3 Потери рабочего времени и мероприятия по их устранению


3.1 Классификация потерь рабочего времени

Дать определение явных (целосменных и внутрисменных) и скрытых потерь рабочего времени, раскрыть их содержание.

3.2 Методы изучения явных целосменных и внутрисменных потерь рабочего времени

Размеры и причины целосменных потерь рабочего времени рабочих (в человеко-сменах) выявляются по данным табельного учета. Условимся, что во всех вариантах заданий целосменные потери рабочего времени отсутствуют.

При изучении явных внутрисменных потерь рабочего времени размеры потерь определяются при помощи учета всех категорий затрат времени на основе полносменных наблюдений. Такие наблюдения называются фотографией рабочего дня (ФРД). Результаты наблюдений обрабатываются на специальном бланке ФРД каждым обучающимся в соответствии с вариантом своего задания. Форма бланка приведена в приложении Ж.

Бланк ФРД содержит общие данные об объекте наблюдения.

Раздел I бланка «Баланс рабочего времени» заполняется на основе данных нормативных наблюдений с подсчетом удельных весов учтенных категорий затрат рабочего времени и подведением предусмотренных формой бланка итогов. Предположим, что для всех вариантов задания отмечена непредвиденная работа  не по специальности – очистка помещений от строительного мусора монтажниками (площадь помещений – 80 м², продолжительность непредвиденной работы – 4,5% от полной величины нормы затрат труда).

Раздел II «Выполнение норм выработки» заполняется после составления исполнительной калькуляции на основе итоговых данных (графа 6 раздела VI ФРД). Процент выполнения норм определяется по приведенным в разделе II формулам.

В разделе III «Пояснения к строкам» кратко описываются характер и причины выполнения непредвиденной и лишней работы, характер технологических перерывов, конкретные причины простоев и характер нарушений трудовой дисциплины.

Разделы IV, V и VI содержат данные о составе бригады (звена), присутствии технического персонала на рабочем месте, а также исполнительную калькуляцию на выполняемые за время наблюдения работы.

Предположим, что в качестве исходных данных приведены результаты нормативных наблюдений за новыми трудовыми процессами, организованными в соответствии с установленными нормалями. В этом случае при заполнении первой строки  таблицы шестого раздела бланка ФРД шифр норм не указывается, а величину нормы затрат труда на единицу измерения продукции следует принять равной рассчитанной ранее Нз.m.

Наиболее значимым является раздел VII «Предложения по устранению потерь рабочего времени». Здесь указываются мероприятия по устранению выявленных в процессе наблюдения производственных недочетов, пути обеспечения нормальной загрузки рабочих и повышения производительности их труда.

3.3 Изучение скрытых потерь рабочего времени

Поскольку скрытые потери рабочего времени проявляются в форме малопроизводительной работы, сущность их изучения заключается в установлении размеров непроизводительных затрат времени на основе сопоставления фактической организации труда с запроектированной. Исследования непроизводительных затрат времени осуществляются на основе результатов ФРД и анализа следующей документации:

  • статистическая и бухгалтерская отчетность организаций;
  • наряды на выполнение объемов работ;
  • ведомости поступления и расхода материалов;
  • акты о браке выполненных работ;
  • записи в журнале ведения работ, данные контрольных обмеров объемов выполненных работ.

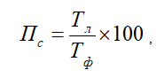
Размеры скрытых потерь рабочего времени в процентах за обследуемый период определяются по формуле:

где,  Тл  - затраты труда на лишнюю, непроизводительную работу (строки 3+4+8 ФРД), чел.час.;

Тф - фактически отработанное количество человеко-часов за обследуемый период (строки 1+2+3+4+8 ФРД).

3.4  Планирование мероприятий по устранению потерь рабочего времени и расчет ожидаемого эффекта

Обобщенные результаты комплексного изучения всех видов потерь рабочего времени следует рассматривать как материал, являющийся основой для аналитической оценки уровня использования рабочего времени и разработки предложений по его повышению.

Общие размеры потерь рабочего времени По в процентах к отработанному времени определяются по формуле:

где,  Пц - величина явных целосменных потерь, %;

Пв - величина явных внутрисменных потерь, %;

Пс - величина скрытых потерь, %.

Предложения по устранению причин потерь рабочего времени, разработанные на основе анализа результатов их изучения, должны содержать конкретные направления совершенствования организации производства и труда.

После разработки предложений рассчитывается возможный рост производительности труда Пт за счет устранения причин выявленных потерь рабочего времени по следующей формуле: