8. Потери рабочего времени и времени использования машин


8.1 Классификация потерь рабочего времени

Классификацию потерь рабочего времени удобно представить в виде соответствующей структурной схемы (рисунок 8.1).

Согласно данной схеме потери рабочего времени могут быть явными и скрытыми. При этом явные потери подразделяются на целосменные и внутрисменные.

К явным целосменным потерям рабочего времени относятся все целосменные простои независимо от причины их возникновения.

К явным внутрисменным потерям рабочего времени относятся: выполнение лишних работ, организационные и случайные простои, потери времени из-за нарушения трудовой дисциплины и т.п.

В качестве лишней работы может рассматриваться производство бракованной продукции, излишняя обработка уже готовой продукции; выполнение иных работ, не дающих прироста продукции.

Рисунок 8.1 – Классификация потерь рабочего времени

К организационным простоям относятся потери рабочего времени из-за отсутствия или несвоевременной подачи к рабочим местам материалов, отсутствия орудий труда ввиду их неисправности или ремонта, неподготовленности фронта работ, несвоевременности указаний технического персонала, а также все другие простои, зависящие от технического персонала и являющиеся следствием плохой организации производства и труда.

К случайным простоям относятся потери рабочего времени по причинам, не зависящим от управленцев и рабочих (аварийное прекращение подачи электроэнергии, воды, пара и т.д.; при выполнении работ на открытом воздухе – сильный ветер, дождь, снегопад и т.п.).

К потерям рабочего времени в результате нарушений трудовой дисциплины относятся опоздания на работу, преждевременный уход на обед или с работы, посторонние разговоры и действия на рабочем месте, не относящиеся к выполняемому заданию и т.п.

Скрытые потери рабочего времени имеют место из-за недостатков в организации производства, вызывающих непроизводительные затраты труда.

Так, из-за нерациональной организации рабочих мест и отсутствия хорошо продуманных графиков производства работ могут увеличиваться расстояния транспортирования материалов и конструкций, возникать излишние их перемещения, дополнительные перестановки механизмов и оборудования, холостые пробеги машин, а также другие виды нерационального использования труда работников и технических средств. К увеличению скрытых потерь рабочего времени приводит применение малоэффективных методов, ручного труда при наличии соответствующих механизмов, нарушения нормальной технологической последовательности выполнения работ, использование некачественных материалов и конструкций, а также низкое качество предшествующих работ и т.п.

Явные потери времени проявляются в форме бездействия рабочих или простоя машин, скрытые заключены в самой работе. В этом их принципиальное отличие. Явные потери достаточно просто учесть, в то время как для выявления скрытых нужны специальные исследования.

8.2 Методы изучения явных целосменных и внутрисменных потерь рабочего времени

Размеры и причины целосменных потерь рабочего времени рабочих выявляются по данным табельного учета, а целосменных простоев машин – на основе анализа отчетов об их использовании.

Целосменные потери времени рабочих определяются в человеко-сменах в целом по организации.

При изучении явных внутрисменных потерь рабочего времени и времени использования машин размеры потерь определяются при помощи учета всех категорий затрат времени на основе полносменных наблюдений. Такие наблюдения называются фотографиями рабочего дня (ФРД) и фотографиями времени использования машин (ФВИМ).

Фотографии рабочего дня и фотографии времени использования машин позволяют определить не только размеры потерь, но и вызывающие их причины, то есть оценить уровень организации труда и производства на конкретном предприятии.

Нормативные наблюдения, проводимые на протяжении полной рабочей смены способом цифрового, графического или смешанного фотоучета могут быть использованы как для разработки новых производственных норм, так и в качестве элементов фотографий рабочего дня или времени использования машин. ФРД и ФВИМ проводятся с целью определения баланса рабочего времени для установления явных внутрисменных его потерь, а также для выявления и устранения недостатков в организации труда или производственного процесса в целом. Кроме того, с помощью фотографии рабочего дня можно определить степень использования рабочих по квалификации на протяжении рабочего дня, получить данные для определения рационального состава звена и целесообразного разделения труда между исполнителями, определить уровень выполнения норм за смену по всем работам.

ФРД и ФВИМ отличаются от обычных нормативных наблюдений не только по цели их проведения, но также по форме и способу обработки бланка наблюдений. Наблюдения в данном случае следует проводить способом фотоучета, строго придерживаясь при этом установленной классификации затрат рабочего времени рабочих и классификации времени использования машин.

При проведении ФРД и ФВИМ наряду с фиксацией суммарной величины потерь времени получают и подробные данные о причинах, вызывающих эти потери.

Если простои явились следствием нераспорядительности инженерно-технического персонала, то надо указать, в чем именно она выразилась (в отсутствии задания, неподготовленности фронта работ или рабочего места, нехватке инструментов, приспособлений и т.д.).

При проведении фотографии рабочего дня одновременно с фиксацией всех затрат рабочего времени следует учитывать объем полученной за время наблюдения продукции (выполненных работ). Эти данные необходимы для определения фактического и возможного уровней выполнения норм за смену.

Фотография рабочего дня должна охватывать максимальное число рабочих одной профессии или одноименных машин. При наблюдении за работой комплексной бригады обязателен охват всего состава рабочих данной бригады с раздельным учетом затрат времени по каждой профессии.

Следует также иметь в виду, что при проведении наблюдений с целью выявления потерь рабочего времени нужно, по возможности, охватывать фотографиями рабочего дня весь технологический процесс.

Результаты фотографии рабочего дня фиксируются и обрабатываются на специальном бланке ФРД, а результаты фотографии времени использования машин – на бланке ФВИМ, которые заполняются в двух экземплярах. При этом один экземпляр бланков ФРД и ФВИМ не позднее следующего дня после проведения наблюдения передается начальнику участка или цеха для рассмотрения. Второй экземпляр остается у лиц, проводивших исследования для разработки предложений по результатам наблюдений и рекомендаций по принятию необходимых мер для ликвидации выявленных недостатков.

8.3 Изучение скрытых потерь рабочего времени

Поскольку скрытые потери проявляются в форме малопроизводительной работы, сущность их изучения заключается в установлении размеров непроизводительных затрат труда на основе сопоставления фактической организации труда с запроектированной.

Исследование непроизводительных затрат времени выполняется на основе проведенных ФРД и анализа следующей документации:

  • Статистическая и бухгалтерская отчетность организации, где проводятся нормативные исследования.
  • Наряды на выполнение нормируемых работ.
  • Акты о качестве технической документации, материалов, деталей, конструкций, оборудования.
  • Ведомости поступления и расхода материалов.
  • Акты о браке выполненных работ.
  • Записи в журнале ведения работ, данные контрольных обмеров объемов выполненных работ.

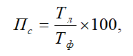
Размер скрытых потерь рабочего времени (в %) за обследуемый период определяется по формуле:

где Тл  - затраты труда на лишнюю, непроизводительную работу, чел.- час.;

Тф - фактически отработанное количество человеко-часов за обследуемый   период. 

8.4. Планирование мероприятий по устранению потерь рабочего времени и расчет ожидаемого эффекта

Обобщение результатов комплексного изучения всех видов потерь рабочего времени следует рассматривать как материал, являющийся основой для аналитической оценки уровня использования рабочего времени и разработки предложений по его повышению.

Общие размеры потерь рабочего времени в процентах к отработанному времени определяются по формуле:

где Пц - величина явных целосменных потерь, % ;

Пв - величина явных внутрисменных потерь, % ;

Пс - величина скрытых потерь, % ;

Предложения по устранению причин потерь рабочего времени, разработанные на основе анализа результатов их изучения, должны содержать конкретные направления совершенствования организации производства и труда.

После разработки предложений по устранению причин потерь рабочего времени рассчитывается возможный рост производительности труда за счет их устранения по следующей формуле:

При расчете плановых показателей роста производительности труда следует иметь в виду, что устранение потерь рабочего времени по вине самих организаций может быть осуществлено в короткие сроки, а устранение причин, возникающих по вине вышестоящих и других организаций, – в более долгие сроки. Поэтому при расчете ожидаемого роста производительности труда следует учитывать только те потери рабочего времени, для устранения которых могут быть приняты реальные меры.