Дано:
Требуется:
Расчёт
При расчёте собственный вес сосуда не учитывать.
1.1 Определение реакций креплений на сосуд
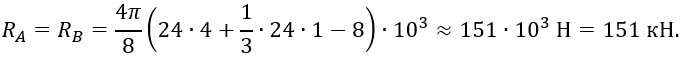
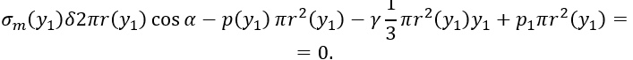
Из условия равновесия сил, действующих на сосуд, из уравнения Σу=0 (рисунок 2.6, а), учитывая, что RA = RB, получим
откуда
Подставив заданные величины, вычислим
а) геометрические параметры и нагрузки; б) эпюры продольных сил в стенках сосуда
Рисунок 2.6 –
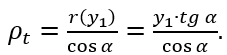
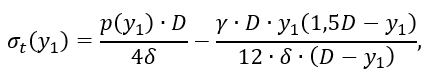
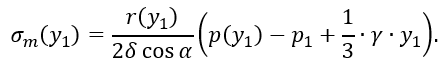
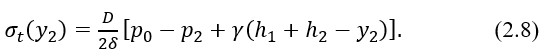
1.2 Определение окружных σt(y1) и меридиональных σm(y1) напряжений на уровне y1 конической части сосуда (рисунок 2.7).
На этом участке: 0 ≤ y1 ≤ h1. Так как ρm = ∞, то по формуле Лапласа
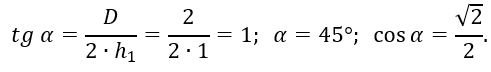
Из геометрии 
Нормальное давление на уровне y1
Тогда окружные напряжения
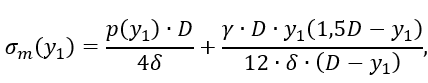
Меридиональные напряжения на том же уровне y1 определим из условия равновесия нижней отсеченной части сосуда (рисунок 2.7)
Отсюда
Подставив значения p(y1) и r(y1)=y1∙tg α, получим
Рисунок 2.7 –
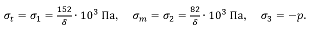
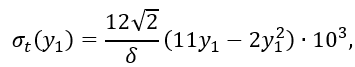
Из формул (2.6) и (2.7) видно, что в конической части сосуда σt и σm изменяются по параболическому закону. Простой анализ показывает, что экстремальные значения σt и σm находятся за пределами h1. Поэтому, для построения эпюр σt и σm на этом участке, вычислим напряжения в трех сечениях по образующей конуса.
Для этого предварительно подставим в формулы (2.6) и (2.7) заданные значения p0; p1; γ; h1; h2 и одновременно учтем, что
После подстановки получим
При y1 = 0, σt = 0, и σm = 0,
при y1 = h1/2 = 0,5 м, σt = 85/δ кПа, σm ≈ 44/δ кПа,
при y1 = h1 = 1 м, σt = 152/δ кПа, σm = 82/δ кПа.
При построении эпюр σt и σm эти значения откладываем перпендикулярно образующей конуса.
Примечание. Если нижнее днище сосуда является полусферическим, то объем отсеченной на уровне y1 части полусферы (рисунок 2.8), то-есть сферического сегмента, равен
Рисунок 2.8 Расчётная схема в произвольном сечении полусферического участка
Рисунок 2.8 – Расчётная схема в произвольном сечении полусферического участка
Для сферы
и по формуле Лапласа 
Из условия равновесия нижней отсеченной части (рисунок 2.8) меридиональные напряжения (для контроля)
а из формулы Лапласа
где p(y1) – только внутреннее давление в сосуде на уровне y1
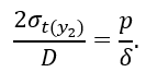
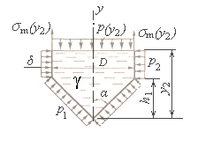
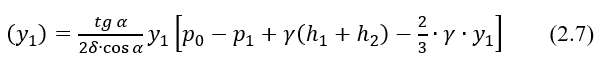
1.3 Определение напряжений в цилиндрической части сосуда ниже уровня крепления
На этом участке: h1 ≤ y2 ≤ (h1 + h2), ρm = ∞, ρt = D/2.
По формуле Лапласа
Нормальное к стенке сосуда давление р на уровне y2 (рисунок 2.9)
Тогда
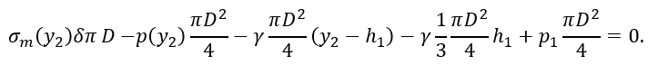
Меридиональные напряжения на том же уровне у2получим из рассмотрения равновесия нижней отсеченной части сосуда (рисунок 2.9)
Рисунок 2.9 – Расчётная схема в произвольном сечении цилиндрического участка
Подставляя значение внутреннего давления p(y2)=p0+γ(h1+h2-y2 ) и произведя сокращения, получим
Из формул (2.8) и (2.9) видно, что в нижней части цилиндрической формы сосуда σm=const, а σt, изменяется по линейному закону. В эти формулы подставим исходные данные и вычислим значения напряжений
При y2=h1=1 м,
при y2=h1+h2=5 м,
1.4 Цилиндрическая часть сосуда выше уровня жидкости, где (h1+h2 )≤y1≤(h1+h2+h3 ), подвергается только внутреннему давлению газа с постоянной интенсивностью р0 (рисунок 2.6, а). На этом участке: ρt=D/2, ρm=∞ и по формуле Лапласа
Из условия равновесия верхней отсеченной части
1.5 В полусферической части сосуда действует равномерное давление р0. Для этой части pt=pm=D/2 и по формуле Лапласа
По вычисленным на всех участках значениях напряжений построены эпюры погонных нормальных сил σt δ и σm δ (рисунок 2.6, б). Эти эпюры должны быть расположены рядом с общей схемой тонкостенного сосуда. По одну сторону от оси симметрии y показана эпюра σt δ, по другую – эпюра σm δ.
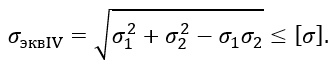
1.6 Определение толщины стенки сосуда. По эпюрам σt δ и σm δ (рисунок 2.6, б) видно, что наиболее напряженными являются точки конической части сосуда по месту стыка с цилиндрической частью. В этих точках (рисунок 2.10) возникает сложное напряженное состояние, причем
При расчете на прочность не будем учитывать влияние р ввиду его малости по сравнению с напряжениями σt и σm.
Рисунок 2.10 – Напряжённое состояние в элементе сосуда
Тогда, считая напряженное состояние плоским из условия прочности по гипотезе максимальных касательных напряжений (III гипотеза прочности)
откуда толщина стенки по этой гипотезе
Для сравнения по гипотезе удельной энергии формоизменения (IV гипотеза прочности) при плоском напряженном состоянии, полагая σ3≈0,
Подставив значения напряжений, получим
Тогда толщина стенки сосуда δIV≥0,825∙10-3≈0,83 мм.
Различие толщины стенки из расчета по Ш и IV гипотезам составляет примерно 13%. Окончательный размер δ практически выбирается с учетом конструктивных особенностей сосуда и условий его эксплатации. В нашем случае примем δ = 1 мм.
1.7 Площадь A поперечного сечения подкрепляющего распорного кольца по месту стыка конической и цилиндрической частей сосуда, определим из расчета на прочность кольца от равномерной радиальной нагрузки q0=σ0∙δ=σmк∙δ∙sinα (рисунок 2.5, а).
Нормальная сжимающая сила в любом поперечном сечении кольца (рисунок 2.11)
Рисунок 2.11 – Расчётная схема в произвольном сечении кольца
По условию прочности
откуда
Подставив числовые значения, получим
Полученные из условий прочности размеры толщины стенки сосуда δ и площади А распорного кольца обычно проверяются расчетом на устойчивость.
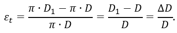
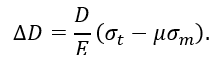
1.8 Изменение диаметра ΔD цилиндрической части сосуда на уровне h1/2, т. е. вдали от краевого эффекта.
Обозначим диаметр сосуда после деформации через D1.
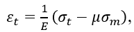
Тогда окружная деформация сосуда
При плоском напряженном состоянии по закону Гука
где E=2∙1011 Па – модуль продольной упругости материала,
μ – коэффициент Пуассона.
Следовательно,
На уровне h1/2 из эпюр напряжений (рисунок 2.6, б) при толщине стенки δ = 1 мм = 10^(-3) м, имеем
Тогда изменение диаметра