Оценка формирования инновационной экономики. Критерии структурных сдвигов в экономике и критерии ресурсных сдвигов. Критерии эффективности каждого подпроцесса и инновационного процесса в целом. Дифференциация критериев эффективности инновационного подпроцесса в зависимости от уровня хозяйствования.
Оценка инновационного уровня экономики осуществляется при помощи системы индикаторов, часть из которых не является критерием эффективности. В классификации оценок инновационного уровня экономической системы можно выделить следующие группы показателей: показатели результата инновационной деятельности; показатели затрат на инновационную деятельность; показатели, соотносящие затраты и результаты инновационной деятельности.
В настоящее время в мониторинге инновационной деятельности в Казахстане, вообще не включены показатели, соотносящие затраты и результаты инновационной деятельности промышленных предприятий, а показатели результатов и затрат на инновационную деятельность в основном содержат только статичные показатели, что не позволяет дать объективную оценку инновационной деятельности. Вместе с тем, показатели соотношения затрат и результатов инновационной деятельности являются основой для уточнения инновационного уровня экономических систем.
Система показателей инновационного уровня, объединяющая статичные показатели состояния экономических систем, должна быть дополнена группой показателей, позволяющих оценить характер динамики их развития.
Результатами инновационной деятельности должны стать разработанные инновационные проекты.
Инновационный проект – представляет собой систему взаимообусловленных, взаимоувязанных мероприятий, направленных на достижение конкретных целей и задач на приоритетных направлениях развития науки и техники.
Виды эффективности инновационного проекта:
Республиканская значимость связана с решением проблем государственного масштаба во всех сферах жизнедеятельности населения с республиканскими целями научно-инновационного и социально-экономического развития. Соответственно, основными составляющими будут являться: получение, взаимодействие и взаимовлияние коммерческой, бюджетной и народнохозяйственной эффективности. На их получение, в целом, большую роль играет получение в совокупности следующих результатов: экологических, научно-технических, социальных и экономических.
Региональная значимость отражает цели реализации потенциала территории, степень решения свойственных данному региону социальных и экологических проблем.
Отраслевая значимость фиксирует влияние проекта на решение общеотраслевых проблем, важных для многих хозяйствующих субъектов в отрасли. Значимость проекта для хозяйствующего субъекта оценивается с позиции усиления его роли на рынке в связи с решением технологических, экономических, социальных, экологических проблем.
Научно-техническая оценка должна ответить на следующие вопросы: во-первых, насколько принятые технические решения соответствуют современным технологическим требованиям в индустриально развитых странах, способствуют движению к новому технологическому укладу производства; во-вторых, каковы уровень и масштаб новизны проекта, его составных частей, наличие интеллектуального продукта или защищенной патентами интеллектуальной собственности; в-третьих, насколько перспективны заложенные в проект принципы технологии и технического оснащения, на какой рынок: внутренний, внешний (развитых, развивающихся стран) ориентируется выпуск новой продукции. Для научно-технической оценки проекта могут быть отобраны 1–4 существенных параметра, интересующих пользователей продукции, услуги, технологии, способов выполнения работ. Все другие параметры должны укладываться в рамки некоторых стандартов или общепринятого уровня, то есть участвовать в качестве ограничений.
Экономические оценки проекта представляют систему показателей, отражающих соотношение затрат и результатов каждого его участника. Рыночные критерии (максимизация дохода и конкуренция) предопределяют в составе экономической оценки проекта:
- оценку рыночной потребности и объема продажи во временном аспекте;
- оценку реальных потоков продукции, инвестиций, текущих затрат, финансовой деятельности;
- оценку прогнозной цены, сопряженной с величиной издержек, размерами валового и чистого дохода, изменением ссудного процента, темпов инфляции;
- оценку интегрального показателя народнохозяйственной эффективности.
Цель оценки проекта – улучшение использования ресурсов: трудовых, материальных, финансовых потенциалов региона; оценка дохода от продажи интеллектуальной собственности, создаваемой в ходе осуществления проекта, и другие с точки зрения интересов: республиканских, региональных, отраслевых и хозяйствующих субъектов.
Социальные оценки отражают вклад проекта в улучшении социальной среды и, в конечном счете – повышение качества жизни людей, характеризуемое оценками:
- уровня жизни – доходы населения (средняя заработная плата и другие выплаты); обеспеченность населения товарами и услугами потребительского назначения; цены и тарифы на товары и услуги; потребление населением продуктов питания, непродовольственных товаров и услуг, обеспечение жильем и коммунальными услугами;
- образа жизни – занятость населения (количество новых рабочих мест), подготовка кадров (численность работников, которые пройдут переподготовку, повысят квалификацию, получат новую профессию); обеспечение населения объектами просвещения, культуры, искусства, спорта, сети дошкольных учреждений, доступность и степень их использования; социальная безопасность (снижение правонарушений и преступности);
- здоровье и продолжительность жизни – улучшение условий труда (сокращение числа рабочих мест с тяжелыми и вредными условиями труда, профессиональных заболеваний и производственного травматизма); развитие сферы здравоохранения.
Социальные оценки инновационного проекта могут быть двух видов: социально-целевой направленности проекта и социальных последствий проекта. В первом случае социальная оценка входят в состав его целей; во втором случае – как вторичные, возникающие в результате реализации проекта, как его последствия.
Экологические оценки инновационного проекта состоят из:
- уровня выбросов и отходов в окружающую среду (водный, воздушный бассейны, земельные ресурсы, лесные ресурсы, животный мир). Оценка производится в сравнении с ПДК вредных веществ и ПДУ воздействий на окружающую среду, а также с помощью показателей и характеристик, по которым не установлены предельные нормативные значения. Затем может оцениваться влияние объекта на экологическую емкость территории, уровень которой не должен снижаться при введении в эксплуатацию новшества, а также экологический риск: вероятность и тяжесть возможных катастроф, связанных с инновациями;
- безотходности производства за счет замкнутого технологического цикла переработки ресурсов или благодаря переработке образующихся отходов. Оценки фиксируют полностью или частично безотходные технологии, а также степень утилизации отходов производства, организации оборотного водоснабжения, малоотходных и бессточных производств;
- приближение к биосферосовместимому типу технологии – оценки технологии с позиции степени перехода с природоперерабатывающего типа производства на процессы, близкие к естественным, с замкнутым вещественно-энергетическим циклом, или сокращения объема переработки природных ресурсов. Оценки могут состоять в констатации традиционно принятого в проекте типа природопользования или в регистрации технологических изменений, перспективных по созданию нового типа природопользования и заданной среды обитания.
Особую значимость в экологической оценке инновационных проектов приобретают аспекты экологической безопасности. Создание сложных технологических систем приводит к резкому возрастанию техногенных нагрузок, угрозе экологической безопасности и экологическому риску. Масштаб негативных последствий в таких случаях несопоставим с неблагоприятными последствиями эксплуатации машинной техники и технологии. Поэтому все более повышаются требования к качеству проектирования, изготовления, эксплуатации сложных технических систем, их надежности, создания технических средств, автоматически блокирующих последствия недостатков в уровне организации труда, техники и технологии, предотвращения аварий и ликвидации их последствий.
Использование комплексного и системного анализа позволяет выделить два взаимодополняющих подхода к оценке эффективности инновационных проектов: качественный и количественный. Качественный (целевой) подход ориентирован на оценку эффективности проекта с точки зрения его максимального соответствия поставленным темам. Как известно, система внутрифирменного целеполагания строится на выделении и ранжировании сначала общих, а затем специфических целей компании по их приоритетности. Если для достижения этих целей требуется проведение определенных инноваций, то из рассматриваемых альтернатив выбирается та, которая максимально приближает компанию (или отдельное подразделение) к достижению поставленной цели. Таким образом, оценивается стратегическая эффективность нововведения в плане получения долгосрочных рыночных преимуществ. Данный метод основан на умении руководителя предвидеть прогнозировать будущие рыночные ситуации, определять факторы будущей конкурентоспособности компании, ставить достижимые цели и находить новые пути их достижения.
В силу ограниченности внутрифирменных ресурсов и необходимости изыскания финансовых средств для реализации инновационных проектов представляется целесообразным использование и количественных методов их эффективности.
Количественный или затратный, метод оценки инновационных проектов связан с рентабельностью и доходностью проекта. Здесь возможно использование трех типов оценок: абсолютная доходность проекта, абсолютно сравнительная доходность и сравнительная.
Если оценивается сумма дохода, которая может быть получена инвестором при реализации проекта, то речь идет об абсолютной оценке доходности проекта.
Если инвестор сравнивает возможную сумму абсолютного дохода с нормативом, то он использует абсолютно-сравнительную оценку доходности проекта. Предприниматель может взять для себя самостоятельные нормативы, а может взять общепринятый в практике данного бизнеса норматив.
Возможна ситуация, при которой сравнивается проект не с нормативом, а с альтернативными вариантами проектов, прошедших отбор по нормативу, – сравнительная оценка доходности проекта.
Величина чистого дисконтированного дохода показывает, какова в настоящий момент стоимость средств, ожидаемых в будущем в качестве дохода от реализации данного инвестиционного проекта.
При этом учитываются и затраты, которые совершаются до начала реализации проекта.
Рассчитывая этот показатель, все затраты и доходы по анализируемому проекту приводятся (путем дисконтирования) к одному моменту времени (началу реализации проекта), после чего находится разница между ними.
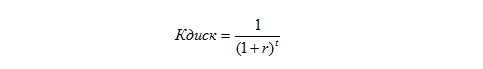
а) коэффициент привидения представляет собой следующий вид
где r – банковский процент или ставка рефинансирования
t – количество лет в течение которого осуществляется проект.
Данный показатель рассчитывается, когда базовые денежные потоки необходимо привести к плановым;
б) коэффициент дисконтирования

Данный показатель применяется, когда будущие денежные потоки необходимо привести к базовому периоду. Коэффициент дисконтирования позволяет оценивать не бухгалтерскую экономическую эффективность (прибыль, которая числится на балансе предприятия), а реальный экономический эффект.
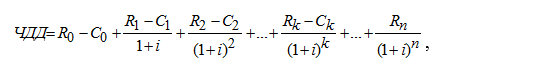
Величина чистого дисконтированного дохода ЧДД определяется по следующей формуле:

где R – размеры доходов по годам (расчетным периодам) реализации проекта;
С – размеры затрат на осуществление проекта по годам (расчетным периодам);
i – ставка процента для дисконтирования, выраженная в долях единицы (например, 9 % –0,09);
k – год (расчетный период) окончания финансирования проекта;
n – год (расчетный период) окончания получения доходов по проекту.
Данная формула приведена для случая использования единого дисконтирующего множителя, то есть предполагается, что процентная ставка дисконтирования в каждом расчетном периоде оставалась неизменной. При переменной процентной ставке дисконтирования по годам (расчетным периодам) реализации проекта расчетная формула несколько усложняется
Если в результате расчета величина чистого дисконтированного дохода получается больше нуля, то проект считается доходным и доходы от его реализации будут тем выше, чем больше значение ЧДД. В случае, если ЧДД равен нулю, то нулю будет равен и ожидаемый инвестором доход. Если ЧДД меньше нуля, то следует ожидать, что инвестор понесет убытки, причем, тем большие, чем больше будет отрицательная величина данного показателя.
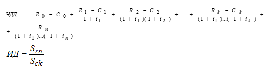
Индекс доходности (ИД) инвестиционного проекта представляет собой отношение суммы приведенных доходов к сумме приведенных затрат на реализацию анализируемого проекта:

где Srn – сумма приведенных доходов от инвестиционного проекта;
Sck – сумма приведенных затрат по инвестиционному проекту.
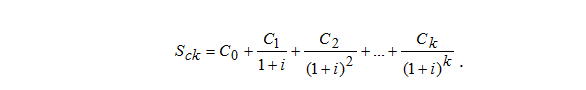
Следует подчеркнуть, что в расчете индекса доходности используются не отдельно взятые значения доходов и затрат по отдельным расчетным периодам, а полные суммы доходов и затрат за весь период реализации проекта, приведенные к одному сроку (времени начала реализации проекта):


В отличие от чистого дисконтированного дохода (абсолютного показателя экономической эффективности, исчисляемого в тенге) индекс доходности – относительный показатель, характеризующий уровень дохода на единицу затрат. Чем больше расчетное значение этого показателя, тем выше отдача от каждого тенге, вложенного в данный проект.
Рентабельность проекта (Р) характеризует его прибыльность и выражается в процентах. Этот показатель также тесно связан с вышеназванными показателями, используемыми для экономической оценки эффективности инвестиций. Его можно рассчитать по формуле:

Очевидно, что чем выше процент рентабельности проекта, тем он привлекательнее для инвестора.
Внутренняя норма доходности (ВНД) представляет собой норму дисконта (%), при которой сумма приведенных доходов равна сумме приведенных затрат:

Это такая норма дисконта, при которой интегральный эффект проекта (чистый дисконтированный доход) становится равным нулю:

Можно сказать, что величина внутренней нормы доходности характеризует как бы внутреннюю «жизнеспособность» проекта и показывает, какую «нагрузку» от увеличения ставки дисконтирования он может выдержать до полной потери своей доходности. Очевидно, что разные инвестиционные/инновационные проекты имеют разный такого рода «запас прочности», а наиболее предпочтительным будет тот, которому соответствует максимальная норма дисконта.