Задание № 1. Определение фокусного расстояния тонкой положительной линзы.
Способ № 1. Определение фокусного расстояния по расстоянию пред¬мета и его изображения от линзы.
Фокусное расстояние тонкой линзы (положительной) можно определить исходя из формулы линзы. Для этого достаточно измерить рас¬стояние a1 и a2 , а затем определить ƒ из формулы (62.3)

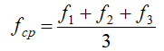
Между экраном и предметом помещают исследуемую линзу. Перемещая линзу вдоль скамьи, получают изображение предмета на экране, затем линейкой измеряют расстояние a1 и a2 . При фиксированных положениях предмета и экрана измерения выполняют несколько раз. Затем изменяют расстояние между предметом и экраном и вновь повторяют измерения. Рекомендуется часть измерений выполнить при увеличенном, а часть при уменьшенном изображении. Результаты измерения нанести в таблицу, вычислить по формуле (62.3). Найти среднее <ƒ>, оценить погрешность методов среднего арифметического.
Таблица 62.1
| № | a1(см) | a2(см) | ƒ | ![]() |
| 1 | ƒ1 | |||
| 2 | ƒ2 | |||
| 3 | ƒ3 |
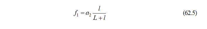
Способ № 2. Обозначим величину предмета АВ = l (рисунок 62.3), величину его изображения A'B' и расстояния их от линзы - соответственно через a1 и a2. Эти величины связаны между собой известным соотношением
определим из формулы (62.3)
и подставляя его значение в формулу (62.3), найдем

На экране получают увеличенное отчетливое изображение стрелки. Измеряют (линейкой) величину предмете l и величину его изображения L. Измерив расстояние
a2от изображения до линзы находят фокусное расстояние по формуле (62.5).
Вычисления провести 3 раза, меняя положение экрана и линзы.
Способ № 3. Пусть расстояние между предметом и его изображением превышает 4ƒ . При этом всегда найдутся два таких положения линзы, при которых на экране получаются отчетливое изображение предмета (в одном случае уменьшенное, в другом – увеличенное).
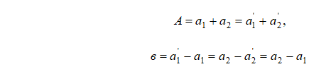
Из соображений симметрии ясно, что a1=a2 и a'2=a'1 Обозначая расстояние между предметом и экраном через A, расстояние между двумя положениями линзы через в получим

Отсюда получим

Подставляем в формулу линзы значения a1 и a2. Получим:

Опыт провести 3 раза и найти ƒср.
Задание 2. Определение фокусного растояния тонкой отрицательной линзы.
Определение фокусного расстояния тонкой отрицательной линзы, затрудняется тем, что изображение предмета получается мнимым (при действительном источнике) и поэтому не может быть непосредственно измерено.1) вначале опыта на оптической скамье помещают собирающею линзу и получают на экране действительное изображение предмета S1 ;
2) по линейке отмечают положение S1 этого изображения;
3) затем на пути выходящих из положительной линзы, располагают исследуюмую отрицательную линзу (рисунок 62.4). На нее падает пучок сходящих лучей.

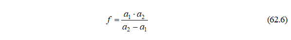
Точка S1 играет по отношению к отрицательной линзе роль мнимого источника. Действительное изображение источника s переместился теперь в S2 . Отмечая по линейке положение и координату отрицательной линзы, определяют расстояния a1 и a2 ;
4) с помощью формулы (62.6) вычисляют фокусное расстояние отрицательной линзы

5) по полученным результатам вычислить радиусы кривизны;
опыт провести 3 раза и найти ƒср .
Контрольные вопросы: