№68 Порядок выполнения работы


1 Ознакомиться с электрической цепью излучателя и устройством пирометра;/p>

2 Ввести все сопротивления R1 реостата пирометра, поворачивая кольцо до упора;

3 Включить цепь излучателя, установить соответствующее напряжение;

4 Нажав на кнопку выключатель SA, замкнуть цепь эталонной лампы;

5 Для получения монохроматического света использовать красный светофильтр;

6 Окуляром О1 добиться резкого изображения нити эталонной лампы;

7 Направить объектив О пирометра на получатель и, передвигая тумблер объектива, добиться резкости ее изображения;

8 Постепенно увеличивая накал нити эталонной лампы, добиться того, чтобы средний участок (вершина дуги) «исчез» на фоне изображения излучателя, произвести отсчет температуры по шкале прибора. Снять показания приборов РА и PV в цепи источника излучения;

9 Проделать опыт 3 раза при разных напряжениях в цепи излучения. Все данные занести в таблицу 69.1;

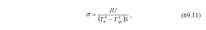
10 По формуле (69.11) определить постоянную Стефана-Больцмана


где S = 4,3 10-5 м2;

     Тя – температура, измеренная по шкале пирометра (яркостная), К;

     Тн – истинная температура, К ;

     Тср – температура окружающей среды, то есть комнатная, К.

11 Вычислить абсолютную погрешность Δσ по формуле (69.2)

где n – число измерений n=3

     t(n) – коэффициент Стьюдента для трех измерений;

     – среднее значение постоянной Стефана – Больцмана;

     σi– каждое вычисленное значение постоянной Стефана –Больцмана;

<σ>


Таблица 69.1
Тср,K Тя,K Тн,K I,A U,B S,м2 σ,Вт/м2K ℇ,%

1
2
3
ср.

12 Записать значения σ в виде доверительного интервала

Контрольные вопросы

  1. Какое излучение называется тепловым? Что оно собой представляет?
  2. Характеристики теплового излучения:
  3. а) излучательность;
    б) поглощательность;
  4. Какое тело называется абсолютно черным?
  5. Объяснить законы абсолютно черного тела:
  6. а) закон Стефана – Больцмана;
    б) закон Вина.
  7. Объяснить, как работает оптический пирометр.
  8. Вывести рабочую формулу.
  9. Какие свойства световых волн подтверждаются в данной работе?