Задание №1. Определение увеличения микроскопа:
1) на предметный столик микроскопа установить линейку с делениями (цена деления 1 мм);
2) на столике, расположенном на расстоянии Lн.з.=25 см от окуляр, размещают чистый лист бумаги. Затем наблюдают через окуляр шкалу линейки на предметном столике микроскопа и отмечают на бумаге приблизительное продолжение (положение) соседних штрихов, наблюдаемых в микроскоп;
3) определяют увеличение микроскопа по отношению расстояния между штрихами на бумаге Н и штрихами на линейке h, наблюдаемыми в микроскоп;
4) по формуле Г=H/h определить увеличение микроскопа;
5) построить ход лучей в микроскопе.
Задание №2 Определение показателя преломления стекла с помощью микроскопа. При прохождении света через ровную и плоскую границу двух прозрачных веществ (сред) неодинаковой оптической плотности падающий луч света АО разделяется на два луча – отраженный луч ОВ и преломленный луч ОД (рисунок 63.4) Направление этих лучей определяется законами отражения и преломления света:
1) луч АО, падающий на преломляющую поверхность, нормаль к поверхности в точке падения РОР, луч отраженный ОВ и луч преломленный ОД лежат в одной плоскости;
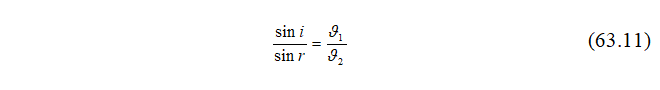
2) угол отражения γ численно равен углу падения i. Синус угла падания i относится к синусу угла преломления r, как скорость света в первой среде υ1 относится к скорости света во второй среде υ2

Последний закон говорит о том, что свет распространяется в различных средах с различной скоростью.
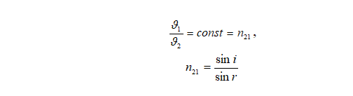
Для двух данных сред 1 к скорости света в среде 2 или отношение синуса угла падения к синусу угла преломления есть величина постоянная, т.е.

Величина n21 называется относительным показателем (коэффициентом) преломления второй среды по отношению к первой.
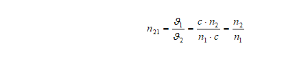
Если одна из сред, например 1 – вакуум или воздух, то показатель преломления n2 данной среды 2 по отношению к вакууму называется абсолютным показателем преломления данной среды или просто показателем (коэффициентом) преломления.

Абсолютный показатель преломления второй среды согласно рисунку 63.4

где с – скорость света в вакууме, м/с;
V2 – скорость света во второй среде, м/с.
То есть, показатель преломления среды есть отношение скорости света в вакууме к скорости света в данной среде
n=c/V
Показатель преломления зависит от длины волны света и от свойств среды. Абсолютные показатели преломления больше единицы. Это означает, что скорость распространения света в данной среде всегда меньше, чем в вакууме.
Относительный показатель преломления двух сред n21 связан с абсолютными показателями преломления сред n1 и n2 следующим соотношением

Для определения показателя преломления веществ существуют различные методы. Одним из них является метод определения показателя преломления стекла при помощи микроскопа.

В основе методе лежит явление кажущегося уменьшения толщины стеклянной пластинки вследствие преломления световых лучей, проходящих в стекле при рассматривании пластинки нормально к ее поверхности. Схема прохождения лучей через стеклянную пластинку дана на рисунке 63.5.
В точку А, находящубся на нижней поверхности стеклянной пластинки, падают два луча света 1 и 2. Луч 1 падает на пластинку нормально к ее поверхности и поэтому проходит сквозь палстинку и выходит в воздух в точке В, не испытывая преломления. Луч 2 падает на границу раздела сред в точке С под угглом i и выходит из пластинки по направлению к точке Д под углом преломления r. Угол преломления r больше, чем угол падения i. Если смотреть из точки Д по направлению ДС, то наблюдатель будет видеть точку пересечения продолжения луча СД с лучом АВ в точке A'Точка а для наблюдателя сместится в точку A' . толщина пластинки будет казаться равной A'B . Из рисунка 63.5 видно, что кажущаяся толщина пластинки A'B=h меньше истинной ее толщины .
Для лучей, близких к нормально падающим лучам, углы падения и преломления малы. В этом случае синусы можно заменить тангенсами и по закону преломления света записать (рассматривая обратный ход лучей, т. е. от Д к А)

При рассмотрении рисунка и после соответствующих преобразований имеем

Следовательно, показатель преломления стекла можно найти из соотношения истинной толщины H стеклянной пластинки к кажущейся ее толщине h . Истинная толщина пластинки измеряется микрометром, а кажущаяся – микроскопом с микрометрическим винтом (или с круговым индикатором).
Перемещение тубуса можно измерить и с помощью кругового индикатора КИ. Полный оборот большой стрелки индикатора соответствует перемещению его иглы – стержня на 1 мм. Цена деления шкалы индикатора равна 0,01 мм. Цена деления шкалы с маленькой стрелкой соответствует одному обороту большой стрелки.
Порядок выполения работы
1 Измеряют микрометром истинную толщину стеклянной плавтинки H в том месте, где нанесены штрихи, и берут ее значение в мм;
2 Определяют кажущуюся толщину стеклянной пластинки h , для чего:
h=(N*I+R*0.01)
где N – число полных оборотов большой стрелки. Оно равно изменению показаний маленькой стрелки (в целых числах);
R – показания большой стрелки;
3 Вычисляют показатель (коэффициент) преломления стекла

5 Измерение истинной и кажущейся толщины пластинки производят не менее 3 раз;
6 Определяют среднее значение показателя преломления стекла;
7 Данные занести в таблицу 63.1.
Таблица 63.1.
| № | H, мм | h, мм | n | ∆n | n=nср±∆n |
| 1 | |||||
| 2 | |||||
| 3 |
Контрольные вопросы