11. Планирование совершенствования организации труда


11.1 Определение уровня организации труда

Для планирования и разработки мероприятий по внедрению НОТ необходимо, прежде всего, объективно оценить фактический уровень организации труда на предприятии. Для обеспечения единства в определении этого уровня разработаны Методические основы количественной оценки уровня организации труда, производства и управления на предприятии.

Рассмотрим отдельные показатели, характеризующие уровень организации труда. Это коэффициенты разделения труда, рациональности приемов труда, организации рабочих мест, трудовой дисциплины, нормирования труда и условий труда.

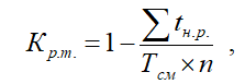
Коэффициент разделения труда (степень специализации рабочих) определяют исходя из величины затрат рабочего времени на выполнение несвойственной работы по формуле:

где  t н.р – суммарное время выполнения рабочими не предусмотренной заданием работы в течение смены, мин.;

Тсм  –   продолжительность рабочей смены, мин.

n   –     численность рабочих, чел.

Коэффициент рациональности приемов труда определяют на основе данных о затратах времени при выполнении одних и тех же операций (работ) группой изучаемых рабочих и передовыми рабочими по формуле:

где t и.р. –  средние затраты времени на выполнение операции (единицы работы) по группе изучаемых рабочих, мин.;

t и.р. – средние затраты времени на выполнение той же операции (единицы работы) передовыми рабочими, мин.;

т   –   количество операций или объем выполненной работы в принятых единицах (шт., т, кг и др.);

Тсм  –  продолжительность рабочей смены, мин.

n   –    численность рабочих в изучаемой группе, чел.

Коэффициент организации рабочих мест характеризует соответствие организации рабочих мест типовым проектам, при разработке которых ставилась задача обеспечить выполнение работы с оптимальными затратами времени без лишних и утомительных движений.

где Nтип. – количество рабочих мест, соответствующих типовым проектам;

Nобщ. – общее количество рабочих мест.

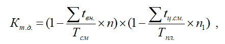
Коэффициент трудовой дисциплины определяют по величине внутрисменных и целосменных потерь рабочего времени, вызванных нарушением трудовой дисциплины, по формуле:

где  t вн.  –  суммарные внутрисменные потери рабочего времени, вызванные нарушением трудовой дисциплины, мин.;

t ц.см – суммарные целосменные потери рабочего времени, вызванные нарушением трудовой дисциплины, смена;

Тсм  –   продолжительность рабочей смены, мин.

n   –     число рабочих, охваченных наблюдением, чел.

Тпл.  –   плановый фонд рабочего времени одного рабочего за рассматриваемый период, смена;

n1    –   число рабочих в данном подразделении, чел.

Коэффициент нормирования труда характеризует состояние нормирования труда. Рассчитывается исходя из охвата рабочих и степени напряженности норм по формуле:

где Ч о.н.  –  численность сдельно и повременно оплачиваемых рабочих, охваченных нормированием труда, чел.;

Чобщ. –  общая численность рабочих на участке, чел;

Кн.н.  –  коэффициент напряженности норм времени и норм обслуживания.

Коэффициент условий труда определяют по данным замеров как среднегеометрическую величину показателей, характеризующих соответствие фактических условий труда (по факторам) нормативным, т.е.:

где  а12,…,ап – индексы соответствия фактических условий труда нормативным факторам (освещенность, запыленность, шум и т.д.);

n   –   количество факторов, характеризующих условия труда, по которым проводились замеры.

Для оценки общего уровня организации труда приведенные выше коэффициенты сводятся в общий показатель, который определяется как среднегеометрическая величина по формуле:

где  к12,…,кп – фактические значения отдельных частных коэффициентов организации труда;

n  –   количество частных коэффициентов.

Результаты оценки организации труда позволяют сопоставить состояние организации труда на различных участках производства и правильно наметить направления ее совершенствования на научной основе.

11.2 Разработка и внедрение планов НОТ

Разработка и внедрение планов НОТ осуществляются с целью улучшения условий труда, обеспечения роста его производительности, повышения эффективности производства на основе использования достижений научно-технического прогресса и передового опыта.

Разработка и внедрение мероприятий по НОТ должны осуществляться последовательно по определенной системе.

Работа по внедрению НОТ начинается с изучения состояния существующей организации труда. Для этого используют данные учета и отчетности; материалы технико-экономических, психофизиологических и социологических исследований.

На следующем этапе проводится анализ собранных данных и проектирование НОТ. В процессе анализа дают количественную оценку уровня существующей организации труда. Полученные данные сопоставляют с нормативными материалами, типовыми проектами и уровнем, достигнутым на передовых предприятиях. Определяют, на каких участках производства и по каким направлениям НОТ необходимо в первую очередь проводить работу. Затем составляется общий проект и разрабатываются конкретные мероприятия.

Проектирование мероприятий по НОТ осуществляется на основе подробных технических заданий, в которых указываются:

  • Цель и содержание разработки, порядок и основные этапы ее проведения.
  • Сроки выполнения заданий на каждом этапе.
  • Трудоемкость работ, затраты на их проведение и ожидаемый экономический результат.
  • Требования к оформлению результатов разработки и перечень предъявляемых заказчику материалов (расчеты, чертежи, схемы, графики и т.д.).

Законченные проекты мероприятий по НОТ вместе со всей документацией и графиком их внедрения утверждает руководство предприятия-заказчика.

Внедрению мероприятий по НОТ предшествует подготовительная работа по материально-техническому обеспечению, разработке нормативной базы и созданию организационных условий для бесперебойного функционирования запланированных мероприятий по НОТ.

В процессе подготовительной работы решаются следующие вопросы:

  • Планы внедрения мероприятий по НОТ доводятся до непосредственных исполнителей. Проводится разъяснительная работа с рабочими о целях, задачах и методах внедрения мероприятий по НОТ.
  • На месте производства работ создаются необходимые условия для внедрения намеченных мероприятий (внедряется новая техника, технология и организация производства; возводятся необходимые бытовые помещения, оборудуются зоны складирования и т.д.).
  • Осуществляется комплектование бригад с учетом их рационального численного и профессионально-квалификационного состава.
  • Осуществляется укомплектование бригад инвентарем, инструментом и приспособлениями.
  • Выдаются аккордные наряды-задания.

По окончании работ внедрение мероприятий по НОТ оформляется актом, в котором указываются краткая характеристика мероприятий, период, объект и объем внедрения, показатели экономической эффективности.

11.3 Оценка экономической эффективности мероприятий по НОТ

Определение экономической эффективности мероприятий по НОТ преследует следующие цели:

  • Выбор наиболее эффективной разработки по научной организации труда.
  • Обоснование планов внедрения мероприятий по НОТ.
  • Составление статистической отчетности о внедрении мероприятий по НОТ.
  • Расчет годового экономического эффекта для премирования работников по мероприятиям, связанным с внедрением новой техники и научной организации труда.

Экономическая эффективность внедряемых мероприятий по НОТ рассчитывается на стадии планирования (ожидаемая эффективность) и после внедрения (фактическая эффективность). Ожидаемая эффективность внедрения мероприятий по НОТ определяется на основе сопоставления планируемых показателей с базисными, фактическая – путем сопоставления показателей достигнутых в результате внедрения мероприятий с базисными. В качестве базисных применяются показатели производственно-хозяйственной деятельности, достигнутые организацией, бригадой, звеном или отдельными работниками до внедрения названных мероприятий.

Для обеспечения достоверности результата сравниваемые показатели должны быть приведены к сопоставимым условиям по объему работ, структуре работ, тарифным ставкам, периоду времени (месяц, квартал) и другим факторам, оказывающим влияние на производительность труда и уровень заработной платы. При этом показатели базисного варианта (до внедрения мероприятий) пересчитываются на условия планируемого варианта (после внедрения мероприятий).

Годовой экономический эффект от внедрения мероприятий по НОТ в общем случае рассчитывается по формуле:

где Эс  - величина снижения себестоимости в расчете на годовой объем работ после внедрения мероприятий, тен.;

0,15 - нормативный коэффициент экономической эффективности;

       Кв  - единовременные затраты на внедрение мероприятий по НОТ, тен.;

Кэ - экономия капитальных вложений в производственные фонды, тен.

Величина снижения себестоимости выполняемых работ Эс в общем случае рассчитывается по формуле:

где Эмт -  экономия затрат по статье «Материалы», тен.;

Эоз -   экономия затрат по статье «Основная заработная плата», тен.;

Эм  -  экономия затрат по статье «Расходы по эксплуатации машин и механизмов», тен.;

Эдз  -  экономия затрат на дополнительную зарплату рабочих, тен.;

Эт  -  экономия накладных расходов, зависящих от трудоемкости работ, тен.;

Эу  -   экономия условно-постоянных расходов, тен.;

Эст -  экономия затрат на социальное страхование рабочих, тен.;

И   -   текущие расходы, связанные с внедрением мероприятий по НОТ, тен.

Экономия затрат по статье «Материалы» рассчитывается в тех случаях, когда внедрение мероприятий по НОТ приводит к уменьшению их расхода за счет сокращения потерь. Экономия по данному показателю определяется по формуле:

где Н1, Н2 – расходы материалов на единицу работ до и после внедрения мероприятий по НОТ, измеряемые в натуральных показателях;

А –   объем работ, выполненных с применением мероприятий по НОТ;

Цм – цена франко-приобъектный склад (склад предприятия) единицы материалов, деталей, конструкций, тен.

Экономия затрат по статье «Основная заработная плата» рассчитывается в тех случаях, когда в результате внедрения мероприятий по НОТ были пересмотрены сдельные расценки или сократилась численность рабочих-повременщиков.

При пересмотре сдельных расценок экономия основной заработной платы рассчитывается по формуле:

где Е1, Е2 – сдельные расценки до и после внедрения мероприятий по НОТ, тен.;

kпс1, kпс2 – коэффициенты, учитывающие премиальные доплаты по аккордным нарядам до и после внедрения мероприятий по НОТ;

А –   объем работ, выполненных с применением мероприятий по НОТ;

kрк  – районный коэффициент, к заработной плате;

kзу –  усредненный коэффициент при производстве работ на открытом воздухе в зимних условиях.

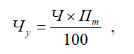
При сокращении численности рабочих-повременщиков экономия основной заработной платы рассчитывается по формуле:

где Чу  –  относительное уменьшение численности работников в результате внедрения мероприятий по НОТ;

где Ч   –  среднегодовая численность работников, охваченных мероприятиями по НОТ, чел.;

Пт – прирост производительности труда в результате внедрения мероприятий по НОТ, %;

Ф  –  годовой фонд рабочего времени, час.;

Сч –  среднечасовая тарифная ставка высвобождаемых рабочих, тен.;

kп –   коэффициент, учитывающий премиальные доплаты из фонда заработной платы высвобождаемым рабочим;

kрк –  районный коэффициент к заработной плате высвобождаемых рабочих;

∆Зп – увеличение премиальных доплат из фонда заработной платы оставшимся рабочим.

Экономия затрат по статье «Расходы на эксплуатацию машин» рассчитывается только при внедрении мероприятий НОТ на механизированных процессах. Расчет осуществляется по формуле:

где С1, С2 – время работы машины на объекте, этапе или комплексе работ до и после внедрения мероприятий по НОТ, смена;

Ц  –  стоимость машино-смены данной машины, тен.;

Экономия дополнительной заработной платы рабочих рассчитывается по формуле:

где Нд.з. –  размер дополнительной заработной платы, % от основной зарплаты;

Эо.з. –  экономия затрат по статье «Основная заработная плата», тен.

Экономия накладных расходов, зависящих от трудоемкости, рассчитывается при внедрении мероприятий, обеспечивающих уменьшение численности рабочих-повременщиков, обслуживающих основное производство. Расчет осуществляется по формуле:

где Нч – экономия накладных расходов зависящих от трудоемкости в расчете на 1 человеко-час, тен.;

Чу – относительное уменьшение численности работников в результате внедрения мероприятий по НОТ;

Ф –  годовой фонд рабочего времени, час.

Экономия условно-постоянных расходов рассчитывается при внедрении мероприятий, обеспечивающих относительное уменьшение численности рабочих-сдельщиков, занятых непосредственно на данных работах:

где Чу  –  относительное уменьшение численности рабочих-сдельщиков в результате внедрения мероприятий по НОТ;

В  –  среднегодовая выработка на одного рабочего, тен.

Ну  – удельный вес условно-постоянных расходов, определяемый в процентах к сметной стоимости выполняемых работ.

Экономия затрат на социальное страхование, выплат по болезни и случаям производственного травматизма рассчитывается по формуле:

где Чу – относительное уменьшение численности работников в результате внедрения мероприятий по НОТ;

Дб – среднее количество дней в году пропущенных одним рабочим по болезни до внедрения мероприятий по НОТ;

Зн – средний размер выплат на 1 человеко-день по листам временной нетрудоспособности, тен.

Величина текущих расходов «И», связанных с внедрением мероприятий по НОТ, используемая при расчете величины снижения себестоимости Эс , рассчитывается путем суммирования фактических величин соответствующих расходов.

В формуле для расчета годового экономического эффекта кроме вышеназванной величины Эс используются величины единовременных затрат на внедрение мероприятий Кв  и экономии капитальных вложений в производственные фонды Кэ .

К единовременным затратам на внедрение мероприятий НОТ относятся расходы на приобретение инструмента, инвентаря, организационной оснастки (со сроком службы более года), выполнение проектных, нормативно- и научно-исследовательских работ, осуществляемых по хозяйственным договорам, а также за счет отчислений на нормативно-исследовательскую работу.

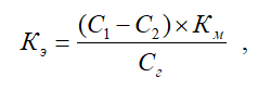
Экономия капитальных вложений в производственные фонды предприятий и организаций в связи с повышением эффективности использования машин и механизмов рассчитывается по формуле:

где С1, С2 – время работы машины на объекте, этапе или комплексе работ до и после внедрения мероприятий по НОТ, смена;

Км – первоначальная (балансовая) стоимость машины, тен.;

Сг  – установленное количество машино-смен за год работы машины.

При определении экономической целесообразности того или иного мероприятия необходимо учитывать время, за которое окупаются затраты на его внедрение.

Срок окупаемости затрат на внедрение мероприятий по НОТ рассчитывается как отношение единовременных затрат на внедрение к величине снижения себестоимости в расчете на годовой объем работ после внедрения мероприятия.

Мероприятие считается экономически эффективным, если срок окупаемости единовременных затрат не выше нормативного, фактическое значение которого устанавливается для каждой отрасли специальным нормативным актом.

За внедрение мероприятий по НОТ, обеспечивающих повышение эффективности производства, работникам, активно участвовавшим в разработке и внедрении мероприятий может выплачиваться премия из фондов:

  • Создания и внедрения новой техники.
  • Материального поощрения.
  • Рационализации и изобретательства.
  • Мастера.