2 Линейные электрические цепи постоянного тока


2.1 Подготовка к практическому занятию

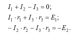
1 На рисунке 1 показаны элементы электрической цепи. При заданных ЭДС источников и сопротивлениях приемников число неизвестных токов равно числу ветвей. Необходимые уравнения для определения токов дают первый и второй законы Кирхгофа:

  • алгебраическая сумма токов в узле равна нулю, т.е. ΣΙ = 0 (n уравнений составляется по первому закону Кирхгофа);
  • алгебраическая сумма падений напряжения на сопротивлениях контура равна алгебраической сумме ЭДС в контуре, т.е. ΣrΙ =Е (m уравнений составляется по второму закону Кирхгофа).

Если в схеме y узлов и b ветвей, то n= y-1 и m= b- n. Таким образом, число уравнений, составляемых по первому закону Кирхгофа, равно числу узлов минус единица, а все остальные уравнения составляются по второму закону

Для цепи на рисунке 1 можно показать, что система трех уравнений Кирхгофа может быть заменена двумя другими уравнениями по методу контурных токов

где I11 и I22 – так называемые контурные токи (расчетные величины, «протекающие» по всем ветвям контура), причем для цепи по рисунку 1

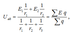
2 Для цепи рисунка 1 выразить токи I1, I2, I3 через заданные ЭДС, напряжение между двумя узлами “a” и “b” Uab и сопротивления по обобщенному закону Ома для участка цепи с ЭДС. Например

3 Пользуясь выражением токов из п. 2, получить формулу для расчета напряжения между узлами цепи с двумя узлами, в частном случае цепи рисунка 1

2.2 Примеры решения задач

2.2.1 Последовательное, параллельное и смешанное соединение резисторов   

Задача 1 Найти показание приборов, если U0 = 60 B; r1 = r3 = 10 Oм; r2 =5 Oм; r4 = 15 Ом; (рисунок 2). 

Решение.  По законам Ома рассчитываем токи ветвей

2.2.2 Законы Кирхгофа и Ома

Задача 6 Найти показание вольтметра, если I1 = 2 A; I3 = 3 A. Сопротивления заданы в Омах, ЭДС в вольтах (рисунок 6).

Решение. Уравнение по второму закону Кирхгофа для контура I

10 I – 15 I1 = 20 - 30, то есть ток I1 = 2 А.

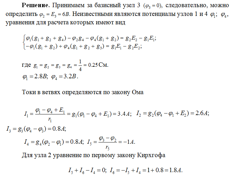
Дано: показание амперметра I1 = 1A. Сопротивление резисторов заданы в Омах, значение ЭДС в вольтах. Используя законы Ома и Кирхгофа, найти токи других ветвей, ЭДС Е1. Решение. Напряжение Uba = 40 – 10I1 = 40 – 10*1 = 30B. Ток второй ветви I2 = Uba/25 = 30/25 = 1,2A. По первому закону Кирхгофа для узла ,,b” для узла ,,а” По второму закону Кирхгофа для контура ,,abcda” имеем 10*I3 + 20*I5 + 15*I4 - 25*I2 = 30 ; то есть По первому закону Кирхгофа для узла ,,c” По второму закону Кирхгофа найдем Е1 15*I6 + 20*I5 = E1; E1= 116,75 B.

Найти показание амперметра, если сопротивления резисторов даны в Омах; Е = 20 В.

 

Решение. Преобразуем треугольник сопротивлений между узлами “а”; “в”; “с” в эквивалентное соединение звездой резисторов R1; R2;  R3.

2.2.3 Метод контурных токов

 Задача 10 Найти токи ветвей методом контурных токов, составить уравнения по законам Кирхгофа (рисунок 8).

ЭДС Е1 = 100 В; Е2 = 60 В; Е3 = 30 В; r1 = r 3 = r 5 = 10 Ом; r 2 = r 4 = 15 Ом; r 6 = r 7 = 25 Ом; J = 2 А

Решение. В схеме 4 узла, ветвей – 6, в том числе одна ветвь с источником тока J. По первому закону Кирхгофа составляется 3 уравнения, по второму закону Кирхгофа - 2 уравнения.

Уравнения по первому закону Кирхгофа:

Задача 11

2.2.4 Методы узловых потенциалов и двух узлов

Задача 12  Рассчитать токи ветвей по методу двух узлов

(рисунок 9).

Дано:

  E1 = 20 В и E2 = 30 В; ток источника тока J = 2 A; резисторы R1 = 5 Ом; R2 = 10 Ом; R3 = R4 = 20 Ом.

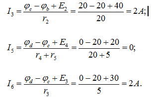
Задача 13 Методом узловых потенциалов найти токи в цепи рисунка 10 при R 1 = R 2 = R 3 = R 4 = 4 Ом; R 5 = 6 Ом; Е 1 = 14 В; Е 2 = 10 В; Е 3 = 6 В.

Знак минус у тока указывает на то, что действительное направление тока этой ветви противоположно выбранному.

Токи ветвей I1 и I4 определяем из уравнений по первому закону Кирхгофа

 

узел ,,b”   I1 + I3 - I2 = 0;  I1 = I2-I3 = 2-2 = 0.

узел ,,d”   I4- I6- I5 = 0;   I4 = I6+ I5 = 2A.

Знак ,,минус” у токов указывает на то, что действительное направление тока противоположно выбранному.

 

Задача 15

Найти входное сопротивление цепи, если сопротивления резисторов даны  в Омах.                

2.3  Задачи для работы в аудитории и домашнего задания

Задача 16 В цепи рисунка 11 амперметр показывает ток 8 А. Определить токи в других ветвях, пользуясь законами Ома и Кирхгофа.

 

 

Задача 17 В цепи рисунка 12 найти все токи, пользуясь законами Кирхгофа, если U=20В. Сопротивления резисторов даны в Омах.

Задача 18 Решить задачу № 19, пользуясь напряжением Uab между узлами по методу двух узлов.

Задача 19 В цепи рисунка 13 найти токи в ветвях: а) пользуясь законами Кирхгофа; б) методом контурных токов.

Задача 20 Решить задачу 17, пользуясь формулой напряжения для цепи с двумя узлами: а) при положительном направлении напряжения U, указанном на рисунке 12) при обратном положительном направлении напряжения U. (Заданное напряжение заменить источником ЭДС Е=U).

Задача 21 Для цепи задачи  17 (рисунок 12) найти величину и направление напряжения U, при котором ток I2=0. Чему в этом случае равны токи I1; I3?

Задача 22 В цепи рисунка 14 ток I2=2А. Пользуясь обобщенным законом Ома и первым законом Кирхгофа, найти все токи. Подсчитать баланс мощности при заданных на рисунке 14 ЭДС и сопротивлениях.