1 Организация нормирования труда


Дать определение понятия «техническое нормирование труда» и раскрыть его назначение.

1.1 Виды нормативных наблюдений

Дать определение понятия «нормативное наблюдение» и описать его структуру. Раскрыть сущность основных видов нормативных наблюдений (фотоучет, хронометраж и техноучет), назвать области их наиболее целесообразного применения.

1.2 Организация подготовки к проведению нормативных наблюдений

Перечислить основные этапы организационно-подготовительной работы к проведению нормативных наблюдений. Раскрыть понятие «нормаль процесса» и перечислить основные правила ее установления.

1.3 Проведение нормативных наблюдений

Перед проведением нормативного наблюдения необходимо составить характеристику процесса – точное и полное описание всех организационно-технических условий (факторов), в которых выполняется исследуемый рабочий процесс. Характеристика должна быть краткой, но с исчерпывающей полнотой отображать содержание и все особенности выполнения исследуемого производственного процесса.

Для описания характеристики процесса предназначен специальный бланк ХП, заполняемый каждым обучающимся  в соответствии с его вариантом задания. Образец заполнения бланка ХП приведен в приложении Б.

В настоящем учебно-методическом пособии в качестве исходных данных предложены варианты монтажа различных железобетонных элементов. Наличие цикличных процессов предполагает проведение нормативных наблюдений методом выборочного хронометража. Результаты нормативных наблюдений заносятся в бланк формы ХВ.

В связи с тем, что другим наиболее распространенным методом нормативных наблюдений является фотоучет, настоящее пособие предусматривает знакомство с ним посредством заполнения дополнительных двух бланков – фотоучета графического смешанного (ФГС) и фотоучета цифрового (Ц).

Формы бланков ХВ, ФГС и Ц приведены в приложениях В,Г,Д.

1.4 Обработка результатов нормативных наблюдений

При обработке результатов наблюдений за цикличными процессами из заполненных бланков ХВ получают нормативные ряды величин затрат времени по каждому элементу трудового процесса и циклу в целом. Количество значений в рядах соответствует количеству выполненных циклов в процессе наблюдений.

Цель первичной обработки результатов наблюдений за цикличными процессами – получение средних знаний по очищенному и улучшенному нормативному ряду. Средние значения  определяются, как средние арифметические по объемам выполняемой продукции. Обработка нормативного ряда состоит из следующих этапов:

  • выборка и группировка в порядке возрастания полученных из наблюдений значений затрат времени по каждому элементу исследуемого процесса;
  • анализ и основная чистка рядов путем исключения значений, не относящихся к установленной нормали;
  • проведение проверки рядов при помощи математических методов;
  • определение средних значений по очищенным рядам.

При проверке и очистке рядов от случайных отклоняющихся значений применяются методы математической статистики. Прежде всего, определяется коэффициент разбросанности ряда Кр:

где,  an  - максимальное значение ряда;

         a1 - минимальное значение ряда.

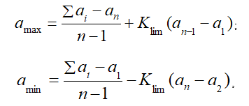
Если полученное значение Кр не превышает 1,3, это означает, что ряд не требует очистки. Если Кр > 1,3, но не более 2, для очистки ряда необходимо применить метод предельных значений, а если Кр > 2 – метод относительной средней квадратичной ошибки.

Проверка ряда по способу предельных значений заключается в сопоставлении крайних значений упорядоченного исследуемого ряда (an  и  a1) с предельно допустимыми значениями и решении вопроса о возможности сохранения проверяемого значения в ряду.

Для этого сначала определяют допустимые наибольшие и наименьшие значения ряда по следующим формулам:

где    Σ ai - сумма всех значений проверяемого ряда;

n  - число значений в ряду;

an - наибольшее значение ряда;

a1 - наименьшее значение ряда;

a2 и an-1 - соответственно второй и предпоследний члены упорядоченного ряда;

Кlim  - коэффициент, зависящий от числа значений в ряду, определяемый по данным таблицы 1.1.

Таблица 1.1 – Значения коэффициента K lim

Число

значений

в ряду ( n )

 

К lim

 

Число

значений

в ряду ( n )

 

К lim

 

4

5

6

7 – 8

1,4

1,3

1,2

1,1

9 – 10

11 – 15

16 – 30

31 – 50

1

0,9

0,8

0,7

 

Проверка крайних значений ряда осуществляется последовательно. Если, например, после проверки одного из них принято решение об исключении этого значения из ряда, то, прежде чем проверять следующий крайний член данного ряда, необходимо определить новое значение коэффициента разбросанности ряда Кр.

Исключение из ряда одновременно нескольких его значений не допускается. Принятие решения о необходимости исключения из ряда следующего такого же значения возможно только после заново выполненной проверки.

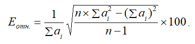
Проверка ряда по способу относительной средней квадратичной ошибки состоит в определении её фактической величины и сравнении полученного значения с допустимым.

Фактическую относительную среднюю квадратичную ошибку Еотн. проверяемого ряда определяют по формуле:

Допустимая величина относительной средней квадратичной ошибки составляет 7% для цикличных процессов, имеющих в своём составе до пяти цикличных операций и 10% для цикличных процессов, имеющих в своём составе более пяти цикличных операций.

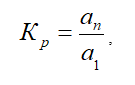
Если ошибка окажется более допустимой, необходимо исключить из ряда одно из крайних значений. Чтобы установить, какое именно, рассчитывают значения коэффициентов K1 и Kn по формулам:

Если К1 < Kn, то исключается первый член упорядоченного ряда. Если К1     Kn, то исключается последний член упорядоченного ряда.

При расчете фактической относительной средней квадратичной ошибки, обрабатываемые цифровые значения целесообразно сводить в таблицу 1.2:

 

Таблица 1.2 – Данные для расчета средней квадратичной ошибки

 

N

1

2

3

4

5

6

7

8

9

10

аi

 

 

 

 

 

 

 

 

 

 

 

аi²

 

 

 

 

 

 

 

 

 

 

 

 

На основе проведенного анализа осуществляется очистка рядов с исключением значений, не относящихся  к установленной нормали.

Далее по очищенным рядам определяют средние значения затрат времени на элементы нормируемого процесса.v

1.5 Проектирование производственных норм

Проектирование технически обоснованной нормы трудозатрат на выполнение какого-либо процесса состоит в разработке нормали этого процесса, расчете различных элементов нормируемых затрат труда и определении полной величины затрат труда.

Проектирование норм затрат труда на оперативную работу состоит в определении на основании данных нормативных наблюдений, прошедших первичную обработку, величин трудозатрат по элементам исследуемого процесса.

В результате первичной обработки данных наблюдений для всех элементов устанавливаются объёмы выполненной первичной продукции. Затраты труда и объёмы выполненной первичной продукции определяются на измерители элементов процесса.

Величина затрат по всему рабочему процессу в целом определяется приведением трудозатрат от измерителей продукции элементов к главному измерителю продукции рабочего процесса и суммированием этих трудозатрат.

Приведение трудозатрат к главному измерителю исследуемого процесса называется синтезом норм.

Примером самого простого синтеза норм могут быть случаи, когда измерители продукции всех элементов соответствуют главному измерителю продукции процесса. В таких случаях трудозатраты по рабочему процессу в целом определяются простым суммированием трудозатрат по его элементам.

В случаях, когда измерители продукции элементов различны и не соответствуют измерителю продукции процесса в целом, подсчет затрат труда на главный измеритель рабочего процесса осуществляется умножением затрат труда в измерителях элементов на коэффициент перехода и последующим суммированием полученных величин.

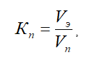
Коэффициентом перехода Кn называется число, показывающее, какое количество единиц продукции в измерителе элемента содержится в единице продукции, выраженной в главном измерителе всего процесса. Величину коэффициента Kn определяют по формуле:

где,   Vэ  - объем продукции в измерителе элемента;

 Vп - объем продукции в измерителе всего процесса

         в целом.

Коэффициент перехода определяется на основании данных рабочих чертежей, технических условий, инструкций и нормативных наблюдений.

Нормативную величину затрат труда на оперативную работу Hор определяют суммированием затрат труда по каждому элементу ti, умноженных на соответствующий коэффициент перехода Kп:

Расчет затрат труда  по оперативной работе на главный измеритель процесса рекомендуется производить в табличной форме (таблица 1.3)

Таблица 1.3 – Расчет норм затрат труда на оперативную работу

 

Наименование

элемента рабочего

процесса

Измеритель элемента

Затраты труда на измеритель элемента, ti чел.-мин.

Коэффициент перехода Kп

Затраты труда на измеритель  процесса,

чел.-мин.

 

 

 

 

 

 

Итого затрат труда на оперативную работу Hор

 

 

Нормы затрат труда на подготовительно-заключительную работу tпзр проектируют, как правило, на основе установленных нормативов в процентах от всего затраченного рабочего времени (смена или задание). Отдельные нормативы затрат труда на подготовительно-заключительную работу приведены в таблице 1.4:

Таблица 1.4 – Нормативы на подготовительно-заключительную работу

 

Вид работ

Норматив

(в процентах от нормы затрат труда)

Вид работ

Норматив

(в процентах от нормы затрат труда)

Арматурные:

заготовка

установка

Каменные

Санитарно-

технические

 

3

6

4

 

6

Земляные

Монтаж сборных железо-

бетонных конструкций

Столярные

2

 

 

 

4

5

Проектирование норм на регламентированные перерывы состоит в определении затрат времени на технологические перерывы в работе, отдых и личные надобности рабочих.

Величину нормативных затрат времени на технологические перерывы tтп, связанные с особенностями нормируемого процесса, обычно устанавливают в результате анализа нормативных наблюдений за правильно организованным процессом.

Для звена состоящего из 3-5 человек, нормативную величину технологических перерывов определяют в следующей последовательности:

  • подсчитывают среднюю величину технологического перерыва по данным нормативных наблюдений – tтп;
  • полученную величину tтп сравнивают с соответствующими справочными данными, приведенными в таблице 1.5:

Таблица 1.5 – Максимально допустимые величины технологических перерывов

Способ

выполнения производственного процесса

Число

рабочих операций в производственном

процессе

Максимально допустимые величины технологических перерывов,

% от нормы затрат труда

Число рабочих в звене

3

4

5

С применением

немеханизированного или полумеханизированного труда

до 5

 

до 10

 

более 10

1

 

2

 

4

2

 

3

 

5

4

 

5

 

7

С одновременным применением  механизированного или полумеханизированного труда

до 5

 

до 10

 

более 10

1.5

 

3

 

6

3

 

5

 

8

6

 

8

 

10

 

При выполнении расчетов на практических занятиях величины технологических перерывов можно принять равными соответствующим максимально допустимым значениям (таблица 1.5).

Проектирование норм на отдых и личные надобности tолн представляет собой учет прибавочного времени на естественную потребность рабочих в отдыхе. Величину затрат на отдых и личные надобности рабочих принимают по результатам нормативных наблюдений или по справочным данным.

Отдельные нормативы на отдых и личные надобности рабочих приведены в таблице 1.6:

Таблица 1.6 – Нормативы на отдых и личные надобности отдельных категорий рабочих

Вид работы, профессия

Норматив,

% от норм затрат труда

Каменщики:

кладка из естественного камня

кладка из кирпича или керамических камней

устройство перегородок из гипсовых, гипсошлаковых и других плит

Монтажники конструкций:

монтаж сборных железобетонных и бетонных блоков, панелей и других конструкций при помощи

крана

конопатка и заливка швов в сборных железобетонных конструкциях, расшивка швов в стенах из крупных блоков, заделка стыков

 

15

12

 

10

 

 

 

12

 

 

10

 

Полная величина нормы затрат труда Нзт  включает сумму затрат по элементам оперативной работы, на подготовительно-заключительную работу, на технологические перерывы, а также  затраты на отдых и личные надобности:

где,  Нор - затраты труда на оперативную работу, исчисленные на главный измеритель процесса, чел.-мин.;

tпзр - норматив на подготовительно-заключительную работу, % от нормы затрат труда;

tтп -  проектная величина технологических перерывов, % от нормы затрат труда;

tолн - норматив на отдых и личные надобности, % от нормы затрат труда;

60  - коэффициент перевода человеко-минут в человеко-часы.

В реальных условиях производства во время нормативных наблюдений за цикличными процессами часто встречаются нецикличные элементы трудовых процессов. В связи с этим возникает необходимость уяснения основных принципов первичной обработки результатов нормативных наблюдений за нецикличными процессами с заполнением соответствующего бланка (ОН). Форма данного бланка приведена в приложении Е.

Первичная обработка результатов нормативных наблюдений за нецикличными процессами состоит из двух основных этапов:

  • предварительный подсчет затрат труда или времени и продукции по каждому элементу процесса за время наблюдения в целом;
  • предварительный подсчет затрат труда или времени, а также результатов замера продукции по всем элементам, зафиксированным в процессе наблюдения и перенесение полученных результатов на бланк ОН. Подсчет количества продукции, выполненной по элементам процесса за 60 минут.

Заполнение бланка ОН производится следующим образом:

  • в начале в графу 2 данного бланка вписываются наименования всех элементов затрат времени, зафиксированных в процессе наблюдения. Внесение элементов затрат времени в графу 2 всегда производится в заранее установленной технологической последовательности, соответствующей нормали процесса. После этого группа элементов оперативной работы подчеркивается, и под чертой указываются итоги оперативной работы;
  • затем отдельными строками фиксируются затраты времени на подготовительно-заключительную работу, технологические перерывы и отдых (включая затраты на личные надобности). Группа элементов нормируемых затрат времени подчеркивается и под чертой записывается их итоговая сумма;
  • далее фиксируются затраты времени на непредвиденную и лишнюю работу, простои из-за плохой организации труда и по случайным причинам, перерывы из-за нарушения трудовой дисциплины. Группа элементов ненормируемых затрат времени подчеркивается и под чертой записывается их итоговая сумма;
  • ниже этого итога снова проводится черта, под которой записывается общая сумма затрат времени.