4 Нормирование расхода материалов


4.1 Назначение производственных норм расхода материалов

Дать определение понятия «норма расхода материалов» и кратко охарактеризовать назначение производственных норм. Устранимые и трудноустранимые отходы. Технически обоснованная норма расхода материалов.

4.2 Методы разработки норм расхода материалов

Дать краткую характеристику основных методов разработки норм расхода материалов. Перечислить основные направления экономии материальных ресурсов.

4.3 Проектирование производственных норм расхода материалов

С целью усвоения обучающимися основных принципов нормирования расхода материальных ресурсов в настоящем пособии  рассматривается пример проектирования производственных норм расхода материалов при возведении кирпичных вставок в ограждающих конструкциях.

Данный производственный процесс включает в себя следующие операции:

  • устройство постели из раствора;
  • укладка керамического кирпича;
  • облицовка глазурованным кирпичом.

Условимся, что при проведении нормативных исследований наблюдали за возведением кирпичных вставок объемом 10 + 0,1n м³ каждая (n – номер варианта студента). При этом получены ряды числовых значений расхода материала на 1м³ кладки:

Кирпич керамический, шт./ м³:

139 + 0,1n;    139 + 0,1n;   142 + 0,1n;   139 + 0,1n;   140 + 0,1n;

141 + 0,1n;    140 + 0,1n;   140 + 0,1n;   141 + 0,1n;   142 + 0,1n.

Кирпич глазурованный, шт./ м³:

119 + 0,1n;    122  = 0,1n;   121 + 0,1n;   119 + 0,1n;   119 + 0,1n;

121 + 0,1n;    120  = 0,1n;   120 + 0,1n;   122 + 0,1n;   122 + 0,1n.

Раствор цементно-песчаный, м³ / м³:

0,2 + 0,001n;    0,21 + 0,001n;    0,21 + 0,001n;    0,21 + 0,001n;

0,2 + 0,001n;    0,21 + 0,001n;    0,20 + 0,001n;    0,21 + 0,001n;

0,2 + 0,001n;    0,21 + 0,001n.

Количество замеров, требующееся для получения технически обоснованной нормы расхода материалов, зависит от необходимой точности норм, определяемой категорией материалов, и от коэффициента разбросанности ряда Кр. Порядок определения величины Кр приведен выше (см. п. 1.4 расчетно-практической части настоящего учебного пособия).

Определим, достаточно ли для установления норм десяти проведенных замеров при полученных значениях Кр с учетом того, что керамический и глазурованный кирпич относятся к первой категории материалов с допустимой погрешностью норм 0,25 %, а цементно-песчаный раствор – ко второй категории с допустимой погрешностью 0,5 %.

Например, если для керамического кирпича Кр = 1,022, то минимально необходимое число замеров равно:

Таким образом, минимально необходимое число замеров оказалось меньше числа фактически проведенных наблюдений, что позволяет использовать полученные данные для последующего нормирования.

Аналогичные расчеты необходимо провести и для других материалов, расход которых нормируется при наблюдении за данным производственным процессом.

Ряды результатов замеров расхода материалов обрабатываются по правилам технического нормирования (см. п. 1.4 расчетно-практической части настоящего учебного пособия).

После анализа рядов числовых значений расхода материалов составляется проект параграфа нормативов, который оформляется в виде таблицы с указанием рабочих операций процесса, расходуемых материалов и единиц их измерения, а также величин нормативов расхода материалов на единицу измерения продукции рабочей операции (таблица 4.1):

 

Таблица 4.1 – Проект параграфа нормативов расхода материалов на возведение кирпичной вставки в ограждающей конструкции

 

Наименование

рабочей операции  

строительного

процесса

 

Наименование расходуемого материала

 

Единица измерения материала

Норматив расхода материала на ед.изм. продукции рабочей операции

(м³ кладки ) ni

1

2

3

4

Устройство постели из раствора

 

Раствор

цементно-песчаный

м³

 

Укладка керамического кирпича

Кирпич

керамический

шт.

 

Облицовка глазурованным кирпичом

Кирпич

глазурованный

то же

 

 

На основе полученных нормативов проектируются производственные нормы расхода материалов.

Проектирование производственных норм производится с учетом следующих требований:

  • состав рабочих операций, входящих в нормируемый строительно-монтажный процесс, должен соответствовать технологии и организации работ, предусмотренным СНиП. Кроме того, нормаль производственной нормы расхода материалов должна соответствовать совокупности нормалей входящих в неё нормативов;
  • единицы измерения продукции процесса выбираются в соответствии с назначением производственной нормы;
  • числовые значения производственных норм расхода материалов определяются путем умножения каждого норматива на соответствующий коэффициент, который определяет (с учетом выбранных единиц измерения) соотношение величин норматива и нормы.

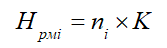
В общем случае норма расхода материала на единицу продукции производственного процесса Нрмi может быть выражена формулой:

где,  ni - норматив расхода материала на единицу продукции рабочей операции (см. данные графы 4 табл. 4.1);

        К - коэффициент, учитывающий соотношение количества выполненной продукции в элементных единицах (единицах продукции рабочей операции) Vэ и укрупненных единицах (единицах продукции всего процесса) Vу.

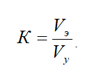
Значение коэффициента К определяется по формуле:

В рассматриваемом нами примере единицей продукции процесса (укрупненной единицей) Vу является одна кирпичная вставка в ограждающей конструкции. Количество выполненной продукции в элементных единицах (единицах продукции рабочей операции) Vэ равно всему объему кладки в одной кирпичной вставке – 10 х 0,1n, м³. Таким образом, величина коэффициента К в нашем случае может быть определена следующим образом:

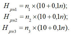
Тогда нормы расхода различных материалов по исследуемому процессу в целом (с учетом данных таблицы 4.1) будут равны: