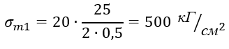
Пример 1. Построить эпюры меридиональных и окружных напряжений для тонкостенного резервуара, в котором находится газ под давлением р0= 20 кГ/см2(рисунок 1.13). Толщина стенки сосуда δ = 5 mm; диаметр срединной поверхности цилиндрической оболочки D= 2R= 500 mm. Резервуар считать невесомым.
Рисунок 1.13 – Геометрические параметры комбинированного сосуда
Решение. Задача, естественно, распадается на две:
1) определение напряжений σm и σt в цилиндрической части резервуара;
2) то же в конической части.
Рассечем цилиндрическую часть резервуара плоскостью, нормальной к его оси, отбросим нижнюю часть и заменим действие отброшенной части на оставленную соответствующими усилиями (рисунок 1.14). Это будут, во-первых, силы, соответствующие напряжениям, σm равномерно распределенным по сечению стенки резервуара, и, во-вторых, силы, обусловленные давлением газа р0, которое согласно «принципу отвердения» можно приложить непосредственно к газу, находящемуся в верхней части резервуара. Эти силы нормальны к секущей плоскости.
Рисунок 1.14 – Расчётная схема верхней части сосуда
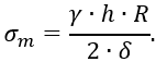
Составим уравнение равновесия для оставленной части сосуда (условие равенства нулю суммы проекций всех сил на вертикальную ось)
Здесь первый член – равнодействующая системы сил, обусловленных возникновением меридиональных напряжений (2πRδ – площадь кольца, образованного сечением стенки резервуара).
Второй член – равнодействующая сил давления газа. Площадь круга, по которой распределено давление р0, вычислена по размерам, указанным на рисунке. 1.14. Однако, учитывая, что
величиной δ по сравнению с 2R можно пренебречь и тогда уравнение равновесия примет вид
откуда
Подставляя числовые данные, получаем
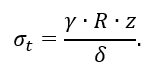
Окружные напряжения σt определим из уравнения Лапласа
В рассматриваемой задаче ρm1=∞; ρm1=R и ρ = ρ0 и уравнение Лапласа упрощается
отсюда
Заметим, что, в рассматриваемом случае можно сначала определить𝜎t1, а не 𝜎m1, так как в уравнение Лапласа величина 𝜎m1 не вошла.
а) параметры конического сечения; б) расчётная схема верхней части конуса; в) расчётная схема нижней части конуса; г) поверхность усечённого конуса
Рисунок 1.15 – Расчётные схемы нижней части сосуда
Для конической части резервуара принципиально задача решается аналогично.
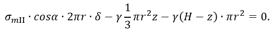
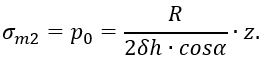
Для определения σm стенку резервуара (рисунок 1.15, а) необходимо разрезать нормальным коническим сечением; газ же удобнее «резать» горизонтальной плоскостью (рисунок 1.15, б, в), так как при этом выражение для равнодействующей сил давления упрощается.
На основе рисунка 1.15, б составим уравнение равновесия сил, действующих на нижнюю оставленную часть сосуда
Здесь σm2 cosa – вертикальная составляющая меридионального напряжения. При определении площади, по которой действует давление рm, учтено, что δ∙≪∙r, т. е. принято(2r-δ)2≈(2r)2. Поверхность усеченного конуса, на которой возникают напряжения σm2 (ее площадь принята равной 2πrδ), показана отдельно на рисунке 1.15, г.
Из составленного уравнения равновесия имеем
Подставляя сюда
что следует из рисунка 1.15, а, получаем окончательно
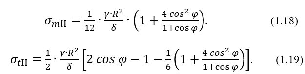
Определим σt2. Очевидно, что в данном случае pm=∞ и из уравнения Лапласа следует/p>
Учитывая, что р = р0 и
получаем окончательно
Рисунок 1.16 – Эпюры напряжений в стенках резервуара
Эпюры напряжений σt и σm , построенные по полученным выражениям при заданных значениях величин р0, R, h, σ, показаны на рисунке 1.16.
Выясним происхождение скачков напряжений при переходе от цилиндрической части резервуара к конической. Скачок в величине σm как следует из сравнения выражений (1.1) и (1.3) (при z = h), появляется за счет cos α в знаменателе выражения (1.3). Механический смысл этого обстоятельства становится ясным, если рассмотреть равновесие бесконечно тонкого пояса, вырезанного на границе стыка двух оболочек, т. е. цилиндрической и конической частей сосуда (рисунок 1.17).
Рисунок 1.17 – Расчётная схема пояса, вырезанного на границе стыка
Поскольку реакция опоры отсутствует (резервуар считается невесомым) и давления р0 сверху и снизу взаимно уравновешиваются, то равновесие возможно лишь при условии (σm2∙cosα) = σm1. Разумеется, этот вывод верен лишь в том случае, если толщины обеих оболочек одинаковы.
Скачок в величине σt определяется скачком в величине p0 в уравнении Лапласа, которое для обеих оболочек принимает вид
Для того чтобы разобраться в сути вопроса, необходимо вспомнить, как получено уравнение Лапласа. А именно, это уравнение следует из условия равенства нулю суммы проекций всех сил, приложенных к бесконечно малому элементу стенки оболочки, на нормаль к срединной поверхности.
Вырезая такие элементы для каждой из оболочек (рисунок 1.18, а) и глядя на каждый из них вдоль образующей (рисунок 1.18, б), убеждаемся, что из условия ρt1 >ρ t2 при равных дугах ds следует dφ2 < dφ1. А поскольку в обоих случаях напряжения σt2 и σt1 должны уравновесить одну и ту же по величине равнодействующую силу давления p0,то из условия dφ2 < dφ1 следует σt2 >σ t1. Если произвести вычисления, то получим
В заключение сделаем одно замечание общего характера. При составлении уравнений равновесия мы умышленно допускали погрешность, имеющую порядок δ/R (пренебрегали величиной δ по сравнению с радиусом срединной поверхности). Дело здесь не только в том, что погрешность эта, мала. Здесь действует гораздо более принципиальное соображение: при решении задач теории оболочек бессмысленно вносить уточнения, имеющие порядок δ/R, поскольку сами соотношения теории оболочек имеют погрешность того же порядка.
а) в пространстве; б) вдоль образующей
Рисунок 1.18 – напряжения σt и σm, действующие на стыке сосуда
Пример 2. Проверить прочность газгольдера (рисунок 1.19): - материал газгольдера – низколегированная сталь с пределом текучести σт = 360 МПа,
- давление газа – р0 = 15 бар.,
- требуемый коэффициент запаса прочности – [nт] = 1,8.
Рисунок 1.19 – Параметры газгольдера
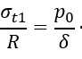
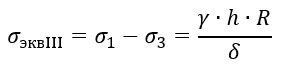
Решение. Как было установлено, в точках стенок резервуаров возникает плоское напряженное состояние, и, следовательно, условие прочности имеет вид
где nт – действительный коэффициент запаса прочности по текучести;
σэкв – эквивалентное напряжение в опасной точке сосуда.
Для определения эквивалентного напряжения в опасной точке сосуда требуется предварительно найти главные напряжения (окружное и меридиональное напряжения) в этой точке.
Применяя метод сечений для цилиндрической части газгольдера (рисунок 1.20, а) и составляя уравнение равновесия
получаем
Напомним, что 1 бар = 0,1 н/мм2 = 0,1МН/м2/p>
а) цилиндрическая часть; б) сферическая часть
Рисунок 1.20 – Расчётная схема газгольдера
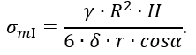
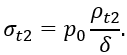
Полагая в уравнении Лапласа ρm=∞, ρ0=R и p=p0, найдем окружное напряжение σtц для цилиндрической части газгольдера
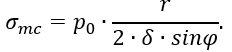
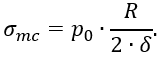
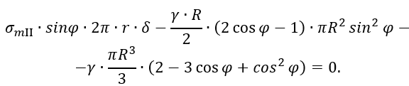
Проделаем то же самое для сферической части. Производя разрез нормальным коническим сечением, отбрасывая левую часть и заменяя ее действие на правую напряжениями σmc и давлением р0 (рисунок 1.2, б), получаем возможность определить σmc в сферической части из уравнения равновесия
Или
Учитывая, что r = Rsin φ, окончательно получаем
Уравнение Лапласа для сферической оболочки (ρm=ρt=R) будет иметь вид
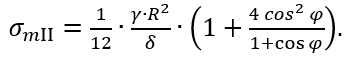
Отсюда
Отметим, что ту же задачу можно было решить значительно проще. Действительно, из симметрии сферической оболочки и симметрии нагружения следует, что σmc=σtc. Тогда, положив в уравнении Лапласа σmc=σtc, получим
или
Эпюры напряжений σm и σt показаны на рисунке 1.21,а.
Очевидно, опасным является цилиндрический участок газгольдера. Элемент, вырезанный в произвольной точке цилиндрического участка, изображен на рисунке 1.21,б. Строго говоря, здесь следовало бы показать и напряжение σr в направлении нормали к срединной поверхности. Однако это напряжение, как уже указывалось, мало по сравнению с σm и σt (наибольшего значения оно достигает у внутренней поверхности, где σr = - p = - 1,5 Н/mm2= -1,5 МПа) и им можно пренебречь.
а) эпюры σt и σm; б) напряжения σt и σm на бесконечно малом элементе цилиндрического участка оболочки
Рисунок 1.21 – Механические напряжения в газгольдере
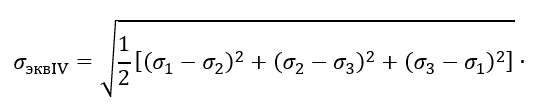
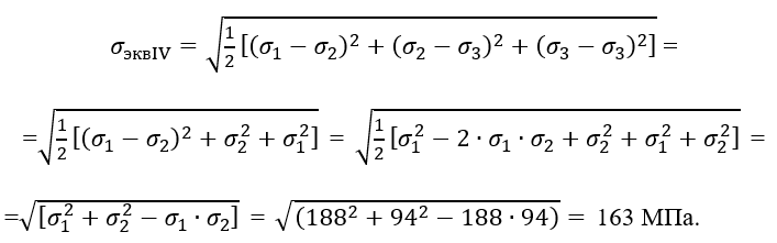
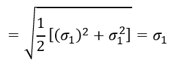
Вычислим эквивалентное напряжение для любой из опасных точек, применив гипотезу прочности энергии формоизменения (IV гипотеза прочности).
Поскольку σtц σmц, то
По четвёртой теории прочности имеем
Коэффициент запаса прочности по отношению к пределу текучести
что примерно на 23% выше требуемого.
В заключение объясним скачок σt при переходе от цилиндрического участка к сферическому. Происхождение этого скачка становится ясным после сравнения элементов, вырезанных из стенок цилиндрического и сферического участков (рисунок 1.22). Действительно, для первого элемента (рисунок 1.22, а) равнодействующая dP сил давления уравновешивается только напряжениями σtц (меридиональные напряжения не дают проекции на нормаль к элементу). Что касается второго элемента (рисунок 1.22, б), то здесь σtс и σmc дают равные проекции на нормаль, вследствие чего каждое из них оказывается в два раза меньше, чем σtц.
а) цилиндрический участок; б) сферический участок
Рисунок 1.22 – Напряжения, действующие на бесконечно малом элементе
Пример 3Сравнить прочность двух заполненных жидкостью резервуаров, отличающихся только условиями закрепления (рисунок 1.18). Применить гипотезу наибольших касательных напряжений.
а) опора сверху; б) опора снизу
Рисунок 1.23 – резервуары с жидкостью
Решение. Задача сводится к сравнению величин эквивалентных напряжений для опасных точек обоих резервуаров. Опасная точка каждого из резервуаров определяется в результате анализа эпюр, показывающих изменение величины эквивалентных напряжений по высоте стенки резервуара, если h, R, δ, γ заданы.
Для той же цели можно ограничиться построением и анализом эпюры главных напряжений, так как по ним легко сопоставить величины эквивалентных напряжений для различных точек стенок.
Уравнение равновесия для первого случая (рисунок 1.24, а) имеет вид
σm∙2πR∙δ-p∙π∙R2-G=0
где р = γ z – гидростатическое давление жидкости на уровне z;
γ – удельный вес жидкости;
G= γ·π·R2·(h—z) – вес жидкости в оставленной (верхней) части резервуара.
а) для опоры сверху; б) для опоры снизу
Рисунок 1.24 – Расчётные схемы резервуаров с жидкостью
Подставив в уравнение равновесия значения р и G, получим
σm∙2πR∙δ-γ∙z∙π∙R2-γ∙π∙R2 (h-z)=0
откуда окончательно
Составляя уравнение равновесия для второго случая (рисунок 1.24,б), имеем
σm∙2πR∙δ-p∙π∙R2+G=0
или после подстановки выражений для р и G
σm∙2πR∙δ-γ∙z∙π∙R2+γ∙π∙R2∙z=0
откуда
σm=0
Столь различные результаты не должны вызывать недоумения. Действительно, и в том и в другом варианте вес всей жидкости воспринимается днищем резервуара. Но во втором случае он непосредственно передается на опору, в то время как в первом случае передача этого усилия на опору осуществляется через стенку резервуара.
Определим окружные напряжения. Очевидно, они в обоих резервуарах будут одинаковы, поскольку закон распределения гидростатического давления не зависит от условий закрепления.
Уравнение Лапласа для цилиндра в обоих случаях имеет вид
так - как в уравнении Лапласа ρt=R, ρm=∞, откуда, полагая p = γ∙z, имеем
Эпюры σm и σt, построенные по полученным зависимостям, показаны на рисунке 1.25. Как следует из этих эпюр, в стенке первого резервуара (рисунок 1.25,а) всюду (за исключением верхней кромки) имеет место плоское напряженное состояние. При этом в верхней части (при z>h/2) σm>σt, следовательно, σ1=σm и σ2=σt, (σ3=0). В нижней же части σt>σm и здесь σ1=σt , а σ2=σm. Таким образом, эпюра σ1 в верхней части будет совпадать с эпюрой σm, а в нижней – с эпюрой σt, а эпюра σ2 – наоборот (рисунок 1.26).
а) для первого резервуара; б) для второго резервуара
Рисунок 1.25 – Эпюры σm и σt
Для второго случая (рисунок 1.25, б) в любой точке стенки возникает линейное напряженное состояние (σm=0, σ1=σt, σ2=σ3=0) и эпюра σt одновременно является эпюрой σ1.
Рисунок 1.26 – Эпюра главных напряжений в стенках первого резервуара
Переходим к окончательному этапу решения задачи – сравнению прочности резервуаров. Опасными в обоих случаях являются точки, лежащие в непосредственной близости к днищам, где наибольших (и равных) значений достигают главные напряжения σ1. Поскольку в выражение для эквивалентного напряжения по третьей теории прочности (гипотезе прочности максимальных касательных напряжений) σ2 не входит, то и в первом и во втором резервуарах
и, следовательно, резервуары равнопрочные.
Для сравнения – по четвёртой теории прочности (гипотезе прочности энергии формоизменения): В первом резервуаре
Во втором резервуаре
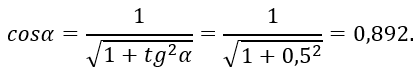
Пример 4. Из условия прочности определить, до какого уровня Н можно заполнить жидкостью с удельным весом γ = 14·103 Н/m3 конический резервуар (рисунок 1.27) при толщине стенки δ = 6 мм, высоте Н0= 9 м и радиусе основания R0= 4,5м. Принять [σ] = 50 Н/мм2. Применить гипотезу наибольших касательных напряжений.
Рисунок 1.27 – Параметры резервуара.
Решение. Искомая величина Н может быть определена из условия прочности, если предварительно эквивалентное напряжение для опасной точки будет выражено через Н.
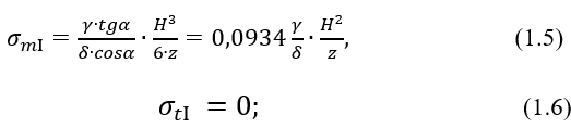
Положим Н < H0. Тогда при построении эпюр напряжений σm и σt будем иметь два участка. Проводя сечение на первом (верхнем) участке (рисунок 1.28, а) и составляя уравнение равновесия, получаем
Здесь
– вес всей жидкости, залитой в резервуар.
Из уравнения равновесия с учетом значения G0 найдем
Учитывая, что r=z∙tgα и R=H∙tgα (рисунок 1.28, а), получаем окончательно
а) I – участок выше уровня жидкости; б) II – участок ниже уровня жидкости
Рисунок 1.28 –
Поскольку на участке I давление на стенку отсутствует, то из уравнения Лапласа следует, что σtI=0.
Перейдем к участку II (нижнему). При составлении уравнения равновесия для нижней отсеченной части здесь кроме веса жидкости
следует учесть равнодействующую сил гидростатического давления, равную γ(H-z)πr2 (рисунок 1.28, б).
Уравнение равновесия будет иметь вид
Отсюда
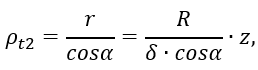
Выражение для σtII получим, как обычно, из уравнения Лапласа, положив в нем 
Таким образом,
или после подстановки r=z∙tgα
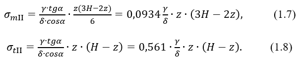
Итак, получены следующие выраженияпри z ≥ H
при z ≤ H
Здесь учтено, что
и
Для построения эпюр необходимо определить точки экстремумов функций σm (z) и σt (z) на втором участке.
Продифференцировав выражения (1.7) и (1.8), найдем, что
Подставив эти значения z в выражения (1.7) и (1.8), получим максимальные значения напряжений max σmII и max σtII:
а) эпюры σm и σt; б) эпюры главных напряжений
Рисунок 1.29 – Эпюры напряжений в стенках резервуара
Эпюры σm и σt, (построенные по выражениям (1.5) – (1.10) для произвольного сечения при 0≤ z ≤H) показаны на рисунке 1.29, а. Как следует из этих эпюр, на верхнем участке и на части нижнего участка σm превышает σt и, таким образом, здесь σ1=σm , σ2=σt и σ3=0. Далее σm и σt «меняются ролями». Чтобы найти значение z1 при котором меридиональное напряжение равно окружному, приравняем правые части выражений σmII и σtII, что приведет к уравнению 4z1-3H=0, откуда z1=0,75H. Следовательно, σm = σt в точке экстремума эпюры σm.
На основе эпюр σm и σt и проведенного анализа строим эпюры главных напряжений (рисунок 1.29, б). Поскольку расчет ведется по третьей теории прочности и так - как σ3 = 0, то эпюра σ1 одновременно является эпюрой σэквIII.(σэквIII=σ1-σ3=σ3).
Как видно, эквивалентное напряжение принимает максимальное значение на расстоянии 0,5H от вершины конуса.
Из условия прочности
или
откуда
Подставив числовые значения, получим
Итак, Н > Нo (Ho = 9,0 м), т. е. допускаемый уровень поверхности жидкости больше высоты резервуара.
Этот результат, хотя формально и лишен смысла, практически означает, что резервуар может быть залит полностью, и при этом будет работать с небольшой недогрузкой. Заметим, что обычно требуемую по условию прочности толщину стенки резервуара увеличивают на 1,5 – 2,5 мм с учетом ее возможного ослабления в результате коррозии материала. Если с учетом сказанного принять в данной задаче расчетную толщину стенки на 2 мм меньше заданной, т. е. δ = 4 мм, то получим H = 10,1 м. Вывод о возможности заливки резервуара до верхней кромки остается в силе.
Пример 5. Определить минимально необходимую толщину стенки резервуара (рисунок 1.30), применив четвёртую теорию прочности. Принять [σ] = 300 кГ/ см2(30 МПа). Удельный вес жидкости, налитой в резервуар, γ = 0,9·10-3 кГ/см3(9000 Н/м3минеральное масло).
Рисунок 1.30 – Параметры резервуара
Решение. Требуемая толщина стенки определится из условия прочности составленного для опасной точки стенки резервуара. Положение «опасной» точки установим, проанализировав эпюры напряжений.
Для определения меридиональных напряжений, возникающих в стенках резервуара, будем проводить нормальные конические сечения (рисунок 1.31, а). В качестве независимой переменной примем угол φ. Радиус r основания сферического сегмента, полученного после отбрасывания верхней части резервуара (рисунок 1.31, б, в), связан с радиусом сферы зависимостью
а) положение произвольного нормального конического сечения; б) сечение выше уровня поверхности жидкости; в) сечение ниже уровня поверхности жидкости
Рисунок 1.31 – Расчётные схемы
Составим уравнение равновесия для нижней отсеченной части, когда сечение проведено выше уровня свободной поверхности жидкости (рисунок 1.31, б)
где γ V0 – вес всей жидкости, залитой в резервуар,
V0 – объем соответствующего сферического сегмента.
Формула для объема сферического сегмента имеет вид
Учитывая, что согласно исходным данным cos φо = 0,5, получаем
Подставляя далее Vo и r в уравнение равновесия, придем к уравнению
откуда
Для участка II (рисунок 1.31, в) уравнение равновесия имеет вид
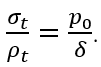
Здесь p – гидростатическое давление на глубине h (рисунок 1.31, а)
Подставляя выражения для r, р и V в уравнение равновесия нижнего участка, получаем
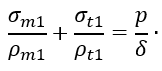
Выражая отсюда σmII и производя несложные преобразования, придем к формуле
Выражения для окружных напряжений получим из уравнения Лапласа, которое для сферической оболочки имеет вид
Поскольку
Подставляя в уравнение (1.16) на верхнем участке р = 0 и σmI согласно выражению (1.12), а на нижнем р и σmII согласно выражениям (1.14) и (1.15), получаем зависимость для σt.
Окончательно имеем следующие формулы для определения меридиональных и окружных напряжений:
для участка I (при 60°≤ φ ≤90°)
для участка II (при 0≤ φ ≤60°)
Полагая согласно исходным данным R= 2 м и γ=0,9∙10-3 кГ/см3=9000 Н/м3, по приведенным соотношениям построим эпюры σm и σt (рисунок 1.32, а) и затем эпюры главных напряжений (рисунок 1.32, б, в).
а) эпюры σm и σt; б) эпюры главных напряжений σ1 и σ2; в) эпюры эквивалентного σэкв и главного σ3 напряжений
Рисунок 1.32 – Эпюры напряжений
При построении эпюр главных напряжений, как обычно, принимаем, что радиальные напряжения равны нулю. Тогда на участке, где σt<0, главные напряжения равны: σ1=σm, σ2=0 и σ3=σt.
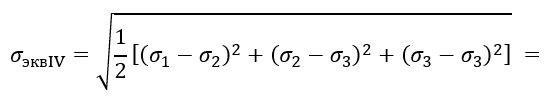
Там же, где σt >0, роль σ2 начинает играть σt, а σ3= 0. Строим эпюру эквивалентных напряжений σэквIV, используя эпюры главных напряжений и применяя формулу
Как следует из этой эпюры (рис. 1.29, б), σэквIV максимально для нижней точки резервуара. Условие прочности имеет вид
откуда
С добавкой на ослабление стенки в результате коррозии следует принять δ = 3 мм.