блока управления определяется по формуле:
