План:
1.Составление алгоритма решения задачи.
2. Решение практических задач по теме занятия.
Задания:
1) Метод Ньютона
Алгоритм метода Ньютона для решения нелинейных систем
1. Задать начальное приближение x(0)и малое положительное число ε (точность). Положить k=0.
2. Решить систему линейных алгебраических уравнений относительно поправки ∆x(k).
3. Вычислить следующее приближение: x(k+1)= x(k)+∆ x(k).
4. Если
, процесс закончить и положить
. Если
, то положить
и перейти к пункту 2.
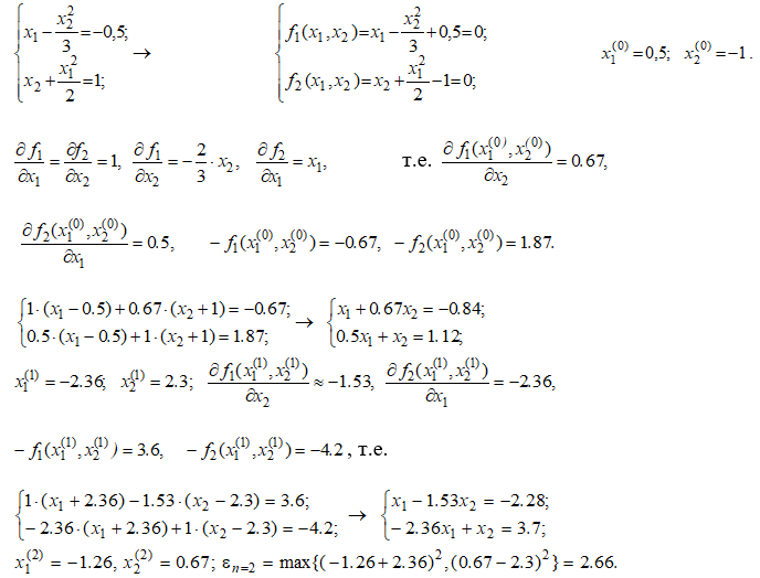
Пример. Решить систему методом Ньютона

При использовании метода Ньютона для решения системы придется последовательно формировать и решать системы линейных уравнений:

k=0, 1,… Для их решения обычно используется метод Гаусса-Зейделя, т.к. вероятность выполнения для всех этих систем достаточного условия сходимости итераций весьма невелика.
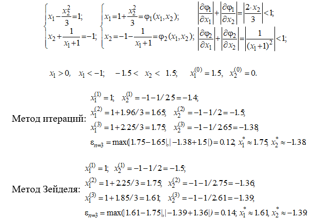
2) Метод простых итераций.
Алгоритм метода простых итераций для систем
1. Задать начальное приближение
и малое положительное число ε (точность). Положить k=0.
2. Вычислить x(k+1)по формуле
или
3. Если
, процесс завершен и
. Если
, то положить
и перейти к п.2.
Пример. Найти корни нелинейной системы уравнений, расположенные в первом квадранте, методом простых итераций с точностью ε = 0,001
3) Метод Зейделя
1. Алгоритм метода Зейделя для решения нелинейных систем
2. Задать начальное приближение x(0)и малое положительное число (точность). Положить k=0.
Вычислить x(k+1)по формулам где прямоугольниками отмечены значения, которые берутся из предшествующих уравнений на текущей итерации.
3. Если
, процесс завершен и
. Если
, то положить
и перейти к п.2.
Пример. Решить систему методами простых итераций и Зейделя.
Решение:

Решение задач по карточкам, выдаваемым преподавателем
Литература [2], [7], [8], [10].