11.1 Персоналдағы қажеттілікті жоспарлау
Персоналдағы қажеттілікті жоспарлау – ұйымдағы жоспарлаудың жалпы процесінің бөлігі. Сәтті кадрлық жоспарлау келесі сұрақтарға жауаптарды білуге негізделеді:
- қанша қазметкер, біліктілігі қандай, қашан және қайда қажет болады;
- қажетті персоналды қалайша тартуға болады немесе қажет емес персоналды қолдануды қалайша қысқартуға немесе оңтайландыруға болады;
- персоналдың қасиеттерімен, білімдерімен және ішкі мотивациямен сәйкес оны қалай жақсы қолдануға болады;
- персоналдың дамуы үшін жағдайларды қалайша қамтамасыз ету керек;
- жоспарланған шаралар қандай шығындарды талап етеді.
11.2 Персоналдағы қажеттілікті бағалау түрлері
Персоналда ұйымның қажеттілігін бағалау сандық және сапалық сипатқа ие болуы мүмкін.
Персоналдағы қажеттілікті сандық бағалау («қанша?» деген сұраққа жауап береді) болжанатын ұйымдық құрылымын (басқару деңгейлері, бөлімшелер саны, жауапкершілікті бөлу), өндіріс технологиясының талаптарын (орындаушылардың біріккен қызметін ұйымдастыру нысаны), маркетингтік жоспарды талдауға, сонымен қатар персоналдың сандық сипаттамаларының өзгеруін болжауға негізделеді. Мұнда толтырылған бос орындардың саны туралы ақпарат маңызды болып табылады.
Персоналдағы қажеттілікті сапалық бағалау – «кімді?» деген сұраққа жауап беру талпынысы. Бұл болжаудың аса күрделі түрі, мұнда ұйымға қажетті персоналдың құндық бағдарлары, мәдениет пен білім деңгейі, кәсіби дағдылары мен ептіліктері ескерілуі керек.
Персоналды бағалаудағы маңыздысы бұл жинастырудың ұйымдық және қаржылық жоспарын әзірлеу болып табылады, ол келесілерден тұрады:
- персоналды тарту бойынша шаралар бағдарламасын әзірлеу;
- кадрларды бағалау әдістерін әзірлеу немесе бейімдеу;
- персоналды тарту мен бағалауға қаржылық шығындарды есептеу;
- бағалау шараларын іске асыру;
- персоналдың даму бағдарламасын әзірлеу;
- персонал дамуының бағдарламасын жүзеге асыруға шығындарды бағалау.
11.3 Персоналдағы қажеттілікті есептеу
Қызметкерлердің қажетті санын және олардың кәсіби мен біліктілік құрамын анықтауға келесілер көмектеседі: өндірістік бағдарлама, өндірім нормалары, еңбек өнімділігін жоғарлатудың жоспарланатын өсуі мен жұмыс құрылымы.
Персонал санын есептеу ағымдағы немесе оперативтік және ұзақ уақыттық немесе перспективалық болуы мүмкін.
Персоналдағы ағымдағы қажеттілік.
Кадрларда кәсіпорынның жалпы қажеттілігі А келесі формула бойынша анықталады:

мұндағы Ч – өндіріс көлемімен анықталатын кадрлардағы базалық қажеттілік;
ДП – кадрлардағы қосымша қажеттілік.
Кадрларда кәсіпорынның базалық қажеттілігі Ч келесі формула бойынша анықталады:

мұндағы ОП – өндіріс көлемі;
В – бір жұмысшыға өндірім.
Аса нақты есептеулер әдетте келесі категориялар бойынша бөлек жүргізіледі:
- кесімді-жұмысшылар (өнімнің еңбек сыйымдылығын, жұмыс уақытының қорын, нормаларды орындау деңгейлерін ескере отырып);
- мерзімді-жұмысшылар (жұмыстың еңбек сыйымдылығы мен бекітілген аймақтарды, персонал санының нормасын, нормаланатын тапсырмалардың еңбек сыйымдылығын, жұмыс уақытының қорын ескере отырып);
- оқушылар (жаңа жұмысшыларды дайындаудағы қажеттіліктерді және оқудың жоспарлы мерзімін ескере отырып);
- қызмет көрсететін персонал (штаттық кесте мен типтік нормаларға бағдарлана отырып);
- басқарушы персонал (басқару нормасынан анықталады).
Кадрлардағы қосымша қажеттілік ДП – бұл жалпы қажеттілік пен есепті кезең басына персоналдың бар болуы арасындағы айырмашылық.
Қосымша қажеттілікті есептеу кезінде ескеріледі:
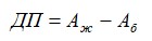
- кәсіпорынның дамуы (өндірістің ұлғаюымен байланысты лауазымдар өсімін ғылыми негізделген анықтауы).

мұндағы Аж және Аб – жоспарлы және базалық кезеңдерге мамандардағы жалпы қажеттілік;
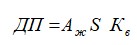
- мамандар қызметін уақытша алатын практиктерді жартылай ауыстыру:

мұндағы Кв – мамандардың шығу коэффициенті (тәжірибе көрсеткендей жылына жалпы санынан 2-4 %);
- маман мен басшы лауазымдарын алатын қызметкерлердің табиғи шығуын толтыру (кадрлық құрамының демографиялық көрсеткіштерін бағалау, өлімді есептеу);
- қызметкерлердің күтілетін шығуынан, бекітілген штаттардан бос қызмет орындары.
Мамандардағы ұзақ уақыттық қажеттілік. Бұл есептеу жоспарлау тереңдігі үш жылдан аса кезеңге жүзеге асырылады. Болашаққа мамандарға қажеттілікті анықтау және сала мен өндіріс дамуының толық жоспарларының болмауы кезінде мамандармен қанығу коэффициентін есептеу әдісі қолданылады (мамандар санының өндіріс көлеміне қатынасы арқылы есептелінеді). Бұл көрсеткішті есепке ала отырып А (мамандардағы қажеттілік) келесідей есептелінеді:

мұндағы Чр – жұмысшылардың орташа тізімдік саны;
Кн – мамандармен қанығудың нормативті коэффициенті.
11.4 Аймақтағы кадрлық жағдайды талдау
Аймақтағы кадрлық жағдайды талдау ұйымның қалыптасу сатысында аса маңызды және жобалау мен бизнес-жоспарлау мақсаттары үшін мәнді. Талдаудың басты нәтижесі – аймақтағы жұмыс күші нарығының сегменттерін бөлу.
Келесілер туралы ақпаратты жинау және талдау қажет:
- негізгі кәсіби-жастық топтар;
- кәсіптердің аймақтық нарығы;
- категориялар бойынша еңбекақыны төлеу деңгейі;
- категориялар бойынша жұмысбастылық деңгейі;
- мамандарды даярлайтын және қайта даярлайтын оқу орындары;
- демографиялық жағдай мен демографиялық болжам;
- аймақ тұрғындарының ұлттық және мәдени ерекшеліктері.
Негізгі кәсіби-жастық топтардың талдауын өткізу отырып, елге тән сипаттық ерекшеліктерді ескеру керек. Мысалы, жас қызметкерлер үшін мансаптың басталуымен және заманауи мамандықтарды меңгеру дайындығымен байланысты ерекшеліктер тән. Бір жағынан мансаптың басталуы – бұл жеткіліксіз тәжірибелік дағдылар, басқа жағынан – жұмыс үрдісіне үлкен эмоционалдық тартымдығы. Белгілі талаптарға жауап беретін орта жастағы қызметкерлер арасында басшыларды таңдау орынды.
Кәсіптердің аймақтық нарығын талдау нәтижесі қызметкерлердің келесі негізгі категориялары бойынша сандық және сапалық көрсеткіштер болуы керек:
- физикалық емес еңбек жұмысшыларының жоғары қабаты;
- физикалық емес еңбек жұмысшыларының төменгі қабаты;
- дене еңбегі жұмысшыларының жоғары қабаты;
- дене еңбегі жұмысшыларының төменгі қабаты;
- фермерлер мен ауылшаруашылық жұмысшылары.
Категориялар бойынша еңбекақыны төлеу деңгейін талдау аймақтағы ресми статистика мәліметтеріне ғана емес, сонымен бірге арнайы әлеуметтанулық зерттеулер нәтижелеріне және баспасөз материалдарының контент-талдауына да негізделуі жөн. Бұл категориялар бойынша жұмысбастылық деңгейі мен мамандарды даярлайтын және қайта даярлайтын оқу орындарын бағалауға қатысты болуы керек.
Аймақтағы демографиялық жағдайды бағалау мен демографиялық болжам келесілерге негізделеді: халықтың саны, аймақтың жастық құрылымы, халықтың табиғи өсімін бағалау, туу деңгейі, көші-қон деңгейі.
Бақылау сұрақтары
1. Персоналдағы қажеттілікті жоспарлау.
2. Персоналдағы қажеттілікті бағалау түрлері.
3. Персоналдағы қажеттілікті есептеу.
4. Статистикалық жинақтар мәліметтеріне сәйкес Павлодар облысының кадрлық жағдайының талдауын өткізу.