13.1 Персоналды қабылдауға ықпал ететін факторлар
Персоналды қабылдаудың мақсаты барлық жұмыс орындарына кандидаттардың резервін құрудан тұрады.
Қабылдауды жүзеге асыра отырып, персонал қызметі персоналдың оңтайлы санын анықтаудан басталуы керек. Персонал қызметінің міндеті ұйымның кадрлық құрамы алдында тұрған өндірістік міндеттерге оның сәйкестігін бақылауды жүзеге асырудан тұрады.
Кандидаттарды қабылдау процесіне ішкі және сыртқы орта факторлары әсер етеді.
Ішкі орта факторлары:
- заңнамалық шектеулер;
- жұмыс күші нарығындағы жағдай;
- нарықта жұмыс күшінің құрамы мен ұйымның орналасуы.
Сыртқы орта факторлары:
- кадрлық саясат – персоналмен жұмыс қағидалары, стратегиялық кадрлық бағдарламалар;
- ұйым бейнесі – жұмыс орны ретінде ол қаншалықты тартымды деп саналады.
13.2 Кандидатпен шешім қабылдау және персонал бойынша менеджердің міндеттері
Кандидатпен ұйымды таңдау оның өз мақсаттарымен, жоспарларымен және ерекшеліктермен байланысты. Персонал бойынша менеджер үшін адам қалай жұмыс іздейді деген түсінік кандидатты тартудың тиімді процесін ұйымдастыруға көмектесуі мүмкін (13.1-кесте).
13.1-кесте
|
Потенциалды кандидаттың әрекеттері |
Персонал бойынша менеджердің міндеттері |
|
Бірінші қадам. Қызметтік жоғарлаудың соңғы мақсатын анықтау және бұл мақсаттағы жолда жұмыс орындардың реттілігі. Ұйымда ұсынылатын орындарды соңғы немесе аралық жұмыс орны көзқарасынан қарастыруға мүмкіндік береді. |
Жұмыс орны нарығын талдау және мүмкін сегменттерді бөлу. |
|
Екінші қадам. Ұсынылатын жұмыс орындары туралы ақпараттың ағымдағы көздерін анықтау. |
Потенциалды кандидат үшін лайықты ақпаратты алу тәсілдерін талдау. Кандидатты тартуға болатын еңбек нарығының сегментіне әртүрлі бұқаралық ақпарат құралдарының ықпалдылығын бағалау |
|
Үшінші қадам. Ұсынылатын жұмыс орындарын талдау, оларды бір-бірімен келесілер бойынша салыстыру: - өнеркәсіп салалары; - компания типтері; - ұсынылған қызметтер; - басқа негіздеулер. Кандидат бәсекелестік парағын қалыптастырады және әртүрлі ұйымдарда өз мотивациясының ерекшелігіне байланысты ұсынылатын жағдайларды (марапаттау көлемі, лауазымдық өсу мүмкіндігі, кәсіби даму мүмкіндігі және т.б. бойынша) салыстырады. |
Бәсекелес ұсыныстарды талдау және қажет болған жағдайда өзіңіздің компания үшін дәлелдемелер тәсілдерін әзірлеу. Сіздің потенциалды клиентіңіз үшін маңызды болып табылатын қосымша параметрлерді ұсыну. |
|
Төртінші қадам. Кандидаттың өз мүмкіндіктерін талдау. Бұл іріктеу процедурасын өту кезінде аса сәтті дәлелдемелерді құруға мүмкіндік береді. |
Кандидатпен келіссөздер кезінде икемді тәсіл. Кандидаттың келешегі болған жағдайда функционалдық міндеттемелерін, мәртебесін өзгерту мүмкіндігі. Кандидаттың келешегін бағалау, мансапты жобалау. |
|
Бесінші қадам. Мансаптық өсу процесінде бір жұмыс орнынан басқасына ауысуы үшін үнемі бақылау, жұмыс орындарының жаңа ұсыныстарын және жеке тұлғалық мүмкіндіктерінің өзгерістерін бақылау. |
|
13.3 Сызықтық менеджер мен персонал бойынша менеджердің функциялары
Ірі ұйымдарда персоналды қабылдауды персоналды басқару бойынша бөлім жүзеге асырады. Мамандарды іріктеуге сұраулар сызықтық менеджерлерден де түсуі мүмкін. Қабылдау процедурасын іріктеу мен қабылдауды жүзеге асыру кезінде персонал бойынша менеджерлер сызықтық менеджерлермен тығыз байланыста жұмыс істейді. Менеджерлердің әрекеттерін 13.2-кестеде көрсетілген.
13.2-кесте – Менеджерлердің әрекеттері
|
Жұмысқа қабылдау процедурасы |
Сызықтық менеджердің әрекеттері |
Персонал бойынша менеджердің әрекеттері |
|
Жұмысқа қабылдау міндеттерін қою |
Міндеттерді қою және персонал бойынша менеджерден кеңес алу |
Жұмыс күші нарығының жағдайы бойынша сызықтық менеджермен кеңес |
|
Қабылдау көздері туралы шешім және қабылдауға қатысты компания саясатын бекіту |
Қабылдау саясаты туралы шешім қабылдау, персонал бойынша менеджерден кеңес алу |
Жұмысқа қабылдау жағдайында кәсіпорында кандидаттың мүмкін мәртебесі туралы сызықтық менеджермен кеңес |
|
Қабылдау әдістері туралы шешім |
Қабылдау әдістері бойынша персонал бойынша менеджермен кеңес |
Қабылдау әдістерін анықтау және сызықтық менеджерден кеңес алу |
|
Колледжерлерден үміткерлерді қабылдау |
Кейде колледждер түлектерін |
Колледждерден қызметкерлерді қабылдау |
|
Қабылдау тиімділігін зерттеу |
Қабылдау шығындары мен пайдаларын талдау |
Қабылдау шығындары мен пайдаларын талдау |
13.4 Персоналды тарту көздері
Ішкі көздер – бұл ұйымда жұмыс істейтін адамдар. Ішкі көздерден персоналды қабылдау әдістері әралуан.
Ішкі конкурс. Персонал қызметі барлық бөлімшелерге пайда болған бос орындар туралы ақпаратты жіберуі мүмкін, барлық жұмыс істейтін адамдарды ол туралы хабардар етуі мүмкін, олардан өз таныстары мен жолдастарын ұсынуды сұрауы мүмкін.
Кейбір француз фирмалар персоналды қабылдаудың ішкі көздерін үш жағдайда қолданады:
- персоналдың минималды санын қалыптастыруға ұмтылу кезінде (персонал жартылай босатылады және қайта бөлінеді, кадрлық қызмет кадрларды сыртқы қабылдаудан толығымен бас тартады);
- персоналды қайта бөлу кезінде;
- персоналдың орынын ауыстыру кезінде.
Кәсіптерді қоса атқару. Бұл жағдайда фирма жұмысшыларының өздері лауазымдарды қоса атқаруды қолдану орынды (егер атқарушы жұмыстың үлкен емес көлемін орындау үшін қысқа уақытқа ғана қажет болғанда).
Алмастыру (ротация). Қарқынды өсу сатысындағы кейбір ұйымдар үшін аса тиімді болып басшылардың орнын ауыстыру сияқты басқарушылық кадрларды құрудың ішкі көздерін қолдану табылады. Басшылардың орнын ауыстырудың келесі нұсқалары мүмкін:
- лауазымдық міндеттер шеңберін кеңейтумен (немесе қысқартумен), құқықтарды көбейтумен (төмендетумен) және қызмет деңгейін жоғарлатумен (төмендетумен) лауазымдағы жоғарлау (төмендеу);
- басшыға аса күрделі міндеттер берумен біліктілік деңгейін жоғарлату (лауазым бойынша жоғарламайды, бірақ еңбекақысы өседі);
- біліктіліктің жоғарлауымен болмаған, еңбекақының өсуі мен лауазымдағы жоғарлауы болмаған жағдайда міндеттер мен міндеттемелер шеңберін ауыстыру.
Мұндай типтегі (ротациялар) алмастырулар ой-өрісінің кеңеюіне, басқарушылық біліктіліктің жоғарлауына алып келеді және ұйым қызметкерлерінің лауазымдық өсуімен болады.
Персоналды іріктеудің сыртқы көздеріне қазіргі уақытта ұйымда жұмыс істемейтін, бірақ онда жұмыс істей алатын адамдардың бүкіл саны жатады.
Жұмыспен қамту орталығы. Көптеген фирмалар мен компаниялар адамдарды жалдау үшін жергілікті жұмыспен қамту орталықтарын қолданады. Бұл қызметтер аса білікті емес персоналды табуға көмектеседі. Әдетте жұмыспен қамту қызметі арқылы бұрынғы кәсіпорындардың банкроттығынан жұмысын жоғалтқан және жаңа мамандықты меңгеру үшін қайта оқудан (қайта дайындықтан) өткен мамандар жұмысқа орналасады.
Жалдау бойынша агенттіктер (кадрлық агенттіктер). Персонал бойынша көптеген менеджерлер уақытты үнемдеу үшін және жаңа персоналды іздеу кезінде қиындықтардан құтылу үшін жалдау бойынша агенттіктердің қызметін қолданады. Агенттікке лауазымды, қызметақыны, қызмет мазмұнын, іздеу мен іріктеудің критерийлерін көрсетумен мамандарға тапсырыстар ұсынылады. Әдетте, жақсы жұмыс істейтін агенттіктер жұмыс беруші өз таңдауын дербес жасауы үшін бірнеше кандидатты ұсынады. Ұсынылған мамандарға «кепілдік» берілуі мүмкін, ол өз қалауы бойынша немесе ескертілген уақыт ішінде біліксіздігі бойынша маманның жұмыстан босатылуы жағдайында күшіне енеді. Бұл жағдайда агенттік берілген қызметке басқа кандидаттарды тегін ұсынуы міндетті.
Бұқаралық ақпараттар құралдары арқылы дербес іздеу. Көптеген байыпты фирмалар жұмысқа кандидаттарды өздері іздеуді және таңдауды қалайды. Аса лайықты кандидаттардың назарын аудару үшін ақпараттық хабарламаны дұрыс тұжырымдау қажет. Хабарламада сізді қызықтыратын персоналдың кейбір ерекшеліктерін (қабылдау кезінде шектеулерді) көрсету орынды, мысалы, білімі, жұмыстың ерекше тәжірибесі немесе практикалық тәжірибенің болмауы.
Кадрлармен ұйымдарды қамтамасыз етудің әртүрлі көздерінің кейбір артықшылықтары мен кемшіліктері 13.3-кестеде келтірілген.
13.3-кесте
|
Көздер |
Артықшылықтары |
Кемшіліктері |
|
Ішкі |
Ұйым ішінде өзін-өзі көрсету мүмкіндігі сәтті жұмысты марапаттау ретінде қабылданады. Ұйым үшін белгілі қызметкерлермен жұмыс жалғасады, сонымен қатар персоналды іріктеуге қаржылық шығындар қысқарады. |
Қызметкерлер арасында жеке өзара қатынастарының шиеленісу тәуекелдігі мүмкін, «сыбайластық» («тамырластық») пайда болуы мүмкін. |
|
Сыртқы |
Кандидаттардың үлкен санынан таңдау мүмкіндігі. Жаңа адамдар – жаңа идеялар мен жұмыс тәсілдері. |
Жаңа қызметкердің бейімделуі, бұрын жұмыс істеп жатқан адамдар арасында моральдық-психологиялық климаттың нашарлауы. |
Қабылдауға баламалар. Жаңа қызметкерлерді іріктеу туралы шешімді қабылдар алдында қабылдауға балама болып табылатын барлық құралдар ұйымда қолданылғанын анықтау орынды. Оларға жатады:
- мерзімнен тыс жұмыс, еңбек қарқындылығын жоғарлату;
- құрылымдық қайта ұйымдастыру немесе өндірістің жаңа схемаларын қолдану;
- уақытша жалдау;
- қызметтің кейбір түрлерін жүзеге асыру үшін мамандандырылған фирмаларды тарту.
13.5 Персоналды тартуға шығындар
Персоналды іріктеу алдында ұйымның қаржылық жоспарында шығындарды ескеру керек. Егер ұйым қызметкерлерді іріктеу үшін жалдау бойынша агенттікті қолданса, онда оның шығындары бұл қызметкердің екі жұмалық жалақысынан кем емес болады, ал егер ұйымды қызықтыратын адам маман болып табылса, онда шығындар оның айлық немесе жарты айлық қызметақысына тең болады. Мұндай агенттіктердің қызметтерін қолдану бір жағынан ұйымның штаттық қызметкерлерінің уақытын үнемдейді, себебі сыртқы кадрлық кеңес берушілер кандидаттарды алдын ала іріктеу бойынша жұмыстың үлкен бөлігін жүзеге асырады. Басқа жағынан, агенттіктердің қызметкерлерінде ұйым стратегиясы, оның мәдениеті мен басшыларының ерекшеліктері туралы қажетті ақпарат болмауы мүмкін, бұл әртүрлі түсінбестіктерге алып келуі мүмкін. Бұл жағдайда ұйымның шығындары елеулі болуы мүмкін.
Персоналды іріктеудің ең арзан тәсілінің бірі ұйымда жұмыс істейтін қызметкерлер арқылы кандидаттарды іздеу (жұмыс қажет олардың достары немесе туыстары) болып табылады. Бұл тәсіл елеулі шығындарды талап етпейді, себебі ұйым қызметкерлері іздеу және іріктеу бойынша да жұмыстың едәуір бөлігін орындайды.
Көптеген зерттеулер мәліметтері бойынша персоналды іздеу мен іріктеудің бүгінгі күні қолданылатын әдістерінің экономикалық тиімділігіндегі айырмашылықтар туралы айтуға болады. Бұл әдістерді салыстыру үшін негіздер ретінде жұмысқа қабылданған қызметкерлерді ұйымның жалпы шығындарымен қатыстыру арқылы көруге болады.
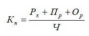
Қабылдау сапасын бағалау. Жаңа қызметкерлерді іздеу мен іріктеу бойынша персонал қызметі жұмысының тиімділігінің сандық көрсеткіштерінен басқа сапалық көрсеткішті де қолдануға болады, ол келесі формула бойынша есептелінеді:

мұндағы Кн – қабылданған қызметкерлердің сапасы, %;
Рк – қабылданған қызметкерлермен орындалған жұмыс сапасының орташа сомалық рейтингі;
Пр – бір жыл ішінде қызмет бойынша жоғарлаған жаңа қызметкерлердің пайызы;
Ор – бір жыл өткеннен кейін жұмыста қалған жаңа қызметкерлердің пайызы;
Ч – есептеу кезінде ескерілген көрсеткіштердің жалпы саны.
Бақылау сұрақтары
1. Персоналды қабылдауға әсер ететін факторлар.
2. Кандидатпен шешім қабылдау және персонал бойынша менеджердің міндеттері.
3. Персоналды тарту көздері.
4. Персоналды тартуға шығындар.