№ 61 Порядок выполнения работы
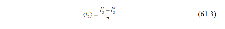
1 Перед началом работы устанавливают осветитель и, глядя на щель через дифракционную решетку, измеряют расстояние от щели до красных спектров первого и второго порядков (m=±1, m=±2), соответствующих самым длинным видимым красным лучам. Отсчет необходим для правого
и левого
спектров, то есть по обе стороны от центрального максимума, для которого m=0 (белый свет). Из полученных данных определить среднее значение

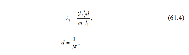
2 Измерить расстояние
от щели до дифракционной решетки;
3 Для еще двух значений
измерить соответствующее значение
для тех же красных лучей, то есть для m=±1; и m=±2;
4 Найти значение λi соответствующее различным значениям
и m по формуле

где d – постоянная дифракционной решетки, м;
N – число штрихов на единицу длины, N=105 м-1.
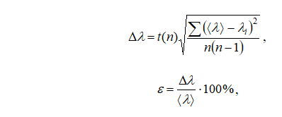
5 Вычислить абсолютную ∆λ и относительную ℇ погрешности по формулам

где t(n) – коэффициент Стьюдента для n; n – число измерений.
Таблица 61.1
| № | ![]() |
m | ![]() |
![]() |
λ; | < > |
<λ;>-λi | ∑(<λ>-λi)2 | ∆λ | ℇ |
| м | м | м | м | м | м | м2 | м | м | ||
| 1 | 1 2 | |||||||||
| 2 | 1 2 | |||||||||
| 3 | 1 2 | |||||||||
| ср. |
6 Результаты измерений и вычислений занести в таблицу 61.1;
7 Записать результат измерений в виде доверительного интервала λ=(<λ>±∆λ), м.
Контрольные вопросы