Задание 1. Дифракция Фраунгофера от щели:
1) получить на экране дифракционную картину от щели. Для этого поместить щель на расстоянии ≤ 30 см от источника, а экран в конце стола. Меняя ширину щели, проследить за изменениями в дифракционной картине и отметить ее особенности;
2) зарисовать вид дифракционной решетки от узкой и широкой щели.
Задание 2. Дифракция от круглого отверстия:>
1) получить на экране дифракционную картину от множестваотверстий. Для этого поместить пластину с отверстиями на расстоянии ≤30 см от источника, а экран в конце стола. Меняя положение экрана и пластины добиться четкой дифракционной картины;
2) по формуле (64.3) вычислить радиус отверстия при
λ=6328 A=632,8 нм = 0,63 мкм.
Задание 3. Дифракция от двумерной решетки:
1) получить четкую дифракционную картину от двумерной решетки.
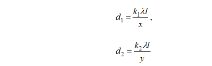
2) рассчитать периоды решетки по формулам

3) данные занести в таблицу 64.1 (λ=6328 A0≤633 нм).
Таблица 64.1
| № | λ | l | kx | x | dx | ky | y | dy |
| 1 | ||||||||
| 2 | ||||||||
| 3 |
Задание 4. Получить дифракционную картину от проволочек разной толщины и проследить за изменениями в дифракционной картине.
>
Контрольные вопросы: